电脑桌面
添加蜗牛文库到电脑桌面
安装后可以在桌面快捷访问

进气温度对于矿用防爆柴油机排放性能的影响研究.pdfVIP免费

进气温度对于矿用防爆柴油机排放性能的影响研究.pdf_第1页
进气温度对于矿用防爆柴油机排放性能的影响研究.pdf_第2页
进气温度对于矿用防爆柴油机排放性能的影响研究.pdf_第3页
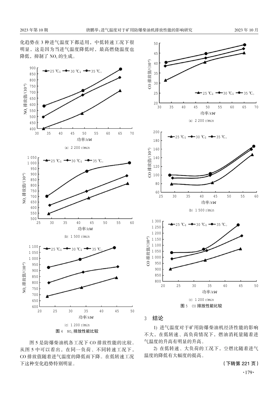
2023年第10期2023年10月近年世界各国相继推出日益严格的排放法规来控制矿用防爆柴油机对于大气的污染[1]。其中进气温度对于矿用防爆柴油机的燃烧过程及排放性能有显著的影响[2-4]。本文以一台矿用防爆柴油机为试验样机,对进气温度对该样机排放性能的影响进行了研究。1试验装置及测量系统1.1样机参数及试验现场设备试验样机为一4缸矿用防爆柴油机,主要技术参数:总排量为4.3L,缸径105mm,行程为125mm,标定功率/标定转速为65kW/2200r/min,最大扭矩/最大扭矩转速为370N·m/1500r/min。主要试验设备为凯迈(洛阳)机电有限公司生产的120kW电力测功机,AVL公司生产的AMAi60SⅡ汽车排气分析仪,AVL公司生产的733S油耗仪,上海同圆发动机测试设备有限公司生产的Toceil-20N150热式气体流量计及进气空调。1.2测量系统及原理测量全程由计算机进行控制,如图1所示。试验时,计算机记录所需数据(进气温度、进气压力、空气流量、燃油消耗量、转速、扭矩等),同时气体分析仪采集排放数据。图1控制及测量系统1.3试验方案本试验通过进气空调设定进气温度,将进气温度分别控制为25℃,30℃,35℃,进气湿度设定为45%。在9个工况点(转速为2200r/min,1500r/min,1200r/min,负荷为100%,75%,50%)下进行试验,测试该样机的排放性能,采集各工况下的燃油消耗量、空气消耗量、CO排放值、NOx排放值等数据。收稿日期:2023-02-01作者简介:唐鹏举,1997年生,男,重庆人,助理工程师,主要从事矿用防爆柴油机排放性能和防爆安全性能的研究。进气温度对于矿用防爆柴油机排放性能的影响研究唐鹏举1,2(1.中国煤炭科工集团太原研究院有限公司,山西太原030032;2.太原煤科检测技术有限公司,山西太原030032)摘要:为了研究进气温度对于矿用防爆柴油机排放性能的影响袁进行了3次防爆柴油机台架试验遥3次进气温度分别为25益袁30益袁35益袁3次温度由进气空调设定遥在9个工况点渊转速分别为2200r/min袁1500r/min袁1200r/min袁负荷分别为100%袁75%袁50%冤下进行试验遥试验结果表明袁矿用防爆柴油机的CO袁NOx排放性能随着进气温度的降低都得到了改善遥关键词:矿用防爆柴油机曰进气温度曰尾气分析曰排放性能中图分类号:TK421+.5文献标志码:A文章编号:2095-0802-(2023)10-0177-03EffectofIntakeAirTemperatureonEmissionPerformanceofMineExplosion-proofDieselEngineTANGPengju1,2(1.TaiyuanResearchInstituteCo.,Ltd.,ChinaCoalTechnology驭EngineeringGroup,Taiyua...

1、当您付费下载文档后,您只拥有了使用权限,并不意味着购买了版权,文档只能用于自身使用,不得用于其他商业用途(如 [转卖]进行直接盈利或[编辑后售卖]进行间接盈利)。
2、本站所有内容均由合作方或网友上传,本站不对文档的完整性、权威性及其观点立场正确性做任何保证或承诺!文档内容仅供研究参考,付费前请自行鉴别。
3、如文档内容存在违规,或者侵犯商业秘密、侵犯著作权等,请点击“违规举报”。

碎片内容

蜗牛文库的最新文档

二年级数学下册其中检测卷二年级数学下册其中检测卷附答案#期中测试卷.pdf
10.00金币
0下载
二年级数学下册期末质检卷(苏教版)二年级数学下册期末质检卷(苏教版)#期末复习 #期末测试卷 #二年级数学 #二年级数学下册#关注我持续更新小学知识.pdf
10.00金币
0下载
二年级数学下册期末混合运算专项练习二年级数学下册期末混合运算专项练习#二年级#二年级数学下册#关注我持续更新小学知识 #知识分享 #家长收藏孩子受益.pdf
10.00金币
1下载
二年级数学下册年月日三类周期问题解题方法二年级数学下册年月日三类周期问题解题方法#二年级#二年级数学下册#知识分享 #关注我持续更新小学知识 #家长收藏孩子受益.pdf
10.00金币
0下载
二年级数学下册解决问题专项训练二年级数学下册解决问题专项训练#专项训练#解决问题#二年级#二年级数学下册#知识分享.pdf
10.00金币
1下载
二年级数学下册还原问题二年级数学下册还原问题#二年级#二年级数学#关注我持续更新小学知识 #知识分享 #家长收藏孩子受益.pdf
10.00金币
1下载
二年级数学下册第六单元考试卷家长打印出来给孩子测试测试争取拿到高分!#小学二年级试卷分享 #二年级第六单考试数学 #第六单考试#二年级数学下册.pdf
10.00金币
0下载
二年级数学下册必背顺口溜口诀汇总二年级数学下册必背顺口溜口诀汇总#二年级#二年级数学下册 #知识分享 #家长收藏孩子受益 #关注我持续更新小学知识.pdf
10.00金币
0下载
二年级数学下册《重点难点思维题》两大问题解决技巧和方法巧算星期几解决周期问题还原问题强化思维训练老师精心整理家长可以打印出来给孩子练习#家长收藏孩子受益 #学霸秘籍 #思维训练 #二年级 #知识点总结.pdf
10.00金币
0下载
二年级数学下册 必背公式大全寒假提前背一背开学更轻松#二年级 #二年级数学 #二年级数学下册 #寒假充电计划 #公式.pdf
10.00金币
0下载
蜗牛文库+ 关注
实名认证
内容提供者

提供各种专业文档内容

确认删除?
QQ
  • QQ点击这里给我发消息
微信客服
  • 微信客服
回到顶部