电脑桌面
添加蜗牛文库到电脑桌面
安装后可以在桌面快捷访问

电力系统分析基础 第8章第一二节.pptVIP免费

电力系统分析基础 第8章第一二节.ppt电力系统分析基础 第8章第一二节.ppt电力系统分析基础 第8章第一二节.ppt电力系统分析基础 第8章第一二节.ppt电力系统分析基础 第8章第一二节.ppt
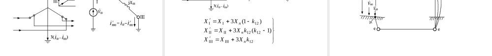
电力系统分析基础PowerSystemAnalysisBasis(八)栗然第八章电力系统简单不对称故障的分析计算•对称分量法•对称分量法在不对称故障分析计算中的应用•电力系统元件序参数及系统的序网图•简单不对称故障的分析计算1、什么是对称分量法?2、为什么要引入对称分量法?分析过程是什么?1、各元件的序参数是怎样的?2、如何绘制电力系统的序网图?如何利用对称分量法对简单不对称故障进行分析与计算?8.1对称分量法一、对称分量法对称分量法是将一组三相不对称的电压或电流相量分解为三组分别对称的相量,分别称为正序分量、负序分量和零序分量,再利用线性电路的叠加原理,对这三组对称分量分别按对称的三相电路进行求解,然后再将其结果进行叠加。二.对称分量法的应用图8-2零序电流以中性线作通路三角形接线•该线路每相的自感阻抗为Zs,相间的互感阻抗为Zm•当元件参数完全对称时•Zaa=Zbb=Zcc=ZsZab=Zbc=Zac=Zm三、三相对称元件序分量的独立性0210000002000000ZZZZZZZZZZmsmsmssc120120IZVsc000222111aaaaaaIZVIZVIZV结论:在三相参数对称的线性电路中,各序对称分量具有独立性,因此,可以对正序、负序、零序分量分别进行计算。序阻抗的概念•序阻抗:元件三相参数对称时,元件两端某一序的电压降与通过该元件的同一序电流的比值。000222111///aaaaaaIVZIVZIVZ正序阻抗负序阻抗零序阻抗8.2电力系统元件的序参数和等值电路•静止元件:正序阻抗等于负序阻抗,不等于零序阻抗。如:变压器、输电线路等。•旋转元件:各序阻抗均不相同。如:发电机、电动机等元件。一、同步发电机的负序和零序电抗1同步发电机的负序电抗•负序旋转磁场与转子旋转方向相反,因而在不同的位置会遇到不同的磁阻(因转子不是任意对称的),负序电抗会发生周期性变化。•有阻尼绕组发电机•无阻尼绕组发电机qdXX~qdXX~1同步发电机的负序电抗•实用计算中发电机负序电抗计算有阻尼绕组无阻尼绕组•发电机负序电抗近似估算值有阻尼绕组无阻尼绕组•无确切数值,可取典型值)(212qdXXXqdXXX2dXX22.12dXX45.12电机类型电抗水轮发电机汽轮发电机调相机和大型同步电动机有阻尼绕组无阻尼绕组0.15~0.350.32~0.550.134~0.180.240.04~0.1250.04~0.1250.036~0.080.080X2X2.同步发电机的零序电抗•三相零...

1、当您付费下载文档后,您只拥有了使用权限,并不意味着购买了版权,文档只能用于自身使用,不得用于其他商业用途(如 [转卖]进行直接盈利或[编辑后售卖]进行间接盈利)。
2、本站所有内容均由合作方或网友上传,本站不对文档的完整性、权威性及其观点立场正确性做任何保证或承诺!文档内容仅供研究参考,付费前请自行鉴别。
3、如文档内容存在违规,或者侵犯商业秘密、侵犯著作权等,请点击“违规举报”。

碎片内容

蜗牛文库的最新文档

二年级数学下册其中检测卷二年级数学下册其中检测卷附答案#期中测试卷.pdf
10.00金币
0下载
二年级数学下册期末质检卷(苏教版)二年级数学下册期末质检卷(苏教版)#期末复习 #期末测试卷 #二年级数学 #二年级数学下册#关注我持续更新小学知识.pdf
10.00金币
0下载
二年级数学下册期末混合运算专项练习二年级数学下册期末混合运算专项练习#二年级#二年级数学下册#关注我持续更新小学知识 #知识分享 #家长收藏孩子受益.pdf
10.00金币
1下载
二年级数学下册年月日三类周期问题解题方法二年级数学下册年月日三类周期问题解题方法#二年级#二年级数学下册#知识分享 #关注我持续更新小学知识 #家长收藏孩子受益.pdf
10.00金币
0下载
二年级数学下册解决问题专项训练二年级数学下册解决问题专项训练#专项训练#解决问题#二年级#二年级数学下册#知识分享.pdf
10.00金币
1下载
二年级数学下册还原问题二年级数学下册还原问题#二年级#二年级数学#关注我持续更新小学知识 #知识分享 #家长收藏孩子受益.pdf
10.00金币
1下载
二年级数学下册第六单元考试卷家长打印出来给孩子测试测试争取拿到高分!#小学二年级试卷分享 #二年级第六单考试数学 #第六单考试#二年级数学下册.pdf
10.00金币
0下载
二年级数学下册必背顺口溜口诀汇总二年级数学下册必背顺口溜口诀汇总#二年级#二年级数学下册 #知识分享 #家长收藏孩子受益 #关注我持续更新小学知识.pdf
10.00金币
0下载
二年级数学下册《重点难点思维题》两大问题解决技巧和方法巧算星期几解决周期问题还原问题强化思维训练老师精心整理家长可以打印出来给孩子练习#家长收藏孩子受益 #学霸秘籍 #思维训练 #二年级 #知识点总结.pdf
10.00金币
0下载
二年级数学下册 必背公式大全寒假提前背一背开学更轻松#二年级 #二年级数学 #二年级数学下册 #寒假充电计划 #公式.pdf
10.00金币
0下载
蜗牛文库+ 关注
实名认证
内容提供者

提供各种专业文档内容

确认删除?
QQ
  • QQ点击这里给我发消息
微信客服
  • 微信客服
回到顶部