电脑桌面
添加蜗牛文库到电脑桌面
安装后可以在桌面快捷访问

3.1函数的概念课件-2023-2024学年高一上学期高教版(2021)中职数学基础模块.pptxVIP免费

3.1函数的概念课件-2023-2024学年高一上学期高教版(2021)中职数学基础模块.pptx3.1函数的概念课件-2023-2024学年高一上学期高教版(2021)中职数学基础模块.pptx3.1函数的概念课件-2023-2024学年高一上学期高教版(2021)中职数学基础模块.pptx
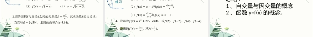
3.1函数的概念学习目标:1、理解自变量与因变量的含义2、学会用集合与对应语言刻画函数概念3、会写出简单过程中的变量关系式。初中的函数:因变量y随自变量x的变化而变化的依赖关系。1、y=2x+12、y=-x2+2x-13、y=x3x是自变量(原因):在某一变化过程中,主动发生变化的量。y是因变量(结果):随着自变量的变化而发生变化的量。[函数的概念]设在一个变化过程中有两个变量x和y,集合A是一个非空的实数集,对于A内任意实数x,按照某一确定的法则f,都有唯一确定的实数y与它对应,这种对应关系叫做集合A上的一个函数,记作:函数概念包括:两个变量、对应关系;自变量的取值范围(即数集A)为这个函数的定义域f求平方123149记作:y=f(x),xA∈定义域:A={1,2,3}值域:{1,4,9}集合A值域例:写出下列各问题中的关乐式,并指出自变量与因变量:(1)圆的周长C与半径r的关系式:(1)C=2r,C是r的函数其中:r是自变量,C是因变量。(2)火车以90千米/小时的速度行驶,它驶过的路程S(千米)和所用时间t(小时)的关系式;(2)S=90t,S是t的函数其中:t是自变量,S是因变量。(3)一辆汽车要行驶50千米的路程,写出行驶时间t(小时)与行驶速度v(千米/小时)之间的关系式;(3)t是v的函数其中:v是自变量,堤因变量。vstvst例1求下列函数的定义域:情境导入探索新知例题辨析巩固练习归纳总结布置作业情境导入探索新知例题辨析巩固练习归纳总结布置作业例2判断下列函数是否为同一个函数,并说明理由.情境导入探索新知例题辨析巩固练习归纳总结布置作业练习情境导入探索新知例题辨析巩固练习归纳总结布置作业1.求下列函数的定义域:练习情境导入探索新知例题辨析巩固练习归纳总结布置作业3.判断下列各组函数是否为同一个函数,并说明理由.总结:1、自变量与因变量的概念2、函数y=f(x)的概念。

1、当您付费下载文档后,您只拥有了使用权限,并不意味着购买了版权,文档只能用于自身使用,不得用于其他商业用途(如 [转卖]进行直接盈利或[编辑后售卖]进行间接盈利)。
2、本站所有内容均由合作方或网友上传,本站不对文档的完整性、权威性及其观点立场正确性做任何保证或承诺!文档内容仅供研究参考,付费前请自行鉴别。
3、如文档内容存在违规,或者侵犯商业秘密、侵犯著作权等,请点击“违规举报”。

碎片内容

蜗牛文库的最新文档

二年级数学下册其中检测卷二年级数学下册其中检测卷附答案#期中测试卷.pdf
10.00金币
0下载
二年级数学下册期末质检卷(苏教版)二年级数学下册期末质检卷(苏教版)#期末复习 #期末测试卷 #二年级数学 #二年级数学下册#关注我持续更新小学知识.pdf
10.00金币
0下载
二年级数学下册期末混合运算专项练习二年级数学下册期末混合运算专项练习#二年级#二年级数学下册#关注我持续更新小学知识 #知识分享 #家长收藏孩子受益.pdf
10.00金币
1下载
二年级数学下册年月日三类周期问题解题方法二年级数学下册年月日三类周期问题解题方法#二年级#二年级数学下册#知识分享 #关注我持续更新小学知识 #家长收藏孩子受益.pdf
10.00金币
0下载
二年级数学下册解决问题专项训练二年级数学下册解决问题专项训练#专项训练#解决问题#二年级#二年级数学下册#知识分享.pdf
10.00金币
1下载
二年级数学下册还原问题二年级数学下册还原问题#二年级#二年级数学#关注我持续更新小学知识 #知识分享 #家长收藏孩子受益.pdf
10.00金币
1下载
二年级数学下册第六单元考试卷家长打印出来给孩子测试测试争取拿到高分!#小学二年级试卷分享 #二年级第六单考试数学 #第六单考试#二年级数学下册.pdf
10.00金币
0下载
二年级数学下册必背顺口溜口诀汇总二年级数学下册必背顺口溜口诀汇总#二年级#二年级数学下册 #知识分享 #家长收藏孩子受益 #关注我持续更新小学知识.pdf
10.00金币
0下载
二年级数学下册《重点难点思维题》两大问题解决技巧和方法巧算星期几解决周期问题还原问题强化思维训练老师精心整理家长可以打印出来给孩子练习#家长收藏孩子受益 #学霸秘籍 #思维训练 #二年级 #知识点总结.pdf
10.00金币
0下载
二年级数学下册 必背公式大全寒假提前背一背开学更轻松#二年级 #二年级数学 #二年级数学下册 #寒假充电计划 #公式.pdf
10.00金币
0下载
蜗牛文库+ 关注
实名认证
内容提供者

提供各种专业文档内容

确认删除?
QQ
  • QQ点击这里给我发消息
微信客服
  • 微信客服
回到顶部