电脑桌面
添加蜗牛文库到电脑桌面
安装后可以在桌面快捷访问

【公众号dc008免费分享】0528 幂的运算综合应用(第二课时)3学习任务单.docxVIP免费

【公众号dc008免费分享】0528 幂的运算综合应用(第二课时)3学习任务单.docx_第1页
【公众号dc008免费分享】0528 幂的运算综合应用(第二课时)3学习任务单.docx_第2页
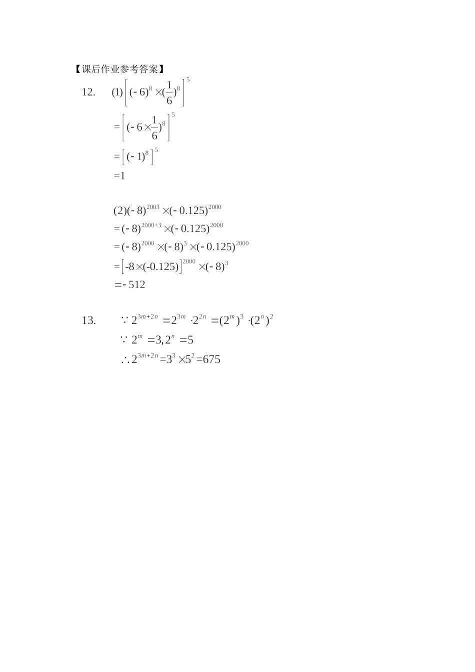
《幂的运算综合应用(第二课时)》学习任务单【学习目标】本节课主要知识是幂的运算性质的熟练运用和灵活运用。通过小专题复习的形式让学生理解并清晰记忆幂的运算公式和法则,再分题型进行强化拔高。通过具体的例题向学生渗透化归思想、方程思想,整体思想等数学思想,培养学生的应用意识,发展学生分析问题、解决问题的能力。【课上任务】1.幂的三种运算性质的语言表述和符号表示分别是什么?2.幂的三种运算性质的逆运算语言表述和符号表示分别是什么?3.幂的三种运算性质的逆运算分别有什么特征,适用于哪种题型?4.指数相同的两个幂相乘如何进行简便运算?5.指数不同的两个幂相乘如何转化至指数相同的幂相乘的形式?6.如何比较几个底数大于1的幂的大小?7.如何比较两个乘法算式的大小关系?【学习疑问】8.本节课有几个环节,环节之间的联系和顺序?9.哪个环节没弄清楚?10.您想向同伴提出什么问题?11.同伴提出的问题,您怎么解决?【课后作业】12.用简便方法计算:13.14.根据个人学习感想,如哪个知识最重要,需要注意的关键之处等,简要撰写学习体会.【课后作业参考答案】

1、当您付费下载文档后,您只拥有了使用权限,并不意味着购买了版权,文档只能用于自身使用,不得用于其他商业用途(如 [转卖]进行直接盈利或[编辑后售卖]进行间接盈利)。
2、本站所有内容均由合作方或网友上传,本站不对文档的完整性、权威性及其观点立场正确性做任何保证或承诺!文档内容仅供研究参考,付费前请自行鉴别。
3、如文档内容存在违规,或者侵犯商业秘密、侵犯著作权等,请点击“违规举报”。

碎片内容

蜗牛文库的最新文档

二年级数学下册其中检测卷二年级数学下册其中检测卷附答案#期中测试卷.pdf
10.00金币
0下载
二年级数学下册期末质检卷(苏教版)二年级数学下册期末质检卷(苏教版)#期末复习 #期末测试卷 #二年级数学 #二年级数学下册#关注我持续更新小学知识.pdf
10.00金币
0下载
二年级数学下册期末混合运算专项练习二年级数学下册期末混合运算专项练习#二年级#二年级数学下册#关注我持续更新小学知识 #知识分享 #家长收藏孩子受益.pdf
10.00金币
1下载
二年级数学下册年月日三类周期问题解题方法二年级数学下册年月日三类周期问题解题方法#二年级#二年级数学下册#知识分享 #关注我持续更新小学知识 #家长收藏孩子受益.pdf
10.00金币
0下载
二年级数学下册解决问题专项训练二年级数学下册解决问题专项训练#专项训练#解决问题#二年级#二年级数学下册#知识分享.pdf
10.00金币
1下载
二年级数学下册还原问题二年级数学下册还原问题#二年级#二年级数学#关注我持续更新小学知识 #知识分享 #家长收藏孩子受益.pdf
10.00金币
1下载
二年级数学下册第六单元考试卷家长打印出来给孩子测试测试争取拿到高分!#小学二年级试卷分享 #二年级第六单考试数学 #第六单考试#二年级数学下册.pdf
10.00金币
0下载
二年级数学下册必背顺口溜口诀汇总二年级数学下册必背顺口溜口诀汇总#二年级#二年级数学下册 #知识分享 #家长收藏孩子受益 #关注我持续更新小学知识.pdf
10.00金币
0下载
二年级数学下册《重点难点思维题》两大问题解决技巧和方法巧算星期几解决周期问题还原问题强化思维训练老师精心整理家长可以打印出来给孩子练习#家长收藏孩子受益 #学霸秘籍 #思维训练 #二年级 #知识点总结.pdf
10.00金币
0下载
二年级数学下册 必背公式大全寒假提前背一背开学更轻松#二年级 #二年级数学 #二年级数学下册 #寒假充电计划 #公式.pdf
10.00金币
0下载
蜗牛文库+ 关注
实名认证
内容提供者

提供各种专业文档内容

确认删除?
QQ
  • QQ点击这里给我发消息
微信客服
  • 微信客服
回到顶部