电脑桌面
添加蜗牛文库到电脑桌面
安装后可以在桌面快捷访问

2002年数学三真题答案解析.pdfVIP免费

2002年数学三真题答案解析.pdf_第1页
2002年数学三真题答案解析.pdf_第2页
2002年数学三真题答案解析.pdf_第3页
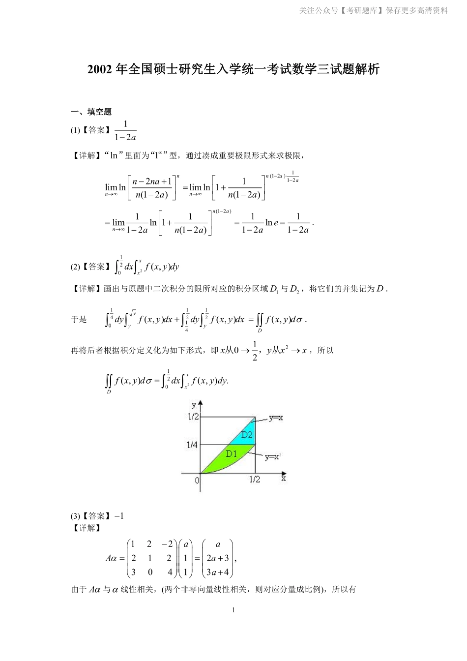
12002年全国硕士研究生入学统一考试数学三试题解析一、填空题(1)【答案】112a【详解】ln“”里面为1“”型,通过凑成重要极限形式来求极限,1(12)12211limlnlimln1(12)(12)nnaannnnanana(12)11limln112(12)nanana11ln1212eaa.(2)【答案】2120(,)xxdxfxydy【详解】画出与原题中二次积分的限所对应的积分区域1D与2D,将它们的并集记为D.于是111422104(,)(,)yyydyfxydxdyfxydx(,)Dfxyd.再将后者根据积分定义化为如下形式,即2102xyxx从,从,所以2120(,)(,).xxDfxyddxfxydy(3)【答案】1【详解】122212123,304134aaAaa由于A与线性相关,(两个非零向量线性相关,则对应分量成比例),所以有关注公众号【考研题库】保存更多高清资料2233411aaaa,得2334,1.aaa或,(0)Akk(两个非零向量线性相关,则其中一个可以由另一个线性表出)即231341aaaka,得2334akaakak,得1.(1)ak(4)【答案】0.02.【详解】2X、2Y和2X2Y都是01分布,而01分布的期望值恰为取1时的概率p.由离散型随机变量X和Y的联合概率分布表可得2X的可能取值为0和1,且2Y的可能取值也为0和1,且X和Y的边缘分布为00.070.180.150.4PX;10.080.320.200.6PX;10.070.080.15PY;00.180.320.5PY;10.150.200.35PY;故有X010.40.6Y1010.150.50.35220,00,00.18,PXYPXY220,10,10,10.070.150.22,PXYPXYPXY221,01,00.32,PXYPXY221,11,11,10.080.200.28,PXYPXYPXY而边缘分布律:2000.4PXPX,2110.6PXPX,2000.5PYPY,21110.150.350.5PYPYPY所以,22(,)XY的联合分布及其边缘分布为关注公众号【考研题库】保存更多高清资料32Y2X0100.180.220.4010.320.280.600.500.501由上表同理可求得22XY的分布律为22XY01P0.720.28所以由01分布的期望值恰为取1时的概率p得到:2222222222()0.5()0.60,(0.28...

1、当您付费下载文档后,您只拥有了使用权限,并不意味着购买了版权,文档只能用于自身使用,不得用于其他商业用途(如 [转卖]进行直接盈利或[编辑后售卖]进行间接盈利)。
2、本站所有内容均由合作方或网友上传,本站不对文档的完整性、权威性及其观点立场正确性做任何保证或承诺!文档内容仅供研究参考,付费前请自行鉴别。
3、如文档内容存在违规,或者侵犯商业秘密、侵犯著作权等,请点击“违规举报”。

碎片内容

蜗牛文库的最新文档

二年级数学下册其中检测卷二年级数学下册其中检测卷附答案#期中测试卷.pdf
10.00金币
0下载
二年级数学下册期末质检卷(苏教版)二年级数学下册期末质检卷(苏教版)#期末复习 #期末测试卷 #二年级数学 #二年级数学下册#关注我持续更新小学知识.pdf
10.00金币
0下载
二年级数学下册期末混合运算专项练习二年级数学下册期末混合运算专项练习#二年级#二年级数学下册#关注我持续更新小学知识 #知识分享 #家长收藏孩子受益.pdf
10.00金币
1下载
二年级数学下册年月日三类周期问题解题方法二年级数学下册年月日三类周期问题解题方法#二年级#二年级数学下册#知识分享 #关注我持续更新小学知识 #家长收藏孩子受益.pdf
10.00金币
0下载
二年级数学下册解决问题专项训练二年级数学下册解决问题专项训练#专项训练#解决问题#二年级#二年级数学下册#知识分享.pdf
10.00金币
1下载
二年级数学下册还原问题二年级数学下册还原问题#二年级#二年级数学#关注我持续更新小学知识 #知识分享 #家长收藏孩子受益.pdf
10.00金币
1下载
二年级数学下册第六单元考试卷家长打印出来给孩子测试测试争取拿到高分!#小学二年级试卷分享 #二年级第六单考试数学 #第六单考试#二年级数学下册.pdf
10.00金币
0下载
二年级数学下册必背顺口溜口诀汇总二年级数学下册必背顺口溜口诀汇总#二年级#二年级数学下册 #知识分享 #家长收藏孩子受益 #关注我持续更新小学知识.pdf
10.00金币
0下载
二年级数学下册《重点难点思维题》两大问题解决技巧和方法巧算星期几解决周期问题还原问题强化思维训练老师精心整理家长可以打印出来给孩子练习#家长收藏孩子受益 #学霸秘籍 #思维训练 #二年级 #知识点总结.pdf
10.00金币
0下载
二年级数学下册 必背公式大全寒假提前背一背开学更轻松#二年级 #二年级数学 #二年级数学下册 #寒假充电计划 #公式.pdf
10.00金币
0下载
蜗牛文库+ 关注
实名认证
内容提供者

提供各种专业文档内容

确认删除?
QQ
  • QQ点击这里给我发消息
微信客服
  • 微信客服
回到顶部