电脑桌面
添加蜗牛文库到电脑桌面
安装后可以在桌面快捷访问

3 二次根式的加减.pptVIP免费

3 二次根式的加减.ppt3 二次根式的加减.ppt3 二次根式的加减.ppt3 二次根式的加减.ppt3 二次根式的加减.ppt
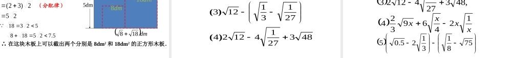
山东星火国际传媒集团山东星火国际传媒集团二次根式计算、化简的结果符合什么要求?(1)被开方数不含分母;分母不含根号;(2)被开方数中不含能开得尽方的因数或因式.山东星火国际传媒集团下列根式中,哪些是最简二次根式?下列根式中,哪些是最简二次根式?)(,,,,,,,,222325532227591812baxyabyxabcyxxa复习回顾复习回顾√√××××××××××√√√√√√山东星火国际传媒集团把下列各根式化简(1)12(2)48(3)18(4)5011(5)(6)32(7)45(8)12323433252223423523山东星火国际传媒集团abbabaab((a≥0a≥0,,b≥0b≥0))babababa((a≥0a≥0,,bb>>00))最简二次根式。最简二次根式。复习回顾复习回顾山东星火国际传媒集团如图,学校要砌一个正方形花坛,如图,学校要砌一个正方形花坛,已知外边的正方形边长为已知外边的正方形边长为cmcm,里面,里面的正方形的边长为的正方形的边长为cmcm,两个正方形的,两个正方形的周长和为多少?周长和为多少?222222两个正方形的周长和为:两个正方形的周长和为:)(22242428山东星火国际传媒集团若两个正方形的面积分别为若两个正方形的面积分别为27cm27cm22、、12cm12cm22,则两正方形的周,则两正方形的周长和为多少?长和为多少?两个正方形的周长和为:两个正方形的周长和为:124274山东星火国际传媒集团观察观察)(2224124274以下是什么运算?如何计算?以下是什么运算?如何计算?二次根式二次根式的加法的加法..山东星火国际传媒集团如何计算呢?如何计算呢?2428248)(212分析:分析:类似类似8a+4a=12a8a+4a=12a,我们可,我们可以根据乘法分配律的逆用来进行运算。以根据乘法分配律的逆用来进行运算。探究探究2428解:解:山东星火国际传媒集团如何计算呢?如何计算呢?124274383123812)(320124274分析:分析:题中二次根式不是最简题中二次根式不是最简二次根式,所以先要对其进行化简。二次根式,所以先要对其进行化简。再计算。再计算。解:解:山东星火国际传媒集团?32讨论讨论仿照前两题,你能算出这个题吗?仿照前两题,你能算出这个题吗?有什么发现?有什么发现?山东星火国际传媒集团3563251884818355325351)()()()()()(5452252观察观察计算计算::有什么发现?有什么发现?山东星火国际传媒集团(3)再把被开方数相同的二次根式进行合并。再把被开方数相同的二次根式进行合并。即把根号外系...

1、当您付费下载文档后,您只拥有了使用权限,并不意味着购买了版权,文档只能用于自身使用,不得用于其他商业用途(如 [转卖]进行直接盈利或[编辑后售卖]进行间接盈利)。
2、本站所有内容均由合作方或网友上传,本站不对文档的完整性、权威性及其观点立场正确性做任何保证或承诺!文档内容仅供研究参考,付费前请自行鉴别。
3、如文档内容存在违规,或者侵犯商业秘密、侵犯著作权等,请点击“违规举报”。

碎片内容

蜗牛文库的最新文档

二年级数学下册其中检测卷二年级数学下册其中检测卷附答案#期中测试卷.pdf
10.00金币
0下载
二年级数学下册期末质检卷(苏教版)二年级数学下册期末质检卷(苏教版)#期末复习 #期末测试卷 #二年级数学 #二年级数学下册#关注我持续更新小学知识.pdf
10.00金币
0下载
二年级数学下册期末混合运算专项练习二年级数学下册期末混合运算专项练习#二年级#二年级数学下册#关注我持续更新小学知识 #知识分享 #家长收藏孩子受益.pdf
10.00金币
1下载
二年级数学下册年月日三类周期问题解题方法二年级数学下册年月日三类周期问题解题方法#二年级#二年级数学下册#知识分享 #关注我持续更新小学知识 #家长收藏孩子受益.pdf
10.00金币
0下载
二年级数学下册解决问题专项训练二年级数学下册解决问题专项训练#专项训练#解决问题#二年级#二年级数学下册#知识分享.pdf
10.00金币
1下载
二年级数学下册还原问题二年级数学下册还原问题#二年级#二年级数学#关注我持续更新小学知识 #知识分享 #家长收藏孩子受益.pdf
10.00金币
1下载
二年级数学下册第六单元考试卷家长打印出来给孩子测试测试争取拿到高分!#小学二年级试卷分享 #二年级第六单考试数学 #第六单考试#二年级数学下册.pdf
10.00金币
0下载
二年级数学下册必背顺口溜口诀汇总二年级数学下册必背顺口溜口诀汇总#二年级#二年级数学下册 #知识分享 #家长收藏孩子受益 #关注我持续更新小学知识.pdf
10.00金币
0下载
二年级数学下册《重点难点思维题》两大问题解决技巧和方法巧算星期几解决周期问题还原问题强化思维训练老师精心整理家长可以打印出来给孩子练习#家长收藏孩子受益 #学霸秘籍 #思维训练 #二年级 #知识点总结.pdf
10.00金币
0下载
二年级数学下册 必背公式大全寒假提前背一背开学更轻松#二年级 #二年级数学 #二年级数学下册 #寒假充电计划 #公式.pdf
10.00金币
0下载
蜗牛文库+ 关注
实名认证
内容提供者

提供各种专业文档内容

确认删除?
QQ
  • QQ点击这里给我发消息
微信客服
  • 微信客服
回到顶部