电脑桌面
添加蜗牛文库到电脑桌面
安装后可以在桌面快捷访问

第8章 非线性控制系统分析.pptVIP免费

第8章 非线性控制系统分析.ppt第8章 非线性控制系统分析.ppt第8章 非线性控制系统分析.ppt第8章 非线性控制系统分析.ppt第8章 非线性控制系统分析.ppt
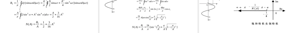
wwl@zjut.edu.cn国家精品课程自动控制原理PrinciplesofAutomaticControlPrinciplesofAutomaticControl主讲人:王万良《自动控制原理》国家精品课程网站http://210.32.200.206/zdkz/index.asp第8章非线性控制系统分析8.1典型非线性特性8.2描述函数法8.3相平面法8.4MATLAB在非线性系统分析中的应用8.1典型非线性特性弱非线性系统(光滑、连续的非线性系统)(泰勒级数展开法,非线性系统的线性化)强非线性系统(本质非线性)(描述函数法,相平面法,计算机仿真)非线性系统与线性系统的区别(1)线性系统的稳定性只取决于系统的结构和参数,或者只取决于系统特征方程根的分布,而和初始条件、外加作用没有关系。对于非线性系统,不存在系统是否稳定的笼统概念。必须具体讨论某一运动的稳定性问题。非线性系统运动的稳定性,除了和系统的结构形式及参数大小有关以外,还和初始条件有密切的关系。非线性系统与线性系统的区别(2)线性系统自由运动的形式与系统的初始偏移无关。非线性系统自由运动的时间响应曲线可以随着初始偏移不同而有多种不同的形式。非线性系统与线性系统的区别(3)线性系统在没有外作用时,周期运动只发生在临界情况,而这一周期运动在物理上不可能实现的。非线性系统,在没有外作用时,系统中完全有可能发生一定频率和振幅的稳定的周期运动,这个周期运动在物理上是可以实现的,通常把它称为自激振荡。非线性系统与线性系统的区别(4)线性系统中,当输入量是正弦信号时,输出稳态分量也是同频率的正弦函数,可以引入频率特性的概念并用它来表示系统固有的动态特性。非线性系统在正弦作用下的输出比较复杂。非线性系统与线性系统的区别(5)在线性系统中,一般可采用传递函数、频率特性、脉冲响应函数等概念。工程实际中对于存在线性工作区域的非线性系统,或者非线性不严重(光滑、连续)的准线性系统,常常采用线性化的方法进行处理,然后在线性分析的基础上加以修正。对于包括像继电特性那样根本不存在线性区的本质非线性特性,工程上常用相平面方法和描述函数方法进行研究。8.1.1饱和特性8.1.2死区特性8.1.3间隙特性8.1.4继电器特性8.2描述函数法8.2.1描述函数法的基本思想与条件8.2.2描述函数8.2.3典型非线性特性得描述函数8.2.4用描述函数分析非线性系统的自激震荡1.基本思想描述函数法的基本思想是用非线性元件的输出信号中的基波分量,代替非线性元件在正弦输入作用下的实际输出。所以这种方法又称为一次谐波法。8.2.1描...

1、当您付费下载文档后,您只拥有了使用权限,并不意味着购买了版权,文档只能用于自身使用,不得用于其他商业用途(如 [转卖]进行直接盈利或[编辑后售卖]进行间接盈利)。
2、本站所有内容均由合作方或网友上传,本站不对文档的完整性、权威性及其观点立场正确性做任何保证或承诺!文档内容仅供研究参考,付费前请自行鉴别。
3、如文档内容存在违规,或者侵犯商业秘密、侵犯著作权等,请点击“违规举报”。

碎片内容

蜗牛文库的最新文档

二年级数学下册其中检测卷二年级数学下册其中检测卷附答案#期中测试卷.pdf
10.00金币
0下载
二年级数学下册期末质检卷(苏教版)二年级数学下册期末质检卷(苏教版)#期末复习 #期末测试卷 #二年级数学 #二年级数学下册#关注我持续更新小学知识.pdf
10.00金币
0下载
二年级数学下册期末混合运算专项练习二年级数学下册期末混合运算专项练习#二年级#二年级数学下册#关注我持续更新小学知识 #知识分享 #家长收藏孩子受益.pdf
10.00金币
1下载
二年级数学下册年月日三类周期问题解题方法二年级数学下册年月日三类周期问题解题方法#二年级#二年级数学下册#知识分享 #关注我持续更新小学知识 #家长收藏孩子受益.pdf
10.00金币
0下载
二年级数学下册解决问题专项训练二年级数学下册解决问题专项训练#专项训练#解决问题#二年级#二年级数学下册#知识分享.pdf
10.00金币
1下载
二年级数学下册还原问题二年级数学下册还原问题#二年级#二年级数学#关注我持续更新小学知识 #知识分享 #家长收藏孩子受益.pdf
10.00金币
1下载
二年级数学下册第六单元考试卷家长打印出来给孩子测试测试争取拿到高分!#小学二年级试卷分享 #二年级第六单考试数学 #第六单考试#二年级数学下册.pdf
10.00金币
0下载
二年级数学下册必背顺口溜口诀汇总二年级数学下册必背顺口溜口诀汇总#二年级#二年级数学下册 #知识分享 #家长收藏孩子受益 #关注我持续更新小学知识.pdf
10.00金币
0下载
二年级数学下册《重点难点思维题》两大问题解决技巧和方法巧算星期几解决周期问题还原问题强化思维训练老师精心整理家长可以打印出来给孩子练习#家长收藏孩子受益 #学霸秘籍 #思维训练 #二年级 #知识点总结.pdf
10.00金币
0下载
二年级数学下册 必背公式大全寒假提前背一背开学更轻松#二年级 #二年级数学 #二年级数学下册 #寒假充电计划 #公式.pdf
10.00金币
0下载
蜗牛文库+ 关注
实名认证
内容提供者

提供各种专业文档内容

确认删除?
QQ
  • QQ点击这里给我发消息
微信客服
  • 微信客服
回到顶部