电脑桌面
添加蜗牛文库到电脑桌面
安装后可以在桌面快捷访问

3.1 3.1.2第一课时 椭圆的简单几何性质.pptVIP免费

3.1 3.1.2第一课时 椭圆的简单几何性质.ppt3.1 3.1.2第一课时 椭圆的简单几何性质.ppt3.1 3.1.2第一课时 椭圆的简单几何性质.ppt3.1 3.1.2第一课时 椭圆的简单几何性质.ppt3.1 3.1.2第一课时 椭圆的简单几何性质.ppt
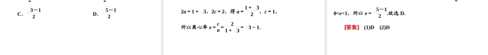
第一课时椭圆的简单几何性质(一)教材梳理填空1.椭圆的简单几何性质焦点的位置焦点在x轴上焦点在y轴上图形标准方程x2a2+y2b2=1(a>b>0)y2a2+x2b2=1(a>b>0)轴长短轴长|B1B2|=,长轴长|A1A2|=焦点____________________________________2b2aF1(-c,0),F2(c,0)F1(0,-c),F2(0,c)焦点的位置焦点在x轴上焦点在y轴上焦距|F1F2|=2c范围-a≤x≤a且-b≤y≤b-b≤x≤b且-a≤y≤a对称性对称轴为,对称中心为_____顶点__________________________________________________________________________离心率e=ca(0b>0)的长轴长等于a.()(2)椭圆上的点到焦点的距离的最小值为a-c.()(3)椭圆的离心率e越小,椭圆越圆.()(4)若一个矩形的四个顶点都在椭圆上,则这四个顶点关于椭圆的中心对称.()答案:(1)×(2)√(3)√(4)√2.椭圆25x2+9y2=225的长轴长、短轴长、离心率依次是()A.5,3,0.8B.10,6,0.8C.5,3,0.6D.10,6,0.6答案:B3.椭圆x28+y29=1的离心率为()A.12B.15C.13D.14解析:由椭圆的标准方程可知,该椭圆的焦点在y轴上,a2=9,b2=8,所以c=1,所以e=ca=13.答案:C4.设P(m,n)是椭圆x225+y29=1上任意一点,则m的取值范围是________.答案:[-5,5]题型一由椭圆的标准方程研究其几何性质[学透用活][典例1]求椭圆9x2+16y2=144的长轴长、短轴长、离心率、焦点和顶点坐标.[解]把已知方程化成标准方程为x216+y29=1,于是a=4,b=3,c=16-9=7,∴椭圆的长轴长和短轴长分别是2a=8和2b=6,离心率e=ca=74,两个焦点坐标分别是F1(-7,0)和F2(7,0),四个顶点坐标分别是A1(-4,0),A2(4,0),B1(0,-3),B2(0,3).[方法技巧]确定椭圆的几何性质的步骤[对点练清]已知椭圆C1:x2100+y264=1,设椭圆C2与椭圆C1的长轴长、短轴长分别相等,且椭圆C2的焦点在y轴上.(1)求椭圆C1的长半轴长、短半轴长、焦点坐标及离心率;(2)写出椭圆C2的方程,并研究其性质.解:(1)由椭圆C1:x2100+y264=1可得其长半轴长为10,短半轴长为8,焦点坐标(-6,0),(6,0),离心率e=35.(2)椭圆C2:y2100+x264=1.性质:①范围:-8≤x≤8,-10≤y≤10;②对称性:关于x轴、y轴、原点对称;③顶点:长轴端点(0,-10),(0,10),短轴端点(-8,0),(8,0);④焦点:(0,-6),(0,6...

1、当您付费下载文档后,您只拥有了使用权限,并不意味着购买了版权,文档只能用于自身使用,不得用于其他商业用途(如 [转卖]进行直接盈利或[编辑后售卖]进行间接盈利)。
2、本站所有内容均由合作方或网友上传,本站不对文档的完整性、权威性及其观点立场正确性做任何保证或承诺!文档内容仅供研究参考,付费前请自行鉴别。
3、如文档内容存在违规,或者侵犯商业秘密、侵犯著作权等,请点击“违规举报”。

碎片内容

蜗牛文库的最新文档

二年级数学下册其中检测卷二年级数学下册其中检测卷附答案#期中测试卷.pdf
10.00金币
0下载
二年级数学下册期末质检卷(苏教版)二年级数学下册期末质检卷(苏教版)#期末复习 #期末测试卷 #二年级数学 #二年级数学下册#关注我持续更新小学知识.pdf
10.00金币
0下载
二年级数学下册期末混合运算专项练习二年级数学下册期末混合运算专项练习#二年级#二年级数学下册#关注我持续更新小学知识 #知识分享 #家长收藏孩子受益.pdf
10.00金币
1下载
二年级数学下册年月日三类周期问题解题方法二年级数学下册年月日三类周期问题解题方法#二年级#二年级数学下册#知识分享 #关注我持续更新小学知识 #家长收藏孩子受益.pdf
10.00金币
0下载
二年级数学下册解决问题专项训练二年级数学下册解决问题专项训练#专项训练#解决问题#二年级#二年级数学下册#知识分享.pdf
10.00金币
1下载
二年级数学下册还原问题二年级数学下册还原问题#二年级#二年级数学#关注我持续更新小学知识 #知识分享 #家长收藏孩子受益.pdf
10.00金币
1下载
二年级数学下册第六单元考试卷家长打印出来给孩子测试测试争取拿到高分!#小学二年级试卷分享 #二年级第六单考试数学 #第六单考试#二年级数学下册.pdf
10.00金币
0下载
二年级数学下册必背顺口溜口诀汇总二年级数学下册必背顺口溜口诀汇总#二年级#二年级数学下册 #知识分享 #家长收藏孩子受益 #关注我持续更新小学知识.pdf
10.00金币
0下载
二年级数学下册《重点难点思维题》两大问题解决技巧和方法巧算星期几解决周期问题还原问题强化思维训练老师精心整理家长可以打印出来给孩子练习#家长收藏孩子受益 #学霸秘籍 #思维训练 #二年级 #知识点总结.pdf
10.00金币
0下载
二年级数学下册 必背公式大全寒假提前背一背开学更轻松#二年级 #二年级数学 #二年级数学下册 #寒假充电计划 #公式.pdf
10.00金币
0下载
蜗牛文库+ 关注
实名认证
内容提供者

提供各种专业文档内容

确认删除?
QQ
  • QQ点击这里给我发消息
微信客服
  • 微信客服
回到顶部