电脑桌面
添加蜗牛文库到电脑桌面
安装后可以在桌面快捷访问

精品解析:【全国百强校首发】河北省衡水中学2016届高三上学期第七次调研考试理数试题解析(原卷版).docVIP免费

精品解析:【全国百强校首发】河北省衡水中学2016届高三上学期第七次调研考试理数试题解析(原卷版).doc_第1页
精品解析:【全国百强校首发】河北省衡水中学2016届高三上学期第七次调研考试理数试题解析(原卷版).doc_第2页
精品解析:【全国百强校首发】河北省衡水中学2016届高三上学期第七次调研考试理数试题解析(原卷版).doc_第3页
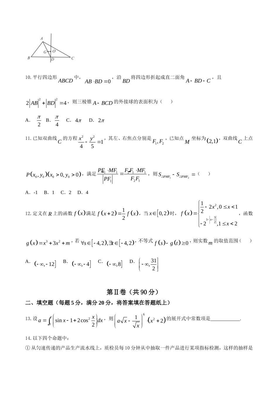
河北省衡水中学2016届高三上学期第七次调研考试理数试题第Ⅰ卷(共60分)一、选择题:本大题共12个小题,每小题5分,共60分.在每小题给出的四个选项中,只有一项是符合题目要求的.1.已知全集UR,集合22|log2,|1AyxxByyx,那么UACB()A.|01xxB.|0xxC.|2xxD.|12xx2.在复平面内,复数z满足113zii,则z的共轭复数对应的点位于()A.第一象限B.第二象限C.第三象限D.第四象限3.在各项均为正数的等比数列na中,若1122mmmaaam,数列na的前n项积为nT,若21512mT,则m的值为()A.4B.5C.6D.74.已知函数2sin3sinsin02fxxxx的最小正周期为,则fx在区间20,3上的值域为()A.30,2B.13,22C.1,12D.31,225.执行如图的程序框图,那么输出S的值是()A.2B.12C.-1D.16.在二项式412nxx的展开式,前三项的系数成等差数列,把展开式中所有的项重新排成一列,有理数都互不相邻的概率为()A.16B.14C.13D.5127.在ABC中,,,abc分别是,,ABC所对边的边长,若2cossin0cossinAABB,则abc的值是()A.1B.2C.3D.28.一个长方体被一个平面截去一部分后所剩几何体的三视图如图所示(单位:cm),则该几何体的体积为()A.1203cmB.803cmC.1003cmD.603cm9.在ABC中,5,,BCGO分别为ABC的重心和外心,且5OGBC�,则ABC的形状是()A.锐角三角形B.钝角三角形C.直角三角形D.上述三种情况都有可能10.平行四边形ABCD中,0ABBD�,沿BD将四边形折起成直二面角ABDC,且2224ABBD�,则三棱锥ABCD的外接球的表面积为()A.2B.4C.4D.211.已知双曲线C的方程22145xy,其左、右焦点分别是12,FF,已知点M坐标为2,1,双曲线C上点0000,0,0Pxyxy,满足11211211PFMFFFMFFFPF���,则12PMFPMFSS()A.-1B.1C.2D.412.定义在R上的函数fx满足122fxfx,当0,2x时,231212,0122,12xxxfxx,函数323gxxxm,若4,2,4,2st,不等式0fsgt,则实数m的取值范围()A.,12B.,4C.,8D.31,2第Ⅱ卷(共90...

1、当您付费下载文档后,您只拥有了使用权限,并不意味着购买了版权,文档只能用于自身使用,不得用于其他商业用途(如 [转卖]进行直接盈利或[编辑后售卖]进行间接盈利)。
2、本站所有内容均由合作方或网友上传,本站不对文档的完整性、权威性及其观点立场正确性做任何保证或承诺!文档内容仅供研究参考,付费前请自行鉴别。
3、如文档内容存在违规,或者侵犯商业秘密、侵犯著作权等,请点击“违规举报”。

碎片内容

蜗牛文库的最新文档

二年级数学下册其中检测卷二年级数学下册其中检测卷附答案#期中测试卷.pdf
10.00金币
0下载
二年级数学下册期末质检卷(苏教版)二年级数学下册期末质检卷(苏教版)#期末复习 #期末测试卷 #二年级数学 #二年级数学下册#关注我持续更新小学知识.pdf
10.00金币
0下载
二年级数学下册期末混合运算专项练习二年级数学下册期末混合运算专项练习#二年级#二年级数学下册#关注我持续更新小学知识 #知识分享 #家长收藏孩子受益.pdf
10.00金币
1下载
二年级数学下册年月日三类周期问题解题方法二年级数学下册年月日三类周期问题解题方法#二年级#二年级数学下册#知识分享 #关注我持续更新小学知识 #家长收藏孩子受益.pdf
10.00金币
0下载
二年级数学下册解决问题专项训练二年级数学下册解决问题专项训练#专项训练#解决问题#二年级#二年级数学下册#知识分享.pdf
10.00金币
1下载
二年级数学下册还原问题二年级数学下册还原问题#二年级#二年级数学#关注我持续更新小学知识 #知识分享 #家长收藏孩子受益.pdf
10.00金币
1下载
二年级数学下册第六单元考试卷家长打印出来给孩子测试测试争取拿到高分!#小学二年级试卷分享 #二年级第六单考试数学 #第六单考试#二年级数学下册.pdf
10.00金币
0下载
二年级数学下册必背顺口溜口诀汇总二年级数学下册必背顺口溜口诀汇总#二年级#二年级数学下册 #知识分享 #家长收藏孩子受益 #关注我持续更新小学知识.pdf
10.00金币
0下载
二年级数学下册《重点难点思维题》两大问题解决技巧和方法巧算星期几解决周期问题还原问题强化思维训练老师精心整理家长可以打印出来给孩子练习#家长收藏孩子受益 #学霸秘籍 #思维训练 #二年级 #知识点总结.pdf
10.00金币
0下载
二年级数学下册 必背公式大全寒假提前背一背开学更轻松#二年级 #二年级数学 #二年级数学下册 #寒假充电计划 #公式.pdf
10.00金币
0下载
蜗牛文库+ 关注
实名认证
内容提供者

提供各种专业文档内容

确认删除?
QQ
  • QQ点击这里给我发消息
微信客服
  • 微信客服
回到顶部