电脑桌面
添加蜗牛文库到电脑桌面
安装后可以在桌面快捷访问

可追踪式光伏阵列内甘草的生长与生理适应性研究_包晓英.pdfVIP免费

可追踪式光伏阵列内甘草的生长与生理适应性研究_包晓英.pdf_第1页
可追踪式光伏阵列内甘草的生长与生理适应性研究_包晓英.pdf_第2页
可追踪式光伏阵列内甘草的生长与生理适应性研究_包晓英.pdf_第3页
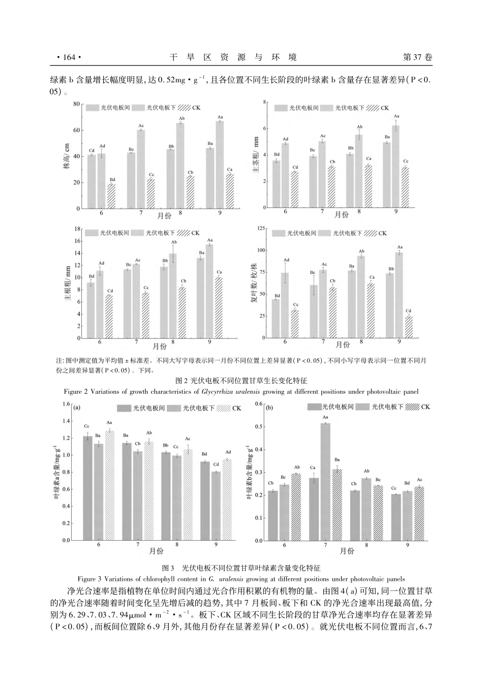
第37卷第8期干旱区资源与环境Vol.37No.82023年8月JournalofAridLandResourcesandEnvironmentAug.2023文章编号:1003-7578(2023)08-162-07doi:10.13448/j.cnki.jalre.2023.197可追踪式光伏阵列内甘草的生长与生理适应性研究*包晓英1,党梦娇1,钟鑫鑫2,任昱3,祁帅1,高永1,4,5(1.内蒙古农业大学沙漠治理学院,呼和浩特010018;2.国网内蒙古东部电力有限公司,呼和浩特010018;3.鄂尔多斯生态环境职业学院,鄂尔多斯017010;4.内蒙古杭锦荒漠生态系统国家定位观测研究站,呼和浩特010018;5.内蒙古自治区风沙物理与防沙治沙工程重点实验室,呼和浩特010018)提要:以乌拉尔甘草作为供试品种,研究库布齐沙漠可追踪式光伏阵列内不同位置甘草生长特性、叶绿素含量、净光合速率以及可溶性糖含量等生理指标特征,为可追踪式光伏电站内实现林光互补的绿色产业提供理论支撑。结果表明:与对照组相比,光伏板下、板间甘草株高、主根粗、主茎粗、复叶数均表现出显著差异;生长旺季板间、板下甘草通过增加叶绿素含量来适应环境变化;对于光伏电板不同位置环境的变化,甘草能够通过改变体内可溶性糖、可溶性蛋白等物质含量来适应环境。由此可见,甘草可以通过改变生长特征和生理特性来适应光伏电站内的环境变化。关键词:光伏电站;甘草;生理特性;生长状况;库布齐沙漠中图分类号:S311文献标识码:A近年来,我国光伏产业得到了快速发展。尤其,林光互补复合生态综合治理成为了一种光伏治沙创新模式[1]。在沙漠地区建立光伏电站,可以对土地、阳光等资源进行合理和高效利用,既可以提高太阳能清洁、可再生的发电能力[2],也可以利用光伏电板降温、增湿的优点,发展光伏电板下的种植模式,实现土地的增产增效,获得巨大的经济效益和社会效益[3-4]。与此同时光伏电板的大规模开发也会对地表产生不同程度的破坏[5],光伏电站对一定范围的温度、湿度、降水、太阳辐射以及土壤、植被[6-10]等生态环境要素带来的影响引起人们的广泛关注。如赵鹏宇等[11]对乌兰布和沙漠东北缘光伏电站内外的空气温度与湿度进行测定;王颖等[12]对光伏阵列覆盖区和不同缓冲区范围内的土壤水分进行了分析;翟波等[13]分析了光伏电站内植被群落的稳定性;通旭芳等[14]主要研究了光伏电板对沙打旺生理特征的影响。综上可知大量学者研究证明了光伏电板会对局部气候、土壤、植被等产生影响。甘草(Glycyrrhizauralensis)属于多年生草本植物,主要分布在西北干旱半干旱...

1、当您付费下载文档后,您只拥有了使用权限,并不意味着购买了版权,文档只能用于自身使用,不得用于其他商业用途(如 [转卖]进行直接盈利或[编辑后售卖]进行间接盈利)。
2、本站所有内容均由合作方或网友上传,本站不对文档的完整性、权威性及其观点立场正确性做任何保证或承诺!文档内容仅供研究参考,付费前请自行鉴别。
3、如文档内容存在违规,或者侵犯商业秘密、侵犯著作权等,请点击“违规举报”。

碎片内容

蜗牛文库的最新文档

二年级数学下册其中检测卷二年级数学下册其中检测卷附答案#期中测试卷.pdf
10.00金币
0下载
二年级数学下册期末质检卷(苏教版)二年级数学下册期末质检卷(苏教版)#期末复习 #期末测试卷 #二年级数学 #二年级数学下册#关注我持续更新小学知识.pdf
10.00金币
0下载
二年级数学下册期末混合运算专项练习二年级数学下册期末混合运算专项练习#二年级#二年级数学下册#关注我持续更新小学知识 #知识分享 #家长收藏孩子受益.pdf
10.00金币
1下载
二年级数学下册年月日三类周期问题解题方法二年级数学下册年月日三类周期问题解题方法#二年级#二年级数学下册#知识分享 #关注我持续更新小学知识 #家长收藏孩子受益.pdf
10.00金币
0下载
二年级数学下册解决问题专项训练二年级数学下册解决问题专项训练#专项训练#解决问题#二年级#二年级数学下册#知识分享.pdf
10.00金币
1下载
二年级数学下册还原问题二年级数学下册还原问题#二年级#二年级数学#关注我持续更新小学知识 #知识分享 #家长收藏孩子受益.pdf
10.00金币
1下载
二年级数学下册第六单元考试卷家长打印出来给孩子测试测试争取拿到高分!#小学二年级试卷分享 #二年级第六单考试数学 #第六单考试#二年级数学下册.pdf
10.00金币
0下载
二年级数学下册必背顺口溜口诀汇总二年级数学下册必背顺口溜口诀汇总#二年级#二年级数学下册 #知识分享 #家长收藏孩子受益 #关注我持续更新小学知识.pdf
10.00金币
0下载
二年级数学下册《重点难点思维题》两大问题解决技巧和方法巧算星期几解决周期问题还原问题强化思维训练老师精心整理家长可以打印出来给孩子练习#家长收藏孩子受益 #学霸秘籍 #思维训练 #二年级 #知识点总结.pdf
10.00金币
0下载
二年级数学下册 必背公式大全寒假提前背一背开学更轻松#二年级 #二年级数学 #二年级数学下册 #寒假充电计划 #公式.pdf
10.00金币
0下载
蜗牛文库+ 关注
实名认证
内容提供者

提供各种专业文档内容

确认删除?
QQ
  • QQ点击这里给我发消息
微信客服
  • 微信客服
回到顶部