电脑桌面
添加蜗牛文库到电脑桌面
安装后可以在桌面快捷访问

1.3 第一课时 并集与交集.pptxVIP免费

1.3 第一课时 并集与交集.pptx1.3 第一课时 并集与交集.pptx1.3 第一课时 并集与交集.pptx1.3 第一课时 并集与交集.pptx
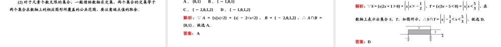
1.3集合的基本运算第一课时并集与交集明确目标发展素养1.理解两个集合的并集与交集的含义.2.会求两个简单集合的并集和交集.3.能使用Venn图表达集合的并集与交集,体会图示对理解抽象概念的作用.1.通过集合的交、并集运算,提高数学运算素养.2.借助集合交、并集运算的符号语言及图形语言,培养数学抽象和直观想象素养.3.通过运算结果逆向求参数,培养逻辑推理素养.知识点一并集(一)教材梳理填空文字语言一般地,由所有属于集合A属于集合B的元素组成的集合,称为集合A与B的并集,记作(读作“”)符号语言A∪B=________________图形语言或A∪BA并B{x|x∈A,或x∈B}(二)基本知能小试1.判断正误:(1)若A,B中分别有2个元素,则A∪B中必有4个元素.()(2)若A∪B=A,B≠∅,则B中的每个元素都属于集合A.()(3)并集定义中的“或”能改为“和”.()答案:(1)×(2)√(3)×2.填表:答案:∅ABAAA∪BBB3.已知集合M={-1,0,1},N={0,1,2},则M∪N等于()A.{-1,0,1}B.{-1,0,1,2}C.{-1,0,2}D.{0,1}答案:B∪∅AB∅ABB∪A知识点二交集(一)教材梳理填空文字语言一般地,由所有属于集合A属于集合B的元素组成的集合,称为集合A与B的交集,记作(读作“______”)符号语言A∩B=________________图形语言且A∩BA交B{x|x∈A,且x∈B}[微思考]如何区别交集与并集?提示:A与B的交集是由A与B两个集合中的所有公共元素组成的,即集合A∩B中的所有元素在A中与B中都必须同时拥有.而A与B的并集是由A与B两个集合中的所有元素(重复元素只出现一次)组成的,即集合A∪B中的元素可能A与B两个集合都有,也可能A有B没有,或者A没有B有.一般地,集合A∩B比A与B两个集合的范围都小或元素都少;集合A∪B比A与B两个集合的范围都大或元素都多.当且仅当A=B时,A∩B=A∪B=A=B.(二)基本知能小试1.判断正误:(1)若A∩B=C∩B,则A=C.()(2)A∩B是由属于A且属于B的所有元素组成的集合.()(3)集合A∩B中的元素个数一定比任何一个集合的元素个数都少.()答案:(1)×(2)√(3)×2.填表:答案:∅∅∅∅A∅B∩AB∩∅AB∅AA∩BB3.设集合A={1,3,5,7},B={x|2≤x≤5},则A∩B等于()A.{1,3}B.{3,5}C.{5,7}D.{1,7}答案:B题型一并集的运算【学透用活】(1)A∪B仍是一个集合,由所有属于集合A或属于集合B的元素组成.如A={0,1},B={2},则A∪B={0,1,2}.(2)并集概念中的“或”指的是只要满足其中一个条件即可,符号语言“x∈A,或x∈B”包含三种情况:“x∈A,但x∉B”;“x...

1、当您付费下载文档后,您只拥有了使用权限,并不意味着购买了版权,文档只能用于自身使用,不得用于其他商业用途(如 [转卖]进行直接盈利或[编辑后售卖]进行间接盈利)。
2、本站所有内容均由合作方或网友上传,本站不对文档的完整性、权威性及其观点立场正确性做任何保证或承诺!文档内容仅供研究参考,付费前请自行鉴别。
3、如文档内容存在违规,或者侵犯商业秘密、侵犯著作权等,请点击“违规举报”。

碎片内容

蜗牛文库的最新文档

二年级数学下册其中检测卷二年级数学下册其中检测卷附答案#期中测试卷.pdf
10.00金币
0下载
二年级数学下册期末质检卷(苏教版)二年级数学下册期末质检卷(苏教版)#期末复习 #期末测试卷 #二年级数学 #二年级数学下册#关注我持续更新小学知识.pdf
10.00金币
0下载
二年级数学下册期末混合运算专项练习二年级数学下册期末混合运算专项练习#二年级#二年级数学下册#关注我持续更新小学知识 #知识分享 #家长收藏孩子受益.pdf
10.00金币
1下载
二年级数学下册年月日三类周期问题解题方法二年级数学下册年月日三类周期问题解题方法#二年级#二年级数学下册#知识分享 #关注我持续更新小学知识 #家长收藏孩子受益.pdf
10.00金币
0下载
二年级数学下册解决问题专项训练二年级数学下册解决问题专项训练#专项训练#解决问题#二年级#二年级数学下册#知识分享.pdf
10.00金币
1下载
二年级数学下册还原问题二年级数学下册还原问题#二年级#二年级数学#关注我持续更新小学知识 #知识分享 #家长收藏孩子受益.pdf
10.00金币
1下载
二年级数学下册第六单元考试卷家长打印出来给孩子测试测试争取拿到高分!#小学二年级试卷分享 #二年级第六单考试数学 #第六单考试#二年级数学下册.pdf
10.00金币
0下载
二年级数学下册必背顺口溜口诀汇总二年级数学下册必背顺口溜口诀汇总#二年级#二年级数学下册 #知识分享 #家长收藏孩子受益 #关注我持续更新小学知识.pdf
10.00金币
0下载
二年级数学下册《重点难点思维题》两大问题解决技巧和方法巧算星期几解决周期问题还原问题强化思维训练老师精心整理家长可以打印出来给孩子练习#家长收藏孩子受益 #学霸秘籍 #思维训练 #二年级 #知识点总结.pdf
10.00金币
0下载
二年级数学下册 必背公式大全寒假提前背一背开学更轻松#二年级 #二年级数学 #二年级数学下册 #寒假充电计划 #公式.pdf
10.00金币
0下载
蜗牛文库+ 关注
实名认证
内容提供者

提供各种专业文档内容

确认删除?
QQ
  • QQ点击这里给我发消息
微信客服
  • 微信客服
回到顶部