电脑桌面
添加蜗牛文库到电脑桌面
安装后可以在桌面快捷访问

5.2.1基本初等函数的导数.pptVIP免费

5.2.1基本初等函数的导数.ppt5.2.1基本初等函数的导数.ppt5.2.1基本初等函数的导数.ppt5.2.1基本初等函数的导数.ppt
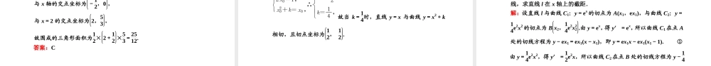
5.2导数的运算5.2.1基本初等函数的导数新课程标准1.能根据导数定义求函数y=c,y=x,y=x2,y=x3,y=1x,y=x的导数.2.能利用给出的基本初等函数的导数公式求简单函数的导数.3.通过导数的计算,培养学生数学运算的核心素养.(一)教材梳理填空1.几种常用函数的导数原函数导函数f(x)=c(c为常数)f′(x)=__f(x)=xf′(x)=__f(x)=x2f′(x)=__f(x)=x3f′(x)=___f(x)=1xf′(x)=____f(x)=xf′(x)=_____012x3x2-1x212x2.基本初等函数的导数公式原函数导函数f(x)=xα(α∈Q,且α≠0)f′(x)=______f(x)=sinxf′(x)=______f(x)=cosxf′(x)=______f(x)=ax(a>0,且a≠1)f′(x)=_____f(x)=exf′(x)=__f(x)=logax(a>0,且a≠1)f′(x)=____f(x)=lnxf′(x)=__αxα-1cosx-sinxaxlnaex1xlna1x[微提醒]对公式y=xα的理解(1)y=xα中,x为自变量,α为常数;(2)它的导数等于指数α与自变量的(α-1)次幂的乘积,公式对α∈R都成立.(二)基本知能小试1.判断正误(1)若y=2,则y′=12×2=1.()(2)若f′(x)=sinx,则f(x)=cosx.()(3)f(x)=1x3,则f′(x)=-3x4.()答案:(1)×(2)×(3)√2.若y=cos2π3,则y′=()A.-32B.-12C.0D.12答案:C3.函数y=x在点14,12处切线的倾斜角为()A.π6B.π4C.π3D.3π4答案:B题型一利用导数公式求函数的导数[学透用活][典例1]求下列函数的导数:(1)y=x-5;(2)y=4x;(3)y=log3x;(4)y=sinπ2+x.[解](1)y′=-5x-6.(2)y′=4xln4.(3)y′=1xln3.(4) y=sinπ2+x=cosx,∴y′=-sinx.[方法技巧]求函数的导数的常见类型及解题技巧(1)对于分式中分子、分母为齐次结构的函数,可考虑通过裂项为和差形式.(2)对于根式型函数,可考虑进行有理化变形.(3)对于多个整式乘积形式的函数,可考虑展开,化为和差形式.(4)对于三角函数,可考虑恒等变形,使函数的种类减少,次数降低,结构尽量简单,从而便于求导.[对点练清]1.f(x)=lnx在x=e处的导数值为()A.0B.1eC.1D.e解析: f(x)=lnx,∴f′(x)=1x.∴f′(e)=1e.答案:B2.求下列函数的导数:(1)y=12x;(2)y=xx;(3)y=13logx.解:(1)y′=12x′=12xln12=-12xln2.(2)y′=(xx)′=x32′=32x12=32x.(3)y′=(log13x)′=1xln13=-1xln3.题型二利用导数公式求切线方程[学透用活][典例2]已知曲线y=1x.(...

1、当您付费下载文档后,您只拥有了使用权限,并不意味着购买了版权,文档只能用于自身使用,不得用于其他商业用途(如 [转卖]进行直接盈利或[编辑后售卖]进行间接盈利)。
2、本站所有内容均由合作方或网友上传,本站不对文档的完整性、权威性及其观点立场正确性做任何保证或承诺!文档内容仅供研究参考,付费前请自行鉴别。
3、如文档内容存在违规,或者侵犯商业秘密、侵犯著作权等,请点击“违规举报”。

碎片内容

蜗牛文库的最新文档

二年级数学下册其中检测卷二年级数学下册其中检测卷附答案#期中测试卷.pdf
10.00金币
0下载
二年级数学下册期末质检卷(苏教版)二年级数学下册期末质检卷(苏教版)#期末复习 #期末测试卷 #二年级数学 #二年级数学下册#关注我持续更新小学知识.pdf
10.00金币
0下载
二年级数学下册期末混合运算专项练习二年级数学下册期末混合运算专项练习#二年级#二年级数学下册#关注我持续更新小学知识 #知识分享 #家长收藏孩子受益.pdf
10.00金币
1下载
二年级数学下册年月日三类周期问题解题方法二年级数学下册年月日三类周期问题解题方法#二年级#二年级数学下册#知识分享 #关注我持续更新小学知识 #家长收藏孩子受益.pdf
10.00金币
0下载
二年级数学下册解决问题专项训练二年级数学下册解决问题专项训练#专项训练#解决问题#二年级#二年级数学下册#知识分享.pdf
10.00金币
1下载
二年级数学下册还原问题二年级数学下册还原问题#二年级#二年级数学#关注我持续更新小学知识 #知识分享 #家长收藏孩子受益.pdf
10.00金币
1下载
二年级数学下册第六单元考试卷家长打印出来给孩子测试测试争取拿到高分!#小学二年级试卷分享 #二年级第六单考试数学 #第六单考试#二年级数学下册.pdf
10.00金币
0下载
二年级数学下册必背顺口溜口诀汇总二年级数学下册必背顺口溜口诀汇总#二年级#二年级数学下册 #知识分享 #家长收藏孩子受益 #关注我持续更新小学知识.pdf
10.00金币
0下载
二年级数学下册《重点难点思维题》两大问题解决技巧和方法巧算星期几解决周期问题还原问题强化思维训练老师精心整理家长可以打印出来给孩子练习#家长收藏孩子受益 #学霸秘籍 #思维训练 #二年级 #知识点总结.pdf
10.00金币
0下载
二年级数学下册 必背公式大全寒假提前背一背开学更轻松#二年级 #二年级数学 #二年级数学下册 #寒假充电计划 #公式.pdf
10.00金币
0下载
蜗牛文库+ 关注
实名认证
内容提供者

提供各种专业文档内容

确认删除?
QQ
  • QQ点击这里给我发消息
微信客服
  • 微信客服
回到顶部