电脑桌面
添加蜗牛文库到电脑桌面
安装后可以在桌面快捷访问

透镜参数的测量(蔡).docVIP免费

透镜参数的测量(蔡).doc_第1页
透镜参数的测量(蔡).doc_第2页
透镜参数的测量(蔡).doc_第3页
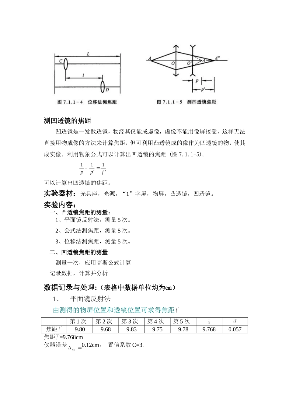
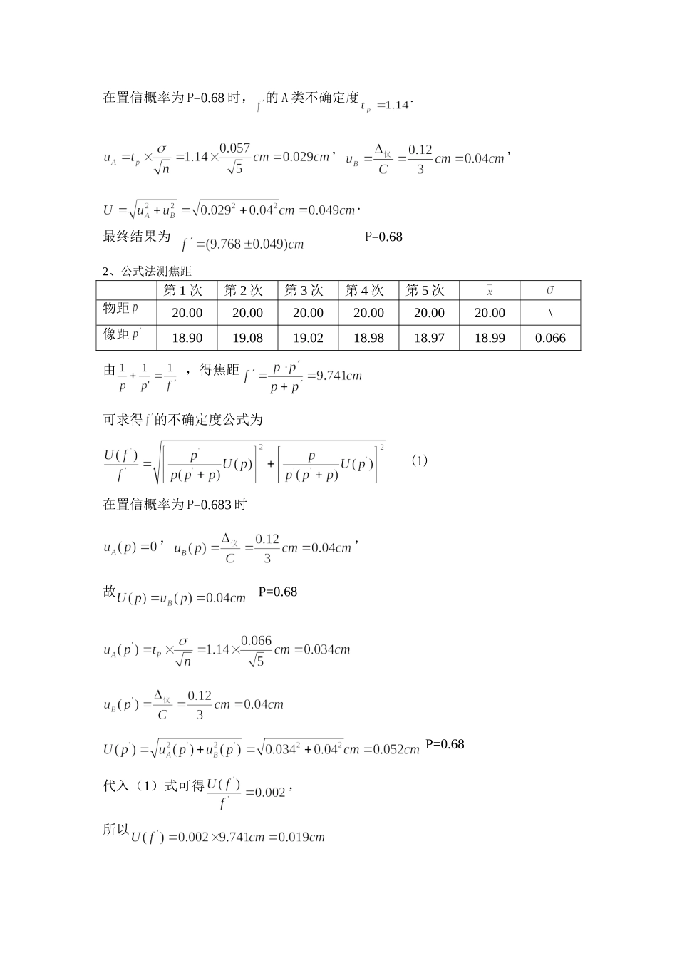
实验报告5-06级数学系蔡园青2007年5月18日PB06001093实验题目:透镜参数的测量实验目的:了解光源、物、像间的关系,熟练掌握光具座上各种光学元件的调节,并测量薄透镜的焦距。实验原理:凸透镜焦距的测量1、平面镜反射法位于焦点F上的物所发出的光经过透镜变成平行光,再经过平面镜M的反射可以在物屏上得到清晰的倒立的像。2、公式法测焦距固定透镜,将物放在距透镜一倍以上焦距处,在透镜的像方某处会获得一个清晰的像、分别对应物距、像距。根据物像公式可得透镜的焦距。3、位移法测焦距当物和屏之间的距离A大于4f时,固定物和屏,移动透镜至在像屏上可分别获得放大和缩小的实像。两像之间距离为,通过物像公式,可得只要测得L、l,即可获得焦距。(图7.1.1-4)测凹透镜的焦距凹透镜是一发散透镜,物经其仅能成虚像,虚像不能用像屏接受,这样无法直接用物成像的方法来计算焦距,但可利用凸透镜成的像作为凹透镜的物,使其成实像。利用物象公式可以计算出凹透镜的焦距(图7.1.1-5),可以计算出凹透镜的焦距。实验器材:光具座,光源,“1”字屏,物屏,凸透镜,凹透镜。实验内容:一、凸透镜焦距的测量:1、平面镜反射法,测量5次。2、公式法测焦距,测量5次。3、位移法测焦距,测量5次。二、凹透镜焦距的测量测量一次,应用高斯公式计算记录数据,计算并分析数据记录与处理:(表格中数据单位均为㎝)1、平面镜反射法由测得的物屏位置和透镜位置可求得焦距第1次第2次第3次第4次第5次焦距9.809.689.839.759.789.7680.057焦距=9.768cm仪器误差0.12cm,置信系数C=3.在置信概率为P=0.68时,的A类不确定度.,,.最终结果为P=0.682、公式法测焦距第1次第2次第3次第4次第5次物距20.0020.0020.0020.0020.0020.00\像距18.9019.0819.0218.9818.9718.990.066由,得焦距可求得的不确定度公式为(1)在置信概率为P=0.683时,,故P=0.68P=0.68代入(1)式可得,所以最终结果为P=0.683、位移法测焦距第1次第2次第3次第4次第5次物屏距A45.0045.0045.0045.0045.0045.00\两次成像距l14.8014.6414.9914.8014.8514.8160.125焦距可求得的不确定度公式为(2)而,,故P=0.68又所以P=0.68代入(2)式可得:P=0.68最终结果P=0.684、测凹透镜的焦距物距9.97像距20.80由,得焦距实验心得体会:三种凸透镜测量方法中,后两种要大致估计出焦距的范围后再进行实验三种方法的比较:1、平面镜反射法原理容易理解,简单易行,计算简单。2、公式法测焦距公式的原理清晰,测量量也直接,...

1、当您付费下载文档后,您只拥有了使用权限,并不意味着购买了版权,文档只能用于自身使用,不得用于其他商业用途(如 [转卖]进行直接盈利或[编辑后售卖]进行间接盈利)。
2、本站所有内容均由合作方或网友上传,本站不对文档的完整性、权威性及其观点立场正确性做任何保证或承诺!文档内容仅供研究参考,付费前请自行鉴别。
3、如文档内容存在违规,或者侵犯商业秘密、侵犯著作权等,请点击“违规举报”。

碎片内容

蜗牛文库的最新文档

二年级数学下册其中检测卷二年级数学下册其中检测卷附答案#期中测试卷.pdf
10.00金币
0下载
二年级数学下册期末质检卷(苏教版)二年级数学下册期末质检卷(苏教版)#期末复习 #期末测试卷 #二年级数学 #二年级数学下册#关注我持续更新小学知识.pdf
10.00金币
0下载
二年级数学下册期末混合运算专项练习二年级数学下册期末混合运算专项练习#二年级#二年级数学下册#关注我持续更新小学知识 #知识分享 #家长收藏孩子受益.pdf
10.00金币
1下载
二年级数学下册年月日三类周期问题解题方法二年级数学下册年月日三类周期问题解题方法#二年级#二年级数学下册#知识分享 #关注我持续更新小学知识 #家长收藏孩子受益.pdf
10.00金币
0下载
二年级数学下册解决问题专项训练二年级数学下册解决问题专项训练#专项训练#解决问题#二年级#二年级数学下册#知识分享.pdf
10.00金币
1下载
二年级数学下册还原问题二年级数学下册还原问题#二年级#二年级数学#关注我持续更新小学知识 #知识分享 #家长收藏孩子受益.pdf
10.00金币
1下载
二年级数学下册第六单元考试卷家长打印出来给孩子测试测试争取拿到高分!#小学二年级试卷分享 #二年级第六单考试数学 #第六单考试#二年级数学下册.pdf
10.00金币
0下载
二年级数学下册必背顺口溜口诀汇总二年级数学下册必背顺口溜口诀汇总#二年级#二年级数学下册 #知识分享 #家长收藏孩子受益 #关注我持续更新小学知识.pdf
10.00金币
0下载
二年级数学下册《重点难点思维题》两大问题解决技巧和方法巧算星期几解决周期问题还原问题强化思维训练老师精心整理家长可以打印出来给孩子练习#家长收藏孩子受益 #学霸秘籍 #思维训练 #二年级 #知识点总结.pdf
10.00金币
0下载
二年级数学下册 必背公式大全寒假提前背一背开学更轻松#二年级 #二年级数学 #二年级数学下册 #寒假充电计划 #公式.pdf
10.00金币
0下载
蜗牛文库+ 关注
实名认证
内容提供者

提供各种专业文档内容

确认删除?
QQ
  • QQ点击这里给我发消息
微信客服
  • 微信客服
回到顶部