电脑桌面
添加蜗牛文库到电脑桌面
安装后可以在桌面快捷访问

0702高一数学(人教B版)-空间中的平行和垂直的综合应用(一)-3学习任务单【公众号悦过学习分享】.docxVIP免费

0702高一数学(人教B版)-空间中的平行和垂直的综合应用(一)-3学习任务单【公众号悦过学习分享】.docx_第1页
0702高一数学(人教B版)-空间中的平行和垂直的综合应用(一)-3学习任务单【公众号悦过学习分享】.docx_第2页
0702高一数学(人教B版)-空间中的平行和垂直的综合应用(一)-3学习任务单【公众号悦过学习分享】.docx_第3页
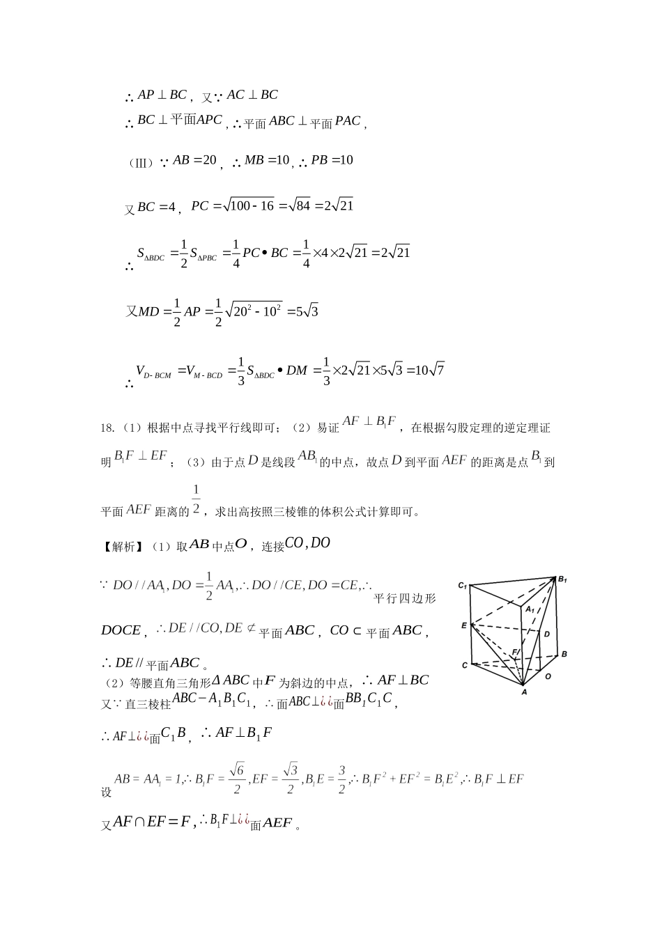
《空间中的平行和垂直(一)》学习任务单【学习目标】1.回顾线面、面面平行关系和垂直关系的转化,利用常见几何体的性质,应用平行和垂直的判定定理、性质定理解决空间中平行和垂直相关问题;2.培养空间想象能力,会根据已知条件将问题进行适当转化,通过对综合问题的分析,提升逻辑推理水平;3.借助对综合问题的分析,更好地练习自然语言、图形语言和符号语言之间的互相转化,体会数形结合思想在立体几何相关计算中的渗透.【课上任务】1.提出问题:证明线面平行、线面垂直有哪些方法?证明面面平行、面面垂直有哪些方法?2.你能否独立地复述出来你所学过的关于平行和垂直的定理吗?3.你能将所有关于平行或者垂直的转化方式总结出来吗?、提炼研究结果4.证明线线平行的方法有哪些?5.证明线面平行需要满足什么条件?6.证明面面平行需要满足什么条件?7.证明线线垂直的方法有哪些?8.证明线面垂直需要满足什么条件?9.证明面面垂直需要满足什么条件?10.在完成证明的过程中,要注意哪些要求?11.你能总结出来证明平行关系的核心要素是什么吗?12.你能总结出来证明垂直关系的核心要素是什么吗?【学习疑问】13.你觉得哪类问题对你来说感觉比较有难度?14.你觉的难的原因是什么?15.你希望在哪个问题上加以巩固?16.本节课的核心问题你觉得掌握得怎么样?【课后作业】MDAPBCFDEC1B1A1CBA17图18图17.如图,已知三棱锥A-BPC中,,M为AB中点,D为PB中点,且为正三角形(1)求证:(2)求证:(3)若BC=4,AB=20,求三棱锥D-BCM的体积18.如图,三棱柱中,侧棱,为等腰直角三角形,,D,E,F分别是中点.(1)求证:(2)求证:(3)设,求三棱锥D-AEF的体积【课后作业参考答案】17.解:(Ⅰ) MAB为中点,D为PB中点,∴MD∥AP,又∴MDAPC平面∴DM∥APC平面(Ⅱ) △PMB为正三角形,且D为PB中点,∴MDPB又由(1)∴知,MDAP∴APPB又已知APPC∴APPBC平面,∴APBC,又 ACBC∴BCAPC平面,∴平面ABC平面PAC,(Ⅲ) 20AB,∴10MB,∴10PB又4BC,1001684221PC∴1114221221244BDCPBCSSPCBC221120105322MDAP又∴112215310733DBCMMBCDBDCVVSDM18.(1)根据中点寻找平行线即可;(2)易证,在根据勾股定理的逆定理证明;(3)由于点是线段的中点,故点到平面的距离是点到平面距离的,求出高按照三棱锥的体积公式计算即可。【解析】(1)取AB中点O,连接CO,DO平行四边形DOCE,平面ABC,CO⊂平...

1、当您付费下载文档后,您只拥有了使用权限,并不意味着购买了版权,文档只能用于自身使用,不得用于其他商业用途(如 [转卖]进行直接盈利或[编辑后售卖]进行间接盈利)。
2、本站所有内容均由合作方或网友上传,本站不对文档的完整性、权威性及其观点立场正确性做任何保证或承诺!文档内容仅供研究参考,付费前请自行鉴别。
3、如文档内容存在违规,或者侵犯商业秘密、侵犯著作权等,请点击“违规举报”。

碎片内容

蜗牛文库的最新文档

二年级数学下册其中检测卷二年级数学下册其中检测卷附答案#期中测试卷.pdf
10.00金币
0下载
二年级数学下册期末质检卷(苏教版)二年级数学下册期末质检卷(苏教版)#期末复习 #期末测试卷 #二年级数学 #二年级数学下册#关注我持续更新小学知识.pdf
10.00金币
0下载
二年级数学下册期末混合运算专项练习二年级数学下册期末混合运算专项练习#二年级#二年级数学下册#关注我持续更新小学知识 #知识分享 #家长收藏孩子受益.pdf
10.00金币
1下载
二年级数学下册年月日三类周期问题解题方法二年级数学下册年月日三类周期问题解题方法#二年级#二年级数学下册#知识分享 #关注我持续更新小学知识 #家长收藏孩子受益.pdf
10.00金币
0下载
二年级数学下册解决问题专项训练二年级数学下册解决问题专项训练#专项训练#解决问题#二年级#二年级数学下册#知识分享.pdf
10.00金币
1下载
二年级数学下册还原问题二年级数学下册还原问题#二年级#二年级数学#关注我持续更新小学知识 #知识分享 #家长收藏孩子受益.pdf
10.00金币
1下载
二年级数学下册第六单元考试卷家长打印出来给孩子测试测试争取拿到高分!#小学二年级试卷分享 #二年级第六单考试数学 #第六单考试#二年级数学下册.pdf
10.00金币
0下载
二年级数学下册必背顺口溜口诀汇总二年级数学下册必背顺口溜口诀汇总#二年级#二年级数学下册 #知识分享 #家长收藏孩子受益 #关注我持续更新小学知识.pdf
10.00金币
0下载
二年级数学下册《重点难点思维题》两大问题解决技巧和方法巧算星期几解决周期问题还原问题强化思维训练老师精心整理家长可以打印出来给孩子练习#家长收藏孩子受益 #学霸秘籍 #思维训练 #二年级 #知识点总结.pdf
10.00金币
0下载
二年级数学下册 必背公式大全寒假提前背一背开学更轻松#二年级 #二年级数学 #二年级数学下册 #寒假充电计划 #公式.pdf
10.00金币
0下载
蜗牛文库+ 关注
实名认证
内容提供者

提供各种专业文档内容

确认删除?
QQ
  • QQ点击这里给我发消息
微信客服
  • 微信客服
回到顶部