电脑桌面
添加蜗牛文库到电脑桌面
安装后可以在桌面快捷访问

王镜岩 生物化学 经典课件 17蛋白质合成和基因工程 考研必备 学生物化学必备.pptVIP免费

王镜岩 生物化学 经典课件 17蛋白质合成和基因工程 考研必备 学生物化学必备.ppt王镜岩 生物化学 经典课件 17蛋白质合成和基因工程 考研必备 学生物化学必备.ppt王镜岩 生物化学 经典课件 17蛋白质合成和基因工程 考研必备 学生物化学必备.ppt王镜岩 生物化学 经典课件 17蛋白质合成和基因工程 考研必备 学生物化学必备.ppt王镜岩 生物化学 经典课件 17蛋白质合成和基因工程 考研必备 学生物化学必备.ppt
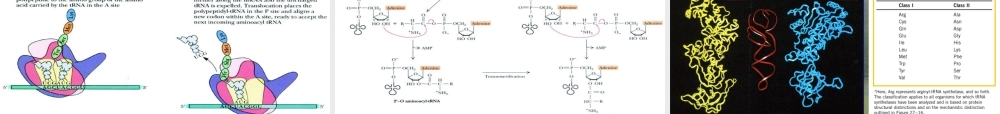
第37章遗传密码(一)mRNA的发现1.1948年有人报道,当噬菌体感染了细菌后会产生一种很不稳定的RNA,且大多数是和核糖体结合在一起的。2.Brenner,Jacob等人用13C,15N标记蛋白质,用32P标记核酸的方法证实了这是一种新的RNA分子,命名为信使RNA,即mRNA(m,messenger)。3.1961年,Spielman创造了分子杂交法,通过32P-mRNA-DNA杂交分子证明了mRNA的存在。一、遗传密码的研究历史(二)遗传密码的破译1953年Dounce假设DNA通过RNA将信息传给蛋白质,RNA上每三个核苷酸形成一个“空洞”,正好将一个氨基酸装进去。该假说允许三联体的重叠。1954年物理学家Gamow与Teller等人合作,提出三联体不可重复。1957年Crick也提出了三联体的假说,提出要解决“天书”的“词法”和“句法”,必须要有一本标准词典,认为64种组合中的44种是“简并密码”。1961年Nirenberg,Matthaei&Ochoa开始用生物化学手段破译密码,得到20种氨基酸的密码子的核苷酸序列。1964年Khorana合成了U和G交替的多聚核苷酸,合成的肽为VCVCVC,后来合成了UUGUUUGUUG…产生了poly(L),poly(C)和poly(V),由此确定了一些密码子的核苷酸序列。1964年Nirenberg用合成的三联体与tNRA进行密码子-反密码子的碱基配对,并与核糖体结合,使密码破译的速度大大加快。1966年遗传密码的破译工作基本结束,Crick绘制了密码表,提出了摆动学说(wobbleconcept),及时收回了“同义词”不存在的假设。过滤结合分析破译遗传密码二、遗传密码的基本特性1.密码为三联体,不重复,不间断。2.密码的简并性3.密码的变偶性4.密码的通用性和变异性5.密码的防错系统密码子在密码表中的分布有一定的规则,通常,密码子的第二位决定氨基酸的极性,第三位决定密码子的简并性。第二位的碱基是U则决定的氨基酸是非极性的;第二位的碱基是C则决定的氨基酸是非极性的,或是不带电荷的极性氨基酸;第二位的碱基是A或G则决定的氨基酸是极性的;第一位的碱基是A或C,第二位的碱基是A或G则决定的氨基酸是极性的并具有碱性;前两位的碱基是AG则决定的氨基酸是极性的并具有酸性。这样的分布规律使碱基的变化有时不会引起氨基酸的变化,有时引起的氨基酸变化是同一类型的氨基酸相互取代,这样,合成的蛋白质功能差别不会太大。基本要求1.明确DNA是遗传信息的携带分子,及RNA在传递和加工遗传信息中的作用。2.熟悉遗传密码的破译。(难点)3.掌握遗传密码的基本特性。(重点)第38章蛋白质合成及转运(二)tRNA转运活化的氨基酸至mRNA模板...

1、当您付费下载文档后,您只拥有了使用权限,并不意味着购买了版权,文档只能用于自身使用,不得用于其他商业用途(如 [转卖]进行直接盈利或[编辑后售卖]进行间接盈利)。
2、本站所有内容均由合作方或网友上传,本站不对文档的完整性、权威性及其观点立场正确性做任何保证或承诺!文档内容仅供研究参考,付费前请自行鉴别。
3、如文档内容存在违规,或者侵犯商业秘密、侵犯著作权等,请点击“违规举报”。

碎片内容

蜗牛文库的最新文档

二年级数学下册其中检测卷二年级数学下册其中检测卷附答案#期中测试卷.pdf
10.00金币
0下载
二年级数学下册期末质检卷(苏教版)二年级数学下册期末质检卷(苏教版)#期末复习 #期末测试卷 #二年级数学 #二年级数学下册#关注我持续更新小学知识.pdf
10.00金币
0下载
二年级数学下册期末混合运算专项练习二年级数学下册期末混合运算专项练习#二年级#二年级数学下册#关注我持续更新小学知识 #知识分享 #家长收藏孩子受益.pdf
10.00金币
1下载
二年级数学下册年月日三类周期问题解题方法二年级数学下册年月日三类周期问题解题方法#二年级#二年级数学下册#知识分享 #关注我持续更新小学知识 #家长收藏孩子受益.pdf
10.00金币
0下载
二年级数学下册解决问题专项训练二年级数学下册解决问题专项训练#专项训练#解决问题#二年级#二年级数学下册#知识分享.pdf
10.00金币
1下载
二年级数学下册还原问题二年级数学下册还原问题#二年级#二年级数学#关注我持续更新小学知识 #知识分享 #家长收藏孩子受益.pdf
10.00金币
1下载
二年级数学下册第六单元考试卷家长打印出来给孩子测试测试争取拿到高分!#小学二年级试卷分享 #二年级第六单考试数学 #第六单考试#二年级数学下册.pdf
10.00金币
0下载
二年级数学下册必背顺口溜口诀汇总二年级数学下册必背顺口溜口诀汇总#二年级#二年级数学下册 #知识分享 #家长收藏孩子受益 #关注我持续更新小学知识.pdf
10.00金币
0下载
二年级数学下册《重点难点思维题》两大问题解决技巧和方法巧算星期几解决周期问题还原问题强化思维训练老师精心整理家长可以打印出来给孩子练习#家长收藏孩子受益 #学霸秘籍 #思维训练 #二年级 #知识点总结.pdf
10.00金币
0下载
二年级数学下册 必背公式大全寒假提前背一背开学更轻松#二年级 #二年级数学 #二年级数学下册 #寒假充电计划 #公式.pdf
10.00金币
0下载
蜗牛文库+ 关注
实名认证
内容提供者

提供各种专业文档内容

确认删除?
QQ
  • QQ点击这里给我发消息
微信客服
  • 微信客服
回到顶部