电脑桌面
添加蜗牛文库到电脑桌面
安装后可以在桌面快捷访问

专题九解析几何第二十七讲 双曲线答案.pdfVIP免费

专题九解析几何第二十七讲 双曲线答案.pdf_第1页
专题九解析几何第二十七讲 双曲线答案.pdf_第2页
专题九解析几何第二十七讲 双曲线答案.pdf_第3页
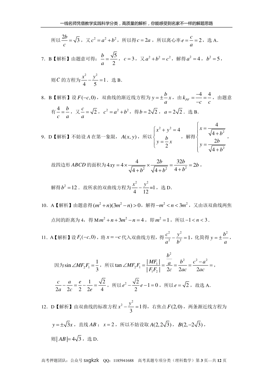
一线名师凭借教学实践科学分类,高质量的解析,你能感受到名家不一样的解题思路高考押题团队:公众号sxgkzkQQ:1185941688高考真题专项分类(理科数学)第1页—共12页专题九解析几何第二十七讲双曲线答案部分1.B【解析】由题可知双曲线的焦点在x轴上,因为222314cab,所以2c,故焦点坐标为(2,0),(2,0).故选B.2.B【解析】因为双曲线2213xy的渐近线方程为33yx,所以60MON.不妨设过点F的直线与直线33yx交于点M,由OMN为直角三角形,不妨设90OMN,则60MFO,又直线MN过点(2,0)F,所以直线MN的方程为3(2)yx,由3(2)33yxyx,得3232xy,所以33(,)22M,所以2233||()()322OM,所以||3||3MNOM.故选B.3.A【解析】解法一由题意知,3cea,所以3ca,所以222bcaa,所以2ba,所以该双曲线的渐近线方程为2byxxa,故选A.解法二由21()3cbeaa,得2ba,所以该双曲线的渐近线方程为2byxxa.故选A.4.C【解析】不妨设一条渐近线的方程为byxa,则2F到byxa的距离22||bcdbab,一线名师凭借教学实践科学分类,高质量的解析,你能感受到名家不一样的解题思路高考押题团队:公众号sxgkzkQQ:1185941688高考真题专项分类(理科数学)第2页—共12页在2RtFPO中,2||FOc,所以||POa,所以1||6PFa,又1||FOc,所以在1FPO与2RtFPO中,根据余弦定理得22212(6)coscos2acaaPOFPOFacc,即2223(6)0aca,得223ac.所以3cea.故选C.5.C【解析】通解因为直线AB经过双曲线的右焦点,所以不妨取2(,)bAca,2(,)bBca,取双曲线的一条渐近线为直线0bxay,由点到直线的距离公式可得22122||bcbbcbdcab,22222||bcbbcbdcab,因为126dd,所以226bcbbcbcc,所以26b,得3b.因为双曲线22221(0,0)xyabab的离心率为2,所以2ca,所以2224aba,所以2294aa,解得23a,所以双曲线的方程为22139xy,故选C.优解由126dd,得双曲线的右焦点到渐近线的距离为3,所以3b.因为双曲线22221(0,0)xyabab的离心率为2,所以2ca,所以2224aba,所以2294aa,解得23a,所以双曲线的方程为22139xy,故选C.6.A【解析】双曲线C的渐近线方程为0bxay,圆心(2,0)到渐近线的距离为22|20|2babdcab,圆心(2...

1、当您付费下载文档后,您只拥有了使用权限,并不意味着购买了版权,文档只能用于自身使用,不得用于其他商业用途(如 [转卖]进行直接盈利或[编辑后售卖]进行间接盈利)。
2、本站所有内容均由合作方或网友上传,本站不对文档的完整性、权威性及其观点立场正确性做任何保证或承诺!文档内容仅供研究参考,付费前请自行鉴别。
3、如文档内容存在违规,或者侵犯商业秘密、侵犯著作权等,请点击“违规举报”。

碎片内容

蜗牛文库的最新文档

二年级数学下册其中检测卷二年级数学下册其中检测卷附答案#期中测试卷.pdf
10.00金币
0下载
二年级数学下册期末质检卷(苏教版)二年级数学下册期末质检卷(苏教版)#期末复习 #期末测试卷 #二年级数学 #二年级数学下册#关注我持续更新小学知识.pdf
10.00金币
0下载
二年级数学下册期末混合运算专项练习二年级数学下册期末混合运算专项练习#二年级#二年级数学下册#关注我持续更新小学知识 #知识分享 #家长收藏孩子受益.pdf
10.00金币
1下载
二年级数学下册年月日三类周期问题解题方法二年级数学下册年月日三类周期问题解题方法#二年级#二年级数学下册#知识分享 #关注我持续更新小学知识 #家长收藏孩子受益.pdf
10.00金币
0下载
二年级数学下册解决问题专项训练二年级数学下册解决问题专项训练#专项训练#解决问题#二年级#二年级数学下册#知识分享.pdf
10.00金币
1下载
二年级数学下册还原问题二年级数学下册还原问题#二年级#二年级数学#关注我持续更新小学知识 #知识分享 #家长收藏孩子受益.pdf
10.00金币
1下载
二年级数学下册第六单元考试卷家长打印出来给孩子测试测试争取拿到高分!#小学二年级试卷分享 #二年级第六单考试数学 #第六单考试#二年级数学下册.pdf
10.00金币
0下载
二年级数学下册必背顺口溜口诀汇总二年级数学下册必背顺口溜口诀汇总#二年级#二年级数学下册 #知识分享 #家长收藏孩子受益 #关注我持续更新小学知识.pdf
10.00金币
0下载
二年级数学下册《重点难点思维题》两大问题解决技巧和方法巧算星期几解决周期问题还原问题强化思维训练老师精心整理家长可以打印出来给孩子练习#家长收藏孩子受益 #学霸秘籍 #思维训练 #二年级 #知识点总结.pdf
10.00金币
0下载
二年级数学下册 必背公式大全寒假提前背一背开学更轻松#二年级 #二年级数学 #二年级数学下册 #寒假充电计划 #公式.pdf
10.00金币
0下载
蜗牛文库+ 关注
实名认证
内容提供者

提供各种专业文档内容

确认删除?
QQ
  • QQ点击这里给我发消息
微信客服
  • 微信客服
回到顶部