电脑桌面
添加蜗牛文库到电脑桌面
安装后可以在桌面快捷访问

(小吴学长讲课笔记)7-2 定积分(作业答案).pdfVIP免费

(小吴学长讲课笔记)7-2 定积分(作业答案).pdf_第1页
(小吴学长讲课笔记)7-2 定积分(作业答案).pdf_第2页
(小吴学长讲课笔记)7-2 定积分(作业答案).pdf_第3页
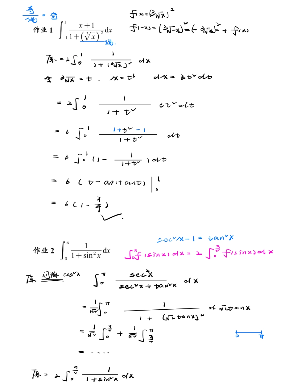
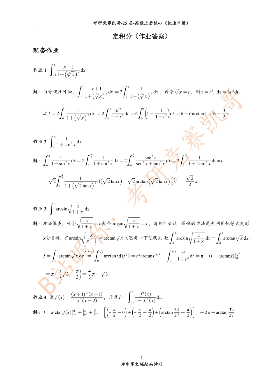
考研竞赛凯哥-25届-高数上册核心(快速串讲)1为中华之崛起而读书定积分(作业答案)配套作业作业1解:由奇偶性可知,,再令,则.故.作业2解:作业3解:方法很多,可令或令,请自行尝试.最快的方法是先利用恒等式变形.时,有(思考一下证明),故.作业4设,计算.解:考研竞赛凯哥-25届-高数上册核心(快速串讲)2为中华之崛起而读书作业5(2008年)解:作业6解:.作业7设连续,,求.解:,故只需要计算即可..其中介于和之间,也趋近于0.由于连续,且,则,综上,原式=.⼆hi⼼意iiù⼆Soxidx___ˊ⼀⼆奇fix3T2f1_x3JEt了三fix偶原⼆2Sòisrdㄨ亽3dxtxt3dx3tˇdt2fiu3tˇt6SiiEat6S1it'tidt6tarltantl61⼀平secrx1tanˇxSófisinxdx2fifisinxsdx四除005fōse然⽂华tanvxdㄨifiditanxgzdditanxisi.is芑六⼆⼀原2fsinixdxsecˇx2fisenttanˇㄨdㄨ1⼆IfcjrtanxgrdiitanxTz.arita.nlTvtani这⼆五iOTTSixlnxdxfilnㄨdㄨˇEEEfiInitdt.iii.IEˇxiiǐ__ˇ令⼩华txEÈ原⼆foiarusint.d.EEaresintEirfóEĚ⼩tdti.itsiia⼆T⼀f_Ěidt令tsi_nngoiiosiun.iosuduTf3tanruduStanˇxdㄨfSiㄨdXSiǒg5⽘dxfsecˇxlsdXtanx_xLTtanuu⼦⼆T⼀T3334万53taurx原tanx_x1i3If_iff其中Sfdfixantan'iiiiiio⼼iiantnniiiiiIantan'iiiiǜ02180Iantaniiii.in802i0⼀三⼀三antanii2Tantanii⼩_xidxi.irdix之⼀义diㄨ2之dln_ㄨˇ令xsintdXcostdt原fisitt.nostatft.sintdt_fitᵗatSitei_ivosztidt⼆filititiosvtsdtitr.iif.it.cositati⼀ift.cositat分部积分春梧优品_isinvtinosrt.ESinrt本cositioiitsinrtt'cosit1iic本ˋ⼆in本eriin.fixfǒfixtidtxEEfifinsdufoxfinidugotfixtsdtetufiix.usfinduxfifinidufoufn.at原iimóxfoxfinsctuxfofiuidufoxufinidu.FIinnfifluiduxfixxsoSoxfluidn1txlimóxfixSofiniduc未只分中值定理fǎfixidxf5ba9介于简1hinoxfixfisx去介于x0之间⼆11infiii1f2

1、当您付费下载文档后,您只拥有了使用权限,并不意味着购买了版权,文档只能用于自身使用,不得用于其他商业用途(如 [转卖]进行直接盈利或[编辑后售卖]进行间接盈利)。
2、本站所有内容均由合作方或网友上传,本站不对文档的完整性、权威性及其观点立场正确性做任何保证或承诺!文档内容仅供研究参考,付费前请自行鉴别。
3、如文档内容存在违规,或者侵犯商业秘密、侵犯著作权等,请点击“违规举报”。

碎片内容

蜗牛文库的最新文档

二年级数学下册其中检测卷二年级数学下册其中检测卷附答案#期中测试卷.pdf
10.00金币
0下载
二年级数学下册期末质检卷(苏教版)二年级数学下册期末质检卷(苏教版)#期末复习 #期末测试卷 #二年级数学 #二年级数学下册#关注我持续更新小学知识.pdf
10.00金币
0下载
二年级数学下册期末混合运算专项练习二年级数学下册期末混合运算专项练习#二年级#二年级数学下册#关注我持续更新小学知识 #知识分享 #家长收藏孩子受益.pdf
10.00金币
1下载
二年级数学下册年月日三类周期问题解题方法二年级数学下册年月日三类周期问题解题方法#二年级#二年级数学下册#知识分享 #关注我持续更新小学知识 #家长收藏孩子受益.pdf
10.00金币
0下载
二年级数学下册解决问题专项训练二年级数学下册解决问题专项训练#专项训练#解决问题#二年级#二年级数学下册#知识分享.pdf
10.00金币
1下载
二年级数学下册还原问题二年级数学下册还原问题#二年级#二年级数学#关注我持续更新小学知识 #知识分享 #家长收藏孩子受益.pdf
10.00金币
1下载
二年级数学下册第六单元考试卷家长打印出来给孩子测试测试争取拿到高分!#小学二年级试卷分享 #二年级第六单考试数学 #第六单考试#二年级数学下册.pdf
10.00金币
0下载
二年级数学下册必背顺口溜口诀汇总二年级数学下册必背顺口溜口诀汇总#二年级#二年级数学下册 #知识分享 #家长收藏孩子受益 #关注我持续更新小学知识.pdf
10.00金币
0下载
二年级数学下册《重点难点思维题》两大问题解决技巧和方法巧算星期几解决周期问题还原问题强化思维训练老师精心整理家长可以打印出来给孩子练习#家长收藏孩子受益 #学霸秘籍 #思维训练 #二年级 #知识点总结.pdf
10.00金币
0下载
二年级数学下册 必背公式大全寒假提前背一背开学更轻松#二年级 #二年级数学 #二年级数学下册 #寒假充电计划 #公式.pdf
10.00金币
0下载
蜗牛文库+ 关注
实名认证
内容提供者

提供各种专业文档内容

确认删除?
QQ
  • QQ点击这里给我发消息
微信客服
  • 微信客服
回到顶部