电脑桌面
添加蜗牛文库到电脑桌面
安装后可以在桌面快捷访问

专题五平面向量第十三讲 平面向量的概念与运算.docVIP免费

专题五平面向量第十三讲 平面向量的概念与运算.doc_第1页
专题五平面向量第十三讲 平面向量的概念与运算.doc_第2页
专题五平面向量第十三讲 平面向量的概念与运算.doc_第3页
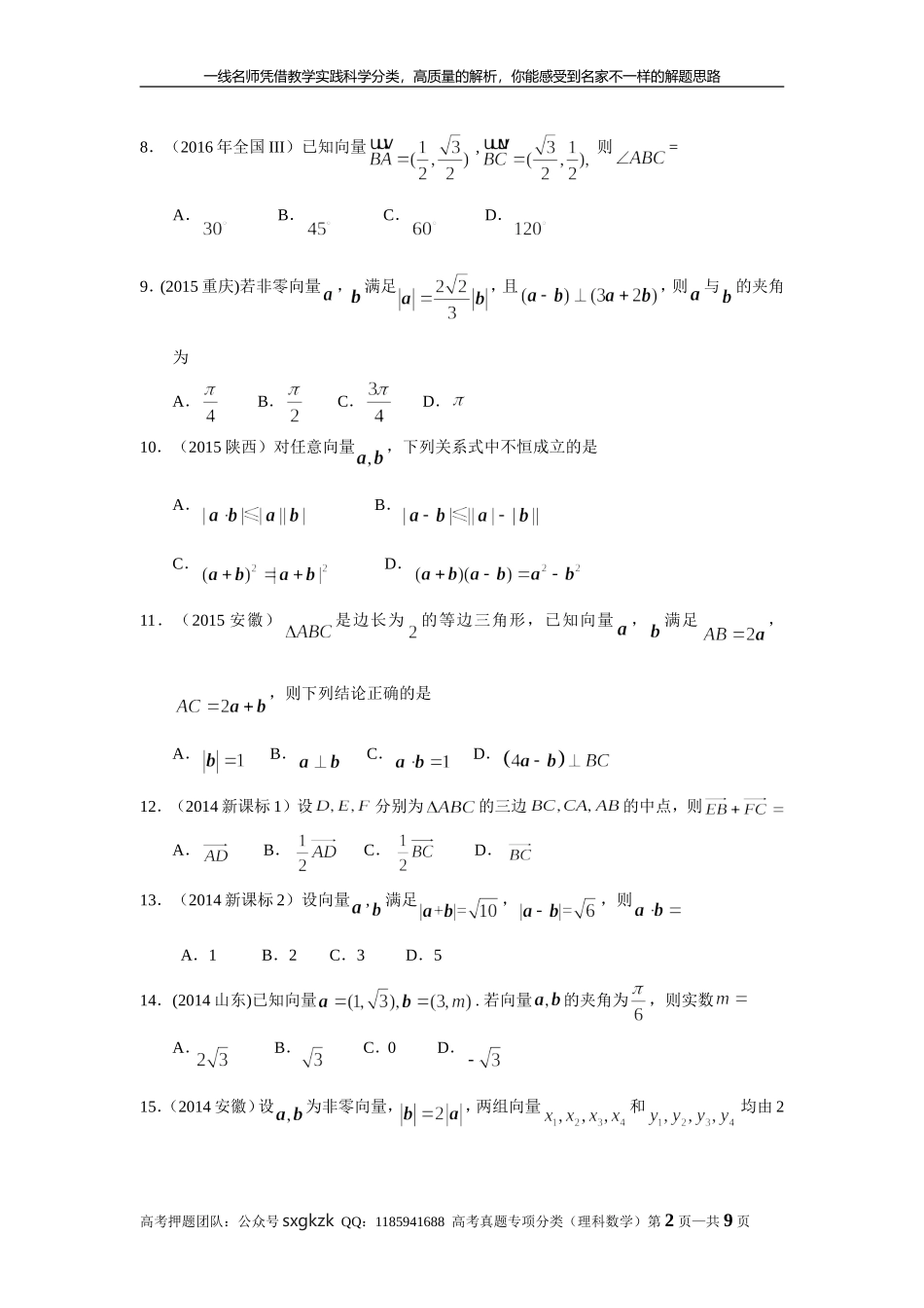
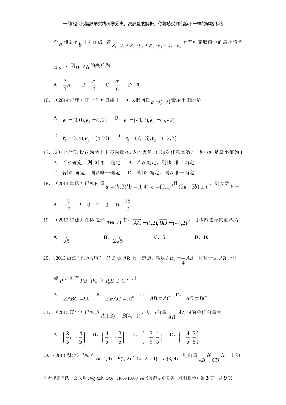
一线名师凭借教学实践科学分类,高质量的解析,你能感受到名家不一样的解题思路专题五平面向量第十三讲平面向量的概念与运算一、选择题1.(2018全国卷Ⅰ)在中,为边上的中线,为的中点,则A.B.C.D.2.(2018北京)设,均为单位向量,则“”是“⊥”的A.充分而不必要条件B.必要而不充分条件C.充分必要条件D.既不充分也不必要条件3.(2018全国卷Ⅱ)已知向量,满足,,则A.4B.3C.2D.04.(2017北京)设,为非零向量,则“存在负数,使得”是“”的A.充分而不必要条件B.必要而不充分条件C.充分必要条件D.既不充分也不必要条件5.(2016年山东)已知非零向量满足,.若,则实数t的值为A.4B.–4C.94D.–946.(2016年天津)已知是边长为1的等边三角形,点分别是边的中点,连接并延长到点,使得,则的值为A.B.C.D.7.(2016年全国II)已知向量,且,则=A.B.C.6D.8高考押题团队:公众号sxgkzkQQ:1185941688高考真题专项分类(理科数学)第1页—共9页一线名师凭借教学实践科学分类,高质量的解析,你能感受到名家不一样的解题思路8.(2016年全国III)已知向量,则=A.B.C.D.9.(2015重庆)若非零向量,满足,且,则与的夹角为A.B.C.D.10.(2015陕西)对任意向量,下列关系式中不恒成立的是A.B.C.D.11.(2015安徽)是边长为的等边三角形,已知向量,满足,,则下列结论正确的是A.B.C.D.12.(2014新课标1)设分别为的三边的中点,则A.B.C.D.13.(2014新课标2)设向量,满足,,则A.1B.2C.3D.514.(2014山东)已知向量.若向量的夹角为,则实数A.B.C.0D.15.(2014安徽)设为非零向量,,两组向量和均由2高考押题团队:公众号sxgkzkQQ:1185941688高考真题专项分类(理科数学)第2页—共9页一线名师凭借教学实践科学分类,高质量的解析,你能感受到名家不一样的解题思路个和2个排列而成,若所有可能取值中的最小值为,则与的夹角为A.B.C.D.016.(2014福建)在下列向量组中,可以把向量表示出来的是A.B.C.D.17.(2014浙江)设为两个非零向量,的夹角,已知对任意实数,是最小值为1A.若确定,则唯一确定B.若确定,则唯一确定C.若确定,则唯一确定D.若确定,则唯一确定18.(2014重庆)已知向量,,,且,则实数A.B.C.D.19.(2013福建)在四边形ABCD中,)2,4(),2,1(BDAC,则该四边形的面积为A.5B.52C.5D.1020.(2013浙江)设,是边AB上一定点,满足,且对于边AB上任一点P,恒有...

1、当您付费下载文档后,您只拥有了使用权限,并不意味着购买了版权,文档只能用于自身使用,不得用于其他商业用途(如 [转卖]进行直接盈利或[编辑后售卖]进行间接盈利)。
2、本站所有内容均由合作方或网友上传,本站不对文档的完整性、权威性及其观点立场正确性做任何保证或承诺!文档内容仅供研究参考,付费前请自行鉴别。
3、如文档内容存在违规,或者侵犯商业秘密、侵犯著作权等,请点击“违规举报”。

碎片内容

蜗牛文库的最新文档

二年级数学下册其中检测卷二年级数学下册其中检测卷附答案#期中测试卷.pdf
10.00金币
0下载
二年级数学下册期末质检卷(苏教版)二年级数学下册期末质检卷(苏教版)#期末复习 #期末测试卷 #二年级数学 #二年级数学下册#关注我持续更新小学知识.pdf
10.00金币
0下载
二年级数学下册期末混合运算专项练习二年级数学下册期末混合运算专项练习#二年级#二年级数学下册#关注我持续更新小学知识 #知识分享 #家长收藏孩子受益.pdf
10.00金币
1下载
二年级数学下册年月日三类周期问题解题方法二年级数学下册年月日三类周期问题解题方法#二年级#二年级数学下册#知识分享 #关注我持续更新小学知识 #家长收藏孩子受益.pdf
10.00金币
0下载
二年级数学下册解决问题专项训练二年级数学下册解决问题专项训练#专项训练#解决问题#二年级#二年级数学下册#知识分享.pdf
10.00金币
1下载
二年级数学下册还原问题二年级数学下册还原问题#二年级#二年级数学#关注我持续更新小学知识 #知识分享 #家长收藏孩子受益.pdf
10.00金币
1下载
二年级数学下册第六单元考试卷家长打印出来给孩子测试测试争取拿到高分!#小学二年级试卷分享 #二年级第六单考试数学 #第六单考试#二年级数学下册.pdf
10.00金币
0下载
二年级数学下册必背顺口溜口诀汇总二年级数学下册必背顺口溜口诀汇总#二年级#二年级数学下册 #知识分享 #家长收藏孩子受益 #关注我持续更新小学知识.pdf
10.00金币
0下载
二年级数学下册《重点难点思维题》两大问题解决技巧和方法巧算星期几解决周期问题还原问题强化思维训练老师精心整理家长可以打印出来给孩子练习#家长收藏孩子受益 #学霸秘籍 #思维训练 #二年级 #知识点总结.pdf
10.00金币
0下载
二年级数学下册 必背公式大全寒假提前背一背开学更轻松#二年级 #二年级数学 #二年级数学下册 #寒假充电计划 #公式.pdf
10.00金币
0下载
蜗牛文库+ 关注
实名认证
内容提供者

提供各种专业文档内容

确认删除?
QQ
  • QQ点击这里给我发消息
微信客服
  • 微信客服
回到顶部