电脑桌面
添加蜗牛文库到电脑桌面
安装后可以在桌面快捷访问

newCH10_6.PPTVIP免费

newCH10_6.PPTnewCH10_6.PPTnewCH10_6.PPTnewCH10_6.PPT
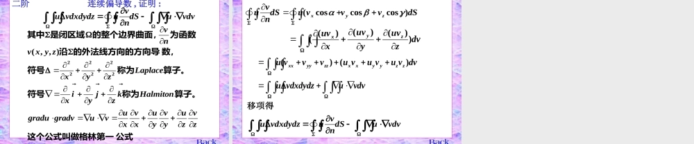
高斯(Guass)公式格林公式:平面区域上的二重积分与其边界上的曲线积分之间的关系.高斯公式:空间区域上的三重积分与其边界曲面上的曲面积分之间的关系.牛顿-莱布尼兹公式:区间上的定积分与其两端点上的函数值之间的关系babaxFdxxF)]([)('LDQdyPdxdxdyyPxQ)(一、高斯(Gauss)公式RdxdyQdzdxPdydzdvzRyQxP)(取外侧)3(具有一阶连续偏导数上在所围成,曲面是由分片光滑的闭有向空间闭区域设),,(),,,(),,,()2()1(zyxRzyxQzyxP高斯公式定理XYZO12xyD.RdxdydvzR先证.)1(的交点恰好是两个的边界曲面与轴的直线内部且平行于设穿过闭z设闭区域在面xoy上的投影区域为xyD.由1,2和3三部分组成,取上侧),(1:1yxzz取下侧),(2:2yxzz.3部分直线为母线的柱面的一轴的的边界为准线,平行是以zDxy123xyDZXYO证明xyDyxzyxzdzzRdxdydvzR),(),(120)()(aRdxdydvzR比较①②得,321Rdxdy①xyDdxdyyxzyxRyxzyxR)]},(,,[)],(,,[{2121②xyxyDxyDxydyxzyxRdyxzyxR)],(,,[)],(,,[21RdxdyQdzdxPdydzdvzRyQxP)(:))()((三项相加即得将cba)()(cQdzdxdvyQbPdydzdvxP.的交点恰好是两个的边界曲面与轴的直线轴及内部且平行于同理,若穿过闭yx,,)2(两个的边界曲面的交点多于坐标轴的直线与内部且平行于即穿过不是简单区域若.,,)1(,)1(,,证得高斯公式消的两个曲面积分正好抵侧注意到沿辅助面相反两且对积分区域可加性性质所得结论及由形中的区域情使得每个区域为个区域分成几把引进几个辅助面方法可按照格林公式证明的.得证综合一、二步高斯公式12123nn312123nn3323132312121)(RdxdyQdzdxPdydzdvzRyQxP21有连续偏导数取外侧当闭RQP,,,,Gauss公式的实质表达了空间闭区域上的三重积分与其边界曲面上的曲面积分之间的关系.注外侧计算czbyaxzyxdzdxydydzxI,,,0,0,0::22...

1、当您付费下载文档后,您只拥有了使用权限,并不意味着购买了版权,文档只能用于自身使用,不得用于其他商业用途(如 [转卖]进行直接盈利或[编辑后售卖]进行间接盈利)。
2、本站所有内容均由合作方或网友上传,本站不对文档的完整性、权威性及其观点立场正确性做任何保证或承诺!文档内容仅供研究参考,付费前请自行鉴别。
3、如文档内容存在违规,或者侵犯商业秘密、侵犯著作权等,请点击“违规举报”。

碎片内容

蜗牛文库的最新文档

二年级数学下册其中检测卷二年级数学下册其中检测卷附答案#期中测试卷.pdf
10.00金币
0下载
二年级数学下册期末质检卷(苏教版)二年级数学下册期末质检卷(苏教版)#期末复习 #期末测试卷 #二年级数学 #二年级数学下册#关注我持续更新小学知识.pdf
10.00金币
0下载
二年级数学下册期末混合运算专项练习二年级数学下册期末混合运算专项练习#二年级#二年级数学下册#关注我持续更新小学知识 #知识分享 #家长收藏孩子受益.pdf
10.00金币
1下载
二年级数学下册年月日三类周期问题解题方法二年级数学下册年月日三类周期问题解题方法#二年级#二年级数学下册#知识分享 #关注我持续更新小学知识 #家长收藏孩子受益.pdf
10.00金币
0下载
二年级数学下册解决问题专项训练二年级数学下册解决问题专项训练#专项训练#解决问题#二年级#二年级数学下册#知识分享.pdf
10.00金币
1下载
二年级数学下册还原问题二年级数学下册还原问题#二年级#二年级数学#关注我持续更新小学知识 #知识分享 #家长收藏孩子受益.pdf
10.00金币
1下载
二年级数学下册第六单元考试卷家长打印出来给孩子测试测试争取拿到高分!#小学二年级试卷分享 #二年级第六单考试数学 #第六单考试#二年级数学下册.pdf
10.00金币
0下载
二年级数学下册必背顺口溜口诀汇总二年级数学下册必背顺口溜口诀汇总#二年级#二年级数学下册 #知识分享 #家长收藏孩子受益 #关注我持续更新小学知识.pdf
10.00金币
0下载
二年级数学下册《重点难点思维题》两大问题解决技巧和方法巧算星期几解决周期问题还原问题强化思维训练老师精心整理家长可以打印出来给孩子练习#家长收藏孩子受益 #学霸秘籍 #思维训练 #二年级 #知识点总结.pdf
10.00金币
0下载
二年级数学下册 必背公式大全寒假提前背一背开学更轻松#二年级 #二年级数学 #二年级数学下册 #寒假充电计划 #公式.pdf
10.00金币
0下载
蜗牛文库+ 关注
实名认证
内容提供者

提供各种专业文档内容

确认删除?
QQ
  • QQ点击这里给我发消息
微信客服
  • 微信客服
回到顶部