电脑桌面
添加蜗牛文库到电脑桌面
安装后可以在桌面快捷访问

大学高等数学上册期末复习模拟试卷含答案.docxVIP免费

大学高等数学上册期末复习模拟试卷含答案.docx_第1页
大学高等数学上册期末复习模拟试卷含答案.docx_第2页
大学高等数学上册期末复习模拟试卷含答案.docx_第3页
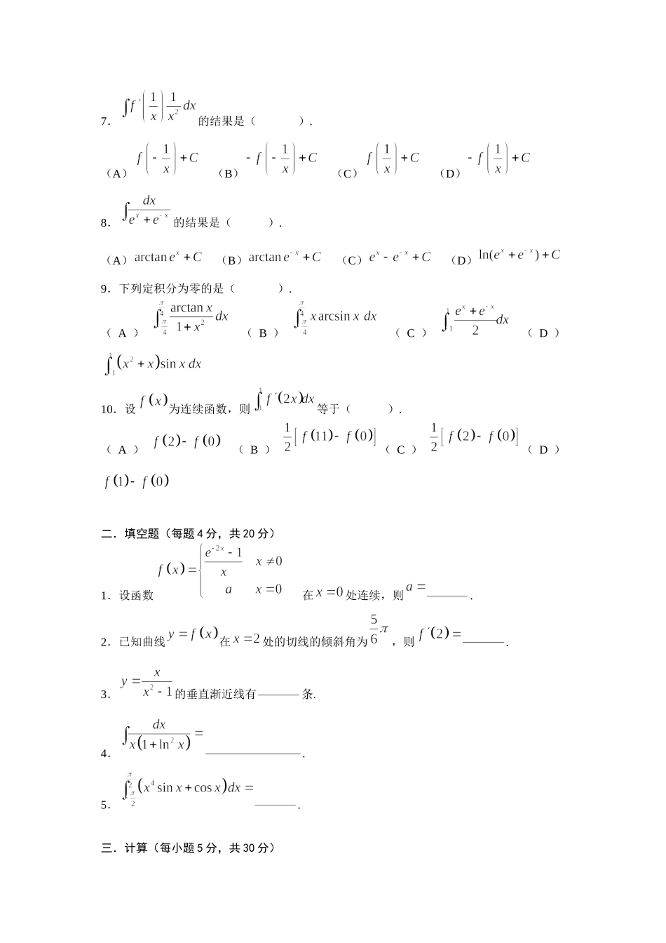
高等数学上册期末复习模拟试卷含答案班别_______姓名_________成绩___________要求:1、本卷考试形式为闭卷,考试时间为1.5小时。2、考生不得将装订成册的试卷拆散,不得将试卷或答题卡带出考场。3、考生只允许在密封线以外答题,答在密封线以内的将不予评分。4、考生答题时一律使用蓝色、黑色钢笔或圆珠笔(制图、制表等除外)。5、考生禁止携带手机、耳麦等通讯器材。否则,视为为作弊。6、不可以使用普通计算器等计算工具。一.选择题(将答案代号填入括号内,每题3分,共30分).1.下列各组函数中,是相同的函数的是().(A)(B)和(C)和(D)和12.函数在处连续,则().(A)0(B)(C)1(D)23.曲线的平行于直线的切线方程为().(A)(B)(C)(D)4.设函数,则函数在点处().(A)连续且可导(B)连续且可微(C)连续不可导(D)不连续不可微5.点是函数的().(A)驻点但非极值点(B)拐点(C)驻点且是拐点(D)驻点且是极值点6.曲线的渐近线情况是().(A)只有水平渐近线(B)只有垂直渐近线(C)既有水平渐近线又有垂直渐近线(D)既无水平渐近线又无垂直渐近线7.的结果是().(A)(B)(C)(D)8.的结果是().(A)(B)(C)(D)9.下列定积分为零的是().(A)(B)(C)(D)10.设为连续函数,则等于().(A)(B)(C)(D)二.填空题(每题4分,共20分)1.设函数在处连续,则.2.已知曲线在处的切线的倾斜角为,则.3.的垂直渐近线有条.4..5..三.计算(每小题5分,共30分)1.求极限①②2.求曲线所确定的隐函数的导数.3.求不定积分①②③四.应用题(每题10分,共20分)1.作出函数的图像.2.求曲线和直线所围图形的面积.《高数》试卷参考答案一.选择题1.B2.B3.A4.C5.D6.C7.D8.A9.A10.C二.填空题1.2.3.24.5.2三.计算题1①②2.3.①②③四.应用题1.略2.

1、当您付费下载文档后,您只拥有了使用权限,并不意味着购买了版权,文档只能用于自身使用,不得用于其他商业用途(如 [转卖]进行直接盈利或[编辑后售卖]进行间接盈利)。
2、本站所有内容均由合作方或网友上传,本站不对文档的完整性、权威性及其观点立场正确性做任何保证或承诺!文档内容仅供研究参考,付费前请自行鉴别。
3、如文档内容存在违规,或者侵犯商业秘密、侵犯著作权等,请点击“违规举报”。

碎片内容

蜗牛文库的最新文档

二年级数学下册其中检测卷二年级数学下册其中检测卷附答案#期中测试卷.pdf
10.00金币
0下载
二年级数学下册期末质检卷(苏教版)二年级数学下册期末质检卷(苏教版)#期末复习 #期末测试卷 #二年级数学 #二年级数学下册#关注我持续更新小学知识.pdf
10.00金币
0下载
二年级数学下册期末混合运算专项练习二年级数学下册期末混合运算专项练习#二年级#二年级数学下册#关注我持续更新小学知识 #知识分享 #家长收藏孩子受益.pdf
10.00金币
1下载
二年级数学下册年月日三类周期问题解题方法二年级数学下册年月日三类周期问题解题方法#二年级#二年级数学下册#知识分享 #关注我持续更新小学知识 #家长收藏孩子受益.pdf
10.00金币
0下载
二年级数学下册解决问题专项训练二年级数学下册解决问题专项训练#专项训练#解决问题#二年级#二年级数学下册#知识分享.pdf
10.00金币
1下载
二年级数学下册还原问题二年级数学下册还原问题#二年级#二年级数学#关注我持续更新小学知识 #知识分享 #家长收藏孩子受益.pdf
10.00金币
1下载
二年级数学下册第六单元考试卷家长打印出来给孩子测试测试争取拿到高分!#小学二年级试卷分享 #二年级第六单考试数学 #第六单考试#二年级数学下册.pdf
10.00金币
0下载
二年级数学下册必背顺口溜口诀汇总二年级数学下册必背顺口溜口诀汇总#二年级#二年级数学下册 #知识分享 #家长收藏孩子受益 #关注我持续更新小学知识.pdf
10.00金币
0下载
二年级数学下册《重点难点思维题》两大问题解决技巧和方法巧算星期几解决周期问题还原问题强化思维训练老师精心整理家长可以打印出来给孩子练习#家长收藏孩子受益 #学霸秘籍 #思维训练 #二年级 #知识点总结.pdf
10.00金币
0下载
二年级数学下册 必背公式大全寒假提前背一背开学更轻松#二年级 #二年级数学 #二年级数学下册 #寒假充电计划 #公式.pdf
10.00金币
0下载
蜗牛文库+ 关注
实名认证
内容提供者

提供各种专业文档内容

确认删除?
QQ
  • QQ点击这里给我发消息
微信客服
  • 微信客服
回到顶部