电脑桌面
添加蜗牛文库到电脑桌面
安装后可以在桌面快捷访问

2018版高考数学专题2指数函数对数函数和幂函数2.2.1对数的概念和运算律课件湘教版必修120180426333.pptVIP免费

2018版高考数学专题2指数函数对数函数和幂函数2.2.1对数的概念和运算律课件湘教版必修120180426333.ppt2018版高考数学专题2指数函数对数函数和幂函数2.2.1对数的概念和运算律课件湘教版必修120180426333.ppt2018版高考数学专题2指数函数对数函数和幂函数2.2.1对数的概念和运算律课件湘教版必修120180426333.ppt2018版高考数学专题2指数函数对数函数和幂函数2.2.1对数的概念和运算律课件湘教版必修120180426333.ppt
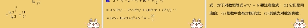
第2章——指数函数、对数函数指数函数、对数函数和幂函数和幂函数2.2对数函数2.2.1对数的概念和运算律[学习目标]1.理解对数的概念,能进行指数式与对数式的互化.2.了解常用对数与自然对数的意义.3.理解对数恒等式并能用于有关对数的计算.4.掌握对数的运算性质及其推导.5.能运用对数运算性质进行化简、求值和证明.1预习导学挑战自我,点点落实2课堂讲义重点难点,个个击破3当堂检测当堂训练,体验成功[知识链接]1.823=,642-3=.2.若2x=8,则x=;若3x=81,则x=.3.在指数的运算性质中:am·an=am+n,aman=am-n,(am)n=amn.434116[预习导引]1.对数的概念如果ab=N(a>0,a≠1),那么b叫作以a为底,(正)数N的,记作b=.这里,a叫作对数的,N叫作对数的.把上述定义中的b=logaN代入ab=N,得到alogaN=N;把N=ab代入b=logaN,得到b=logaab,这两个等式叫作对数的基本恒等式:alogN==logab对数logaN真数底Nb102.对数的运算法则如果a>0,a≠1,M>0,N>0,那么(1)loga(MN)=.(2)logaMn=(n∈R).(3)logaMN=.logaM+logaNnlogaMlogaM-logaN3.常用对数与自然对数(1)以为底的对数叫作常用对数,log10N记作.(2)以无理数e=2.71828…为底的对数叫作对数.logeN通常记为lnN.10lgN自然要点一指数式与对数式的互化例1将下列指数式化为对数式,对数式化为指数式:(1)2-7=1128;解log21128=-7.(2)3a=27;解log327=a.(3)10-1=0.1;解lg0.1=-1.(4)log232=-5;解2-5=32.(5)lg0.001=-3.解10-3=0.001.规律方法1.解答此类问题的关键是要搞清a,x,N在指数式和对数式中的位置.2.若是指数式化为对数式,关键是看清指数是几,再写成对数式;若是对数式化为指数式,则要看清真数是几,再写成指数式.跟踪演练1将下列指数式化为对数式,对数式化为指数式:(1)log3x=6;解36=x.(2)lne=1;解e1=e.(3)43=64.解log464=3.要点二对数式的计算与化简例2求下列各式的值:(1)lg27+lg8-lg1000lg1.2;解原式=12lg27+lg23-12lg1000lg12-lg10=32lg3+3lg2-322lg2+lg3-1=32lg3+2lg2-1lg3+2lg2-1=32.(2)2log32-log3329+log38-log5125;解原式=2log32-log332+log39+log323-log553=2log32-5log32+2+3log32-3=-1.(3)log2748+log212-12log242;解原式=log27×1248×42=log2212=-12.(4)(lg2)3+3lg2·lg5+(lg5)3.解原式=(lg2+lg5)[(lg2)2-lg2·lg5+(lg5)2]+3lg2·lg5=(lg2)2+2lg2·lg5+(lg5)2=(lg2+l...

1、当您付费下载文档后,您只拥有了使用权限,并不意味着购买了版权,文档只能用于自身使用,不得用于其他商业用途(如 [转卖]进行直接盈利或[编辑后售卖]进行间接盈利)。
2、本站所有内容均由合作方或网友上传,本站不对文档的完整性、权威性及其观点立场正确性做任何保证或承诺!文档内容仅供研究参考,付费前请自行鉴别。
3、如文档内容存在违规,或者侵犯商业秘密、侵犯著作权等,请点击“违规举报”。

碎片内容

蜗牛文库的最新文档

二年级数学下册其中检测卷二年级数学下册其中检测卷附答案#期中测试卷.pdf
10.00金币
0下载
二年级数学下册期末质检卷(苏教版)二年级数学下册期末质检卷(苏教版)#期末复习 #期末测试卷 #二年级数学 #二年级数学下册#关注我持续更新小学知识.pdf
10.00金币
0下载
二年级数学下册期末混合运算专项练习二年级数学下册期末混合运算专项练习#二年级#二年级数学下册#关注我持续更新小学知识 #知识分享 #家长收藏孩子受益.pdf
10.00金币
1下载
二年级数学下册年月日三类周期问题解题方法二年级数学下册年月日三类周期问题解题方法#二年级#二年级数学下册#知识分享 #关注我持续更新小学知识 #家长收藏孩子受益.pdf
10.00金币
0下载
二年级数学下册解决问题专项训练二年级数学下册解决问题专项训练#专项训练#解决问题#二年级#二年级数学下册#知识分享.pdf
10.00金币
1下载
二年级数学下册还原问题二年级数学下册还原问题#二年级#二年级数学#关注我持续更新小学知识 #知识分享 #家长收藏孩子受益.pdf
10.00金币
1下载
二年级数学下册第六单元考试卷家长打印出来给孩子测试测试争取拿到高分!#小学二年级试卷分享 #二年级第六单考试数学 #第六单考试#二年级数学下册.pdf
10.00金币
0下载
二年级数学下册必背顺口溜口诀汇总二年级数学下册必背顺口溜口诀汇总#二年级#二年级数学下册 #知识分享 #家长收藏孩子受益 #关注我持续更新小学知识.pdf
10.00金币
0下载
二年级数学下册《重点难点思维题》两大问题解决技巧和方法巧算星期几解决周期问题还原问题强化思维训练老师精心整理家长可以打印出来给孩子练习#家长收藏孩子受益 #学霸秘籍 #思维训练 #二年级 #知识点总结.pdf
10.00金币
0下载
二年级数学下册 必背公式大全寒假提前背一背开学更轻松#二年级 #二年级数学 #二年级数学下册 #寒假充电计划 #公式.pdf
10.00金币
0下载
蜗牛文库+ 关注
实名认证
内容提供者

提供各种专业文档内容

确认删除?
QQ
  • QQ点击这里给我发消息
微信客服
  • 微信客服
回到顶部