电脑桌面
添加蜗牛文库到电脑桌面
安装后可以在桌面快捷访问

16.1 二次根式(第2课时).pptxVIP免费

16.1 二次根式(第2课时).pptx16.1 二次根式(第2课时).pptx16.1 二次根式(第2课时).pptx16.1 二次根式(第2课时).pptx
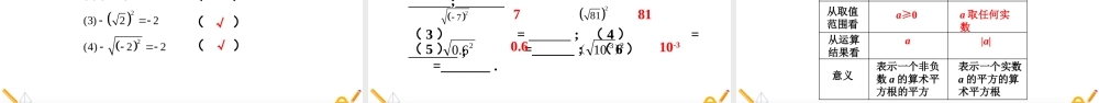
16.1二次根式/16.1二次根式(第2课时)人教版数学八年级下册16.1二次根式/【思考】下列数字谁能顺利通过下面两扇门进入客厅?14算术平方根之门平方之门0-4-1aa2()aa≥011214导入新知我们都是非负数哟!16.1二次根式/【思考】若下列数字想从客厅出来,谁能顺利通过两扇门出来呢?算术平方根之门平方之门140-4-11164111614a2a2aa为任意数【想一想】你发现了什么?导入新知我们都是非负数,可出来之前我们有正数,零和负数.16.1二次根式/2.会运用二次根式的两个性质进行化简计算.学习目标1.经历探索性质=a(a≥0)和=a(a≥0)的过程,并理解其意义,体验归纳、猜想的思想方法.2a()2a3.了解代数式的概念,进一步体会代数式在表示数量关系方面的作用.16.1二次根式/(2)什么是一个数的算术平方根?如何表示?(1)什么叫做一个数的平方根?如何表示?一般地,若一个数的平方等于a,则这个数就叫做a的平方根.若一个正数的平方等于a,则这个数就叫做a的算术平方根.a的平方根是a用(a≥0)表示.aa知识点1(a≥0)性质2a探究新知16.1二次根式/(1)填空:(2)通过(1)的计算,你能确定()²(a≥0)的化简结果吗?说说你的理由.a22222(4)(),()()1()(),(0)()34013探究新知216.1二次根式/4是4的算术平方根,根据算术平方根的意义,是一个平方等于4的非负数,因此有()²=4.4同理,分别是的算术平方根.因此,,1203,,1203,,()²=22()²=1313()²=00探究新知416.1二次根式/的性质:2()(0)aa一般地,=a(a≥0).2()a即一个非负数的算术平方根的平方等于它本身.注意:不要忽略a≥0这一限制条件.这是使二次根式有意义的前提条件.a探究新知归纳:16.1二次根式/计算:解:积的乘方:(ab)2=a2b2探究新知利用的性质进行计算2()(0)aa(1);(2).25.1)(252)((1);2..5511()(2)2222255)(()(2)可以用到幂的哪条基本性质呢?4520.考点116.1二次根式/解:巩固练习计算:27)(263)((1);(2).277()(1);2223366)(()(2)54.9616.1二次根式/解:探究新知利用的性质分解因式2()(0)aa2()0aaa≥总结:本题逆用了在实数范围内分解因式.在实数范围内分解因式:(1)4x2-5;(2)m4-6m2+9.2(2)5(25)45xxx(1);42222269(3)(3)(3)mmmmm(2).考点216.1二次根式/巩固练习在实数范围内分解因式:(1)x2-11;(2)x4-14x2+49.解:(1)x2-11=(x+)(x-);11117(2)x4-14x2+49=(x2-7)2=(x-)2(x+)...

1、当您付费下载文档后,您只拥有了使用权限,并不意味着购买了版权,文档只能用于自身使用,不得用于其他商业用途(如 [转卖]进行直接盈利或[编辑后售卖]进行间接盈利)。
2、本站所有内容均由合作方或网友上传,本站不对文档的完整性、权威性及其观点立场正确性做任何保证或承诺!文档内容仅供研究参考,付费前请自行鉴别。
3、如文档内容存在违规,或者侵犯商业秘密、侵犯著作权等,请点击“违规举报”。

碎片内容

蜗牛文库的最新文档

二年级数学下册其中检测卷二年级数学下册其中检测卷附答案#期中测试卷.pdf
10.00金币
0下载
二年级数学下册期末质检卷(苏教版)二年级数学下册期末质检卷(苏教版)#期末复习 #期末测试卷 #二年级数学 #二年级数学下册#关注我持续更新小学知识.pdf
10.00金币
0下载
二年级数学下册期末混合运算专项练习二年级数学下册期末混合运算专项练习#二年级#二年级数学下册#关注我持续更新小学知识 #知识分享 #家长收藏孩子受益.pdf
10.00金币
1下载
二年级数学下册年月日三类周期问题解题方法二年级数学下册年月日三类周期问题解题方法#二年级#二年级数学下册#知识分享 #关注我持续更新小学知识 #家长收藏孩子受益.pdf
10.00金币
0下载
二年级数学下册解决问题专项训练二年级数学下册解决问题专项训练#专项训练#解决问题#二年级#二年级数学下册#知识分享.pdf
10.00金币
1下载
二年级数学下册还原问题二年级数学下册还原问题#二年级#二年级数学#关注我持续更新小学知识 #知识分享 #家长收藏孩子受益.pdf
10.00金币
1下载
二年级数学下册第六单元考试卷家长打印出来给孩子测试测试争取拿到高分!#小学二年级试卷分享 #二年级第六单考试数学 #第六单考试#二年级数学下册.pdf
10.00金币
0下载
二年级数学下册必背顺口溜口诀汇总二年级数学下册必背顺口溜口诀汇总#二年级#二年级数学下册 #知识分享 #家长收藏孩子受益 #关注我持续更新小学知识.pdf
10.00金币
0下载
二年级数学下册《重点难点思维题》两大问题解决技巧和方法巧算星期几解决周期问题还原问题强化思维训练老师精心整理家长可以打印出来给孩子练习#家长收藏孩子受益 #学霸秘籍 #思维训练 #二年级 #知识点总结.pdf
10.00金币
0下载
二年级数学下册 必背公式大全寒假提前背一背开学更轻松#二年级 #二年级数学 #二年级数学下册 #寒假充电计划 #公式.pdf
10.00金币
0下载
蜗牛文库+ 关注
实名认证
内容提供者

提供各种专业文档内容

确认删除?
QQ
  • QQ点击这里给我发消息
微信客服
  • 微信客服
回到顶部