电脑桌面
添加蜗牛文库到电脑桌面
安装后可以在桌面快捷访问

自动化车床管理的数学模型.pdfVIP免费

自动化车床管理的数学模型.pdf_第1页
自动化车床管理的数学模型.pdf_第2页
自动化车床管理的数学模型.pdf_第3页
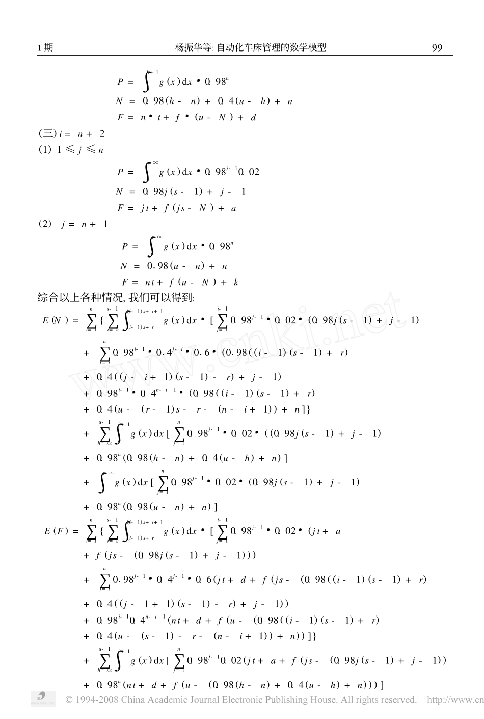
第30卷第1期2000年1月数学的实践与认识MATHEMATICSINPRACTICEANDTHEORYVol130No11Jan.2000数学建模自动化车床管理的数学模型杨振华,邱中华(南京邮电学院应用数理系,南京210003)摘要:本文针对1999年全国大学生数学建模竞赛A题——自动化车床管理问题的问题(2),建立了完整的数学模型,并给出了该数学模型的解.1模型假设收稿日期:1999211220我们先考虑只有刀具故障的情况.11刀具故障的发生满足正态分布N(Λ,Ρ2),其中Λ=60010,Ρ=1951644(若取无偏估计Ρ=196163,对建模无本质影响,仅是计算结果有微小偏差).密度函数为g(x)=12ΠΡexp-x-Λ22Ρ2.除刀具故障外,无其它故障.21每生产s个零件检查一次,一旦检查到不合格品则换刀.至多生产u个零件后更换刀具.31不合格零件损失费用f=200元�件,检查费用t=10元�次,故障调节费用d=3000元�次,误判停机费用a=1500元�次,正常更换刀具费用k=1000元�次.在上述假设条件下,最多检查次数为n=u-1s.2数学模型minF(s,u)=E(F)E(N)其中E(F)为各种费用之和的期望值,E(N)为零件合格品数目的期望值.E(F)=∑m∈MF(m)P(m),E(N)=∑m∈MN(m)P(m).其中,M为事件的各种可能情况组成的集合.下面,我们遍历刀具故障出现与第一次检查出不合格品这两个事件发生的所有情况来计算E(F)与E(N).设刀具故障发生在第i-1次检查与第i次检查之间(1≤i≤n+2),(i=n+1表示刀具故障出在第n次检查之后,生产u个零件之前;i=n+2表示刀具出现在生产u个零件之后).设第一次查出不合格品出现在第j次检查中(前j-1次检查均合格)(1≤j≤n+1),(j=n+1表示n次检查均为合格品).刀具故障出现与第一次检查出不合格品这两个事件的发生可分为以下几种情形:(一)1≤i≤n:(1)1≤j≤i-1;(2)i≤j≤n;(3)j=n+1(二)i=n+1:(1)1≤j≤n;(2)j=n+1;(三)i=n+2:(1)1≤j≤n;(2)j=n+1;下面我们就根据这几种情形来计算E(F)与E(N).(一)1≤i≤n,我们将故障发生的区间[(i-1)s,is)分成s个小区间:[(i-1)s+r,(i-1)s+r+1)(r=0,1,⋯,s-1)](1)1≤j≤i-1事件发生的概率:前j-1次检查均为合格品,概率为0198j-1,第j次检查为不合格品,概率为0102,因此,事件发生的概率为:P=∫(i-1)s+r+1(i-1)s+rg(x)dx�0.98j-1�0.02.零件合格品数:j次检查中,j-1个为合格品,1个为不合格品,还有j(s-1)个零件构成成功概率为0198的j(s-1)重贝努里试验,合格品数的期望为0198j(s-1).因此:N=j(s-1)0198+j-1.注这里对零件合格品的概率理解为:除去已确定为合格或不合格的零件,别的零件的合格品的概率为98%.另外还有一种理解,即不论检...

1、当您付费下载文档后,您只拥有了使用权限,并不意味着购买了版权,文档只能用于自身使用,不得用于其他商业用途(如 [转卖]进行直接盈利或[编辑后售卖]进行间接盈利)。
2、本站所有内容均由合作方或网友上传,本站不对文档的完整性、权威性及其观点立场正确性做任何保证或承诺!文档内容仅供研究参考,付费前请自行鉴别。
3、如文档内容存在违规,或者侵犯商业秘密、侵犯著作权等,请点击“违规举报”。

碎片内容

蜗牛文库的最新文档

二年级数学下册其中检测卷二年级数学下册其中检测卷附答案#期中测试卷.pdf
10.00金币
0下载
二年级数学下册期末质检卷(苏教版)二年级数学下册期末质检卷(苏教版)#期末复习 #期末测试卷 #二年级数学 #二年级数学下册#关注我持续更新小学知识.pdf
10.00金币
0下载
二年级数学下册期末混合运算专项练习二年级数学下册期末混合运算专项练习#二年级#二年级数学下册#关注我持续更新小学知识 #知识分享 #家长收藏孩子受益.pdf
10.00金币
1下载
二年级数学下册年月日三类周期问题解题方法二年级数学下册年月日三类周期问题解题方法#二年级#二年级数学下册#知识分享 #关注我持续更新小学知识 #家长收藏孩子受益.pdf
10.00金币
0下载
二年级数学下册解决问题专项训练二年级数学下册解决问题专项训练#专项训练#解决问题#二年级#二年级数学下册#知识分享.pdf
10.00金币
1下载
二年级数学下册还原问题二年级数学下册还原问题#二年级#二年级数学#关注我持续更新小学知识 #知识分享 #家长收藏孩子受益.pdf
10.00金币
1下载
二年级数学下册第六单元考试卷家长打印出来给孩子测试测试争取拿到高分!#小学二年级试卷分享 #二年级第六单考试数学 #第六单考试#二年级数学下册.pdf
10.00金币
0下载
二年级数学下册必背顺口溜口诀汇总二年级数学下册必背顺口溜口诀汇总#二年级#二年级数学下册 #知识分享 #家长收藏孩子受益 #关注我持续更新小学知识.pdf
10.00金币
0下载
二年级数学下册《重点难点思维题》两大问题解决技巧和方法巧算星期几解决周期问题还原问题强化思维训练老师精心整理家长可以打印出来给孩子练习#家长收藏孩子受益 #学霸秘籍 #思维训练 #二年级 #知识点总结.pdf
10.00金币
0下载
二年级数学下册 必背公式大全寒假提前背一背开学更轻松#二年级 #二年级数学 #二年级数学下册 #寒假充电计划 #公式.pdf
10.00金币
0下载
蜗牛文库+ 关注
实名认证
内容提供者

提供各种专业文档内容

确认删除?
QQ
  • QQ点击这里给我发消息
微信客服
  • 微信客服
回到顶部