电脑桌面
添加蜗牛文库到电脑桌面
安装后可以在桌面快捷访问

8.2一元线性回归分析的应用举例(第2课时)(课件)-2022-2023学年高二数学同步精品课堂(沪教版2020选择性必修第二册).pptxVIP免费

8.2一元线性回归分析的应用举例(第2课时)(课件)-2022-2023学年高二数学同步精品课堂(沪教版2020选择性必修第二册).pptx8.2一元线性回归分析的应用举例(第2课时)(课件)-2022-2023学年高二数学同步精品课堂(沪教版2020选择性必修第二册).pptx8.2一元线性回归分析的应用举例(第2课时)(课件)-2022-2023学年高二数学同步精品课堂(沪教版2020选择性必修第二册).pptx8.2一元线性回归分析的应用举例(第2课时)(课件)-2022-2023学年高二数学同步精品课堂(沪教版2020选择性必修第二册).pptx
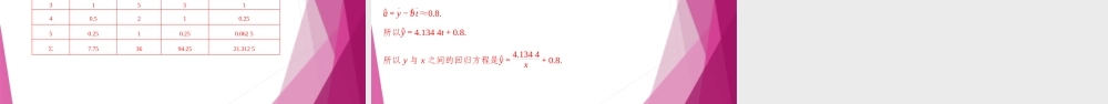
2022-2023学年高一数学同步精品课堂(沪教版2020选修第二册)第8章成对数据的统计分析8.2一元线性回归分析的应用举例(第2课时)例1依据本章8.1节例2中某市高中男生身高与体重的抽样数据,运用“”电子表格办公软件求体重(y“”)关于身高(x)的回归方程.解“”“”将表83中的数据输入工作簿,然后选择插入图表,再选择散点图,则自动生成如下的散点图(图8-2-2).“”“”“在数据点上单击右键,选择添加趋势线-线型,并在趋”势线选项标签中要求给出公式,可以得到回归直线(图8-2-3).图8-2-3中标明了所求的回归方程为:y=2.311x-340.5根据所得的回归方程,对于身高178cm的男生,可以预测其体重为2.311×178-340.5=70.858(kg).从上述例子可以看出,建立一元线性回归模型的一般步骤如下:(1)确定研究对象,从一组数据出发,根据实际问题,明确哪个变量是自变量,哪个变量是因变量;(2)对确定的自变量和因变量,绘制相应的散点图,观察它们之间的关系(如是否存在线性关系等)(3)若观察到数据呈线性关系,则选用线性方程;(4)利用最小二乘法估计线性方程中的参数a、b,得到回归方程(5)得出结果后计算离差,采用统计方法检验模型是否合适(这一步本书不作要求);(6)利用所求的回归方程进行预测.相关分析和回归分析作为处理成对数据的两种基本统计方法,它们之间有如下联系与区别:(1)相关分析主要测定变量之间相关性的强弱和变化方向,而回归分析则是在相关分析的基础上建立回归模型,定量地描述变量间具体的变动关系.只有在两组变量具有线性相关性时,才作线性回归分析,得到回归直线.(2)在相关分析中,两个变量的地位是对等的;而在回归分析中,要考察的是一个变量随另一个变量的变化趋势,其中自变量是解释变量,因变量是反应变量.(3)回归分析具有因果分析和预测的功能,可以分析反应变受解释变量的影响程度,也可以通过回归方程求得反应变量的计算值来估计其他同类的观察值.(4)在相关分析中,一般要求两个变量的总体都满足正态分布;而在回归分析时,一般只要求反应变量的总体满足正态分布除了具有线性关系的散点图以外,线性回归分析还可以处理呈指数分布性状的数据分布.表8-5是1999年至2018年我国国内游客数量(单位:万人次)的统计表,图8-2-4是根据这些数据所作的散点图.从图上可以看出年份与游客人数之间不是线性关系,而是有...

1、当您付费下载文档后,您只拥有了使用权限,并不意味着购买了版权,文档只能用于自身使用,不得用于其他商业用途(如 [转卖]进行直接盈利或[编辑后售卖]进行间接盈利)。
2、本站所有内容均由合作方或网友上传,本站不对文档的完整性、权威性及其观点立场正确性做任何保证或承诺!文档内容仅供研究参考,付费前请自行鉴别。
3、如文档内容存在违规,或者侵犯商业秘密、侵犯著作权等,请点击“违规举报”。

碎片内容

蜗牛文库的最新文档

二年级数学下册其中检测卷二年级数学下册其中检测卷附答案#期中测试卷.pdf
10.00金币
0下载
二年级数学下册期末质检卷(苏教版)二年级数学下册期末质检卷(苏教版)#期末复习 #期末测试卷 #二年级数学 #二年级数学下册#关注我持续更新小学知识.pdf
10.00金币
0下载
二年级数学下册期末混合运算专项练习二年级数学下册期末混合运算专项练习#二年级#二年级数学下册#关注我持续更新小学知识 #知识分享 #家长收藏孩子受益.pdf
10.00金币
1下载
二年级数学下册年月日三类周期问题解题方法二年级数学下册年月日三类周期问题解题方法#二年级#二年级数学下册#知识分享 #关注我持续更新小学知识 #家长收藏孩子受益.pdf
10.00金币
0下载
二年级数学下册解决问题专项训练二年级数学下册解决问题专项训练#专项训练#解决问题#二年级#二年级数学下册#知识分享.pdf
10.00金币
1下载
二年级数学下册还原问题二年级数学下册还原问题#二年级#二年级数学#关注我持续更新小学知识 #知识分享 #家长收藏孩子受益.pdf
10.00金币
1下载
二年级数学下册第六单元考试卷家长打印出来给孩子测试测试争取拿到高分!#小学二年级试卷分享 #二年级第六单考试数学 #第六单考试#二年级数学下册.pdf
10.00金币
0下载
二年级数学下册必背顺口溜口诀汇总二年级数学下册必背顺口溜口诀汇总#二年级#二年级数学下册 #知识分享 #家长收藏孩子受益 #关注我持续更新小学知识.pdf
10.00金币
0下载
二年级数学下册《重点难点思维题》两大问题解决技巧和方法巧算星期几解决周期问题还原问题强化思维训练老师精心整理家长可以打印出来给孩子练习#家长收藏孩子受益 #学霸秘籍 #思维训练 #二年级 #知识点总结.pdf
10.00金币
0下载
二年级数学下册 必背公式大全寒假提前背一背开学更轻松#二年级 #二年级数学 #二年级数学下册 #寒假充电计划 #公式.pdf
10.00金币
0下载
蜗牛文库+ 关注
实名认证
内容提供者

提供各种专业文档内容

确认删除?
QQ
  • QQ点击这里给我发消息
微信客服
  • 微信客服
回到顶部