电脑桌面
添加蜗牛文库到电脑桌面
安装后可以在桌面快捷访问

第5章 分式与分式方程单元测试1.docVIP免费

第5章 分式与分式方程单元测试1.doc_第1页
第5章 分式与分式方程单元测试1.doc_第2页
第5章 分式与分式方程单元测试1.doc_第3页
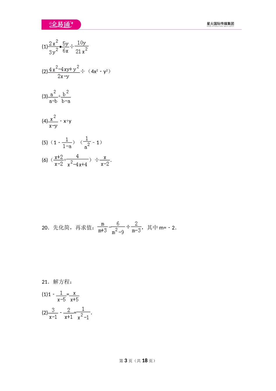
单元测试(一)一、选择题1.下列各式(1x﹣),,,+x,,其中分式共有()个.A.2B.3C.4D.52.下列分式的值,可以为零的是()A.B.C.D.3.若把分式中的x和y都扩大3倍,那么分式的值()A.扩大3倍B.不变C.缩小到原来的D.缩小到原来的4.使分式的值为正的条件是()A.B.C.x<0D.x>05.把分式方程=化为整式方程,方程两边需同时乘以()A.2xB.2x4﹣C.2x(x2﹣)D.2x(2x4﹣)6.某校用420元钱到商场去购买“84”消毒液,经过还价,每瓶便宜0.5元,结果比用原价多买了20瓶,求原价每瓶多少元?设原价每瓶x元,则可列出方程为()A.﹣=20B.﹣=20C.﹣=0.5D.﹣=0.5二、填空题7.当x时,分式有意义.第1页(共18页)8.对于分式,当x=时,分式无意义;当x=时,分式值为零.9.填空:=,=﹣.10.下列各式①;②;③;④;⑤中分子与分母没有公因式的分式是.(填序号).11.化简:=.12.若=,则的值是.13.不改变分式的值,使分式的分子和分母里次数最高的项的系数是正整数.(1)=;(2)=.14.分式,的最简公分母是.15.一件工作,甲单独做a小时完成,乙单独做b小时完成,则甲、乙合作小时完成.16.关于x的方程的解是正数,则a的取值范围是.17.在方程中,如果设y=x24x﹣,那么原方程可化为关于y的整式方程是.18.关于x的方程﹣2=有增根,则增根是,k的值为.三、解答题19.计算:第2页(共18页)(1)•÷(2)÷(4x2y﹣2)(3)+(4)x﹣+y(5)(1﹣)(﹣1)(6)(+)÷.20.先化简,再求值:,其中m=2﹣.21.解方程:(1)1﹣=(2)﹣=.第3页(共18页)22.列分式方程解应用题:某市从今年1月1日起调整居民用水价格,每吨水费上涨三分之一,小丽家去年12月的水费是15元,今年2月的水费是30元.已知今年2月的用水量比去年12月的用水量多5吨,求该市今年居民用水的价格?23.列分式方程解应用题:“六一”儿童节前,某玩具商店根据市场调查,用2500元购进一批儿童玩具,上市后很快脱销,接着又用4500元购进第二批这种玩具,所购数量是第一批数量的1.5倍,但每套进价多了10元.①求第一批玩具每套的进价是多少元?②如果这两批玩具每套售价相同,且全部售完后总利润不低于25%,那么每套售价至少是多少元?答案与解析1.下列各式(1x﹣),,,+x,,其中分式共有()个.A.2B.3C.4D.5【考点】61:分式的定义.【专题】选择题第4页(共18页)【分析】根据分式的定义对上式逐个进行判断,得出正确答案.【解答】解:中的分母含有...

1、当您付费下载文档后,您只拥有了使用权限,并不意味着购买了版权,文档只能用于自身使用,不得用于其他商业用途(如 [转卖]进行直接盈利或[编辑后售卖]进行间接盈利)。
2、本站所有内容均由合作方或网友上传,本站不对文档的完整性、权威性及其观点立场正确性做任何保证或承诺!文档内容仅供研究参考,付费前请自行鉴别。
3、如文档内容存在违规,或者侵犯商业秘密、侵犯著作权等,请点击“违规举报”。

碎片内容

蜗牛文库的最新文档

二年级数学下册其中检测卷二年级数学下册其中检测卷附答案#期中测试卷.pdf
10.00金币
0下载
二年级数学下册期末质检卷(苏教版)二年级数学下册期末质检卷(苏教版)#期末复习 #期末测试卷 #二年级数学 #二年级数学下册#关注我持续更新小学知识.pdf
10.00金币
0下载
二年级数学下册期末混合运算专项练习二年级数学下册期末混合运算专项练习#二年级#二年级数学下册#关注我持续更新小学知识 #知识分享 #家长收藏孩子受益.pdf
10.00金币
1下载
二年级数学下册年月日三类周期问题解题方法二年级数学下册年月日三类周期问题解题方法#二年级#二年级数学下册#知识分享 #关注我持续更新小学知识 #家长收藏孩子受益.pdf
10.00金币
0下载
二年级数学下册解决问题专项训练二年级数学下册解决问题专项训练#专项训练#解决问题#二年级#二年级数学下册#知识分享.pdf
10.00金币
1下载
二年级数学下册还原问题二年级数学下册还原问题#二年级#二年级数学#关注我持续更新小学知识 #知识分享 #家长收藏孩子受益.pdf
10.00金币
1下载
二年级数学下册第六单元考试卷家长打印出来给孩子测试测试争取拿到高分!#小学二年级试卷分享 #二年级第六单考试数学 #第六单考试#二年级数学下册.pdf
10.00金币
0下载
二年级数学下册必背顺口溜口诀汇总二年级数学下册必背顺口溜口诀汇总#二年级#二年级数学下册 #知识分享 #家长收藏孩子受益 #关注我持续更新小学知识.pdf
10.00金币
0下载
二年级数学下册《重点难点思维题》两大问题解决技巧和方法巧算星期几解决周期问题还原问题强化思维训练老师精心整理家长可以打印出来给孩子练习#家长收藏孩子受益 #学霸秘籍 #思维训练 #二年级 #知识点总结.pdf
10.00金币
0下载
二年级数学下册 必背公式大全寒假提前背一背开学更轻松#二年级 #二年级数学 #二年级数学下册 #寒假充电计划 #公式.pdf
10.00金币
0下载
蜗牛文库+ 关注
实名认证
内容提供者

提供各种专业文档内容

确认删除?
QQ
  • QQ点击这里给我发消息
微信客服
  • 微信客服
回到顶部