电脑桌面
添加蜗牛文库到电脑桌面
安装后可以在桌面快捷访问

第07章 方差分析.pptVIP免费

第07章 方差分析.ppt第07章 方差分析.ppt第07章 方差分析.ppt第07章 方差分析.ppt第07章 方差分析.ppt
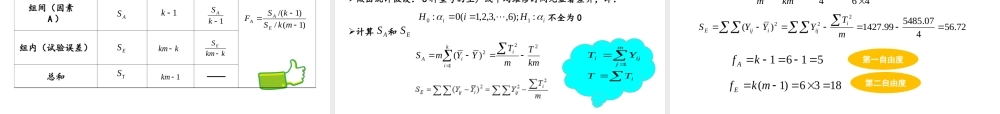
第七章方差分析第七章方差分析学习目标1.理解方差分析的基本思想和原理。2.掌握单因素方差分析的主要步骤,学会使用方差分析表。3.了解单因素方差分析的多重比较法。4.了解双因素方差分析的主要步骤。5.熟悉方差分析的SPSS软件操作。第七章方差分析7.1方差分析的原理7.1.1方差分析的定义对于工农业生产的每一种产品,影响其评价指标的因素是众多的。对于管理者来说,了解哪些因素对产品质量或产量等指标有显著影响具有重要意义。试验中称可控制的试验条件为因素(factor),因素变化的各个等级称为水平(level)。试验中只有一个因素改变,其他可控条件不变试验中有两个或者两个以上因素发生改变单因素试验双因素试验方差分析(analysisofvariance,简称ANOVA)所要解决的问题是,根据试验结果,判断哪些因素有显著作用,在什么样的水平和工艺条件下能使管理者关心的指标达到最优。第七章方差分析7.1方差分析的原理【例7-1】表7-1不同型号的生产线维修时间某公司计划引进一条生产线,为了选择一条质量优良的生产线以减少日后的维修问题,他们对6种型号的生产线做了初步调查,每种型号调查4条生产线,结果如表7-1所示。这些结果表示每个型号的生产线上个月维修的小时数。试问这些结果能否判定由于生产线型号不同而造成它们在维修时间上有显著差异?序号型号1234A型B型C型D型E型F型9.54.36.56.110.09.38.87.88.37.34.88.711.43.28.64.25.47.27.86.58.24.19.610.1第七章方差分析7.1方差分析的原理在【例7-1】中原假设是:不同型号的生产线平均维修时间均相同。如果这个原假设为真,那么各型号的样本平均数之间的变异程度就不可能太大。因此考虑使用方差或观测值的偏差平方和的概念进行检验。7.1.2方差分析的基本思想(1)总偏差平方和=由因素水平引起的偏差平方和+试验误差平方和(2)上式右边两个平方和的相对大小可以说明因素的不同水平是否使得各型号的平均维修时间存在显著性差异,为此需要进行适当的统计假设检验。第七章方差分析7.2单因素试验的方差分析7.2.1数学模型与数据结构在单因素试验中,为了考察因素A的k个水平对指标Y的影响,设想在固定的条件下做试验。所有可能的试验结果组成一个总体,它是一个随机变量,可以把它分解为两部分,即其中纯属作用的结果,称为在条件下的真值;是试验误差(也称随机误差),假设为服从正态分布的随机变量。如果在独立试验中,除了不同外,其余条件均不变,则是独立同分布的随机变量,即,因为...

1、当您付费下载文档后,您只拥有了使用权限,并不意味着购买了版权,文档只能用于自身使用,不得用于其他商业用途(如 [转卖]进行直接盈利或[编辑后售卖]进行间接盈利)。
2、本站所有内容均由合作方或网友上传,本站不对文档的完整性、权威性及其观点立场正确性做任何保证或承诺!文档内容仅供研究参考,付费前请自行鉴别。
3、如文档内容存在违规,或者侵犯商业秘密、侵犯著作权等,请点击“违规举报”。

碎片内容

蜗牛文库的最新文档

二年级数学下册其中检测卷二年级数学下册其中检测卷附答案#期中测试卷.pdf
10.00金币
0下载
二年级数学下册期末质检卷(苏教版)二年级数学下册期末质检卷(苏教版)#期末复习 #期末测试卷 #二年级数学 #二年级数学下册#关注我持续更新小学知识.pdf
10.00金币
0下载
二年级数学下册期末混合运算专项练习二年级数学下册期末混合运算专项练习#二年级#二年级数学下册#关注我持续更新小学知识 #知识分享 #家长收藏孩子受益.pdf
10.00金币
1下载
二年级数学下册年月日三类周期问题解题方法二年级数学下册年月日三类周期问题解题方法#二年级#二年级数学下册#知识分享 #关注我持续更新小学知识 #家长收藏孩子受益.pdf
10.00金币
0下载
二年级数学下册解决问题专项训练二年级数学下册解决问题专项训练#专项训练#解决问题#二年级#二年级数学下册#知识分享.pdf
10.00金币
1下载
二年级数学下册还原问题二年级数学下册还原问题#二年级#二年级数学#关注我持续更新小学知识 #知识分享 #家长收藏孩子受益.pdf
10.00金币
1下载
二年级数学下册第六单元考试卷家长打印出来给孩子测试测试争取拿到高分!#小学二年级试卷分享 #二年级第六单考试数学 #第六单考试#二年级数学下册.pdf
10.00金币
0下载
二年级数学下册必背顺口溜口诀汇总二年级数学下册必背顺口溜口诀汇总#二年级#二年级数学下册 #知识分享 #家长收藏孩子受益 #关注我持续更新小学知识.pdf
10.00金币
0下载
二年级数学下册《重点难点思维题》两大问题解决技巧和方法巧算星期几解决周期问题还原问题强化思维训练老师精心整理家长可以打印出来给孩子练习#家长收藏孩子受益 #学霸秘籍 #思维训练 #二年级 #知识点总结.pdf
10.00金币
0下载
二年级数学下册 必背公式大全寒假提前背一背开学更轻松#二年级 #二年级数学 #二年级数学下册 #寒假充电计划 #公式.pdf
10.00金币
0下载
蜗牛文库+ 关注
实名认证
内容提供者

提供各种专业文档内容

确认删除?
QQ
  • QQ点击这里给我发消息
微信客服
  • 微信客服
回到顶部