电脑桌面
添加蜗牛文库到电脑桌面
安装后可以在桌面快捷访问

2.2.1函数的概念 预备知识课前检测【新教材】2021-2022学年北师大版(2019)高一数学必修第一册.docVIP免费

2.2.1函数的概念 预备知识课前检测【新教材】2021-2022学年北师大版(2019)高一数学必修第一册.doc_第1页
2.2.1函数的概念 预备知识课前检测【新教材】2021-2022学年北师大版(2019)高一数学必修第一册.doc_第2页
2.2.1函数的概念 预备知识课前检测【新教材】2021-2022学年北师大版(2019)高一数学必修第一册.doc_第3页
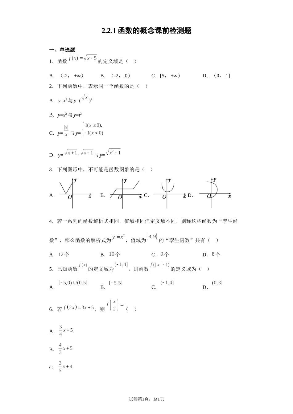
2.2.1函数的概念课前检测题一、单选题1.函数的定义域是()A.(-2,+∞)B.(-2,0)C.[5,+∞)D.(0,1]2.下列函数中,表示同一个函数的是()A.y=x2与y=()4B.y=x2与y=t2C.y=与y=D.y=·与y=3.下列图形中,不可能是函数图象的是()A.B.C.D.4.若一系列的函数解析式相同,值域相同但定义域不同,则称这些函数为“孪生函数”,那么函数的解析式为,值域为的“孪生函数”共有()A.个B.个C.个D.个5.已知函数的定义域为,则函数的定义域为()A.B.C.D.6.若,则()A.B.C.试卷第1页,总1页D.7.等腰三角形的周长为20cm,底边长ycm是腰长xcm的函数,则此函数的定义域为()A.(0,10)B.(0,5)C.(5,10)D.[5,10)8.下列选项中不是函数的是()A.B.C.D.9.轴与函数的图象()A.必有一个交点B.至少一个交点C.最多一个交点D.没有交点10.已知函数的定义域为,则函数的定义域为()A.B.C.D.二、填空题11.函数的值域是_________.12.已知函数,且,则实数=________.13.已知函数的定义域为,则函数的定义域为________.14.下列各式中是的函数的解析式有______________个.①,②,③,④三、解答题15.已知函数.(1)求函数的定义域;(2)求的表达式?你能求的定义域吗?(3)你能直接求出的定义域吗?试卷第2页,总2页16.在固定压力差(压力差为常数)下,当气体通过圆形管道时,其流量R与管道半径r的四次方成正比.(1)写出函数解析式(可带参数);(2)假设气体在半径为3cm的管道中的流量为400cm3/s,求该气体通过半径为rcm的管道时,其流量R的表达式;试卷第1页,总1页参考答案1.C【分析】根据函数解析式可得,求解即可【详解】由,则,解得所以函数的定义域为.故选:C.2.B【分析】用函数三要素判断.【详解】对于A:y=x2的定义域为R,y=()4的定义域为[0,+∞),定义域不同,不是同一个函数;对于B:y=x2与y=t2显然是同一个函数;对于C:y=的定义域为{x|x≠0},的定义域为R,定义域不同,不是同一个函数;对于D:y=·的定义域为[1,+∞),y=的定义域为(-∞,-1][1∪,+∞),定义域不同,不是同一个函数.故选:B.3.D【分析】根据函数的定义依次讨论各选项即可得答案.【详解】根据函数的定义,一个自变量对应唯一的函数值,表现在图像上,用一条垂直于轴的直线交函数图像,至多有一个交点.所以D不是函数图像.故选:D答案第1页,总2页4.C【分析】列出满足条件的函数的定义域,由此可得出结论.【详解...

1、当您付费下载文档后,您只拥有了使用权限,并不意味着购买了版权,文档只能用于自身使用,不得用于其他商业用途(如 [转卖]进行直接盈利或[编辑后售卖]进行间接盈利)。
2、本站所有内容均由合作方或网友上传,本站不对文档的完整性、权威性及其观点立场正确性做任何保证或承诺!文档内容仅供研究参考,付费前请自行鉴别。
3、如文档内容存在违规,或者侵犯商业秘密、侵犯著作权等,请点击“违规举报”。

碎片内容

蜗牛文库的最新文档

二年级数学下册其中检测卷二年级数学下册其中检测卷附答案#期中测试卷.pdf
10.00金币
0下载
二年级数学下册期末质检卷(苏教版)二年级数学下册期末质检卷(苏教版)#期末复习 #期末测试卷 #二年级数学 #二年级数学下册#关注我持续更新小学知识.pdf
10.00金币
0下载
二年级数学下册期末混合运算专项练习二年级数学下册期末混合运算专项练习#二年级#二年级数学下册#关注我持续更新小学知识 #知识分享 #家长收藏孩子受益.pdf
10.00金币
1下载
二年级数学下册年月日三类周期问题解题方法二年级数学下册年月日三类周期问题解题方法#二年级#二年级数学下册#知识分享 #关注我持续更新小学知识 #家长收藏孩子受益.pdf
10.00金币
0下载
二年级数学下册解决问题专项训练二年级数学下册解决问题专项训练#专项训练#解决问题#二年级#二年级数学下册#知识分享.pdf
10.00金币
1下载
二年级数学下册还原问题二年级数学下册还原问题#二年级#二年级数学#关注我持续更新小学知识 #知识分享 #家长收藏孩子受益.pdf
10.00金币
1下载
二年级数学下册第六单元考试卷家长打印出来给孩子测试测试争取拿到高分!#小学二年级试卷分享 #二年级第六单考试数学 #第六单考试#二年级数学下册.pdf
10.00金币
0下载
二年级数学下册必背顺口溜口诀汇总二年级数学下册必背顺口溜口诀汇总#二年级#二年级数学下册 #知识分享 #家长收藏孩子受益 #关注我持续更新小学知识.pdf
10.00金币
0下载
二年级数学下册《重点难点思维题》两大问题解决技巧和方法巧算星期几解决周期问题还原问题强化思维训练老师精心整理家长可以打印出来给孩子练习#家长收藏孩子受益 #学霸秘籍 #思维训练 #二年级 #知识点总结.pdf
10.00金币
0下载
二年级数学下册 必背公式大全寒假提前背一背开学更轻松#二年级 #二年级数学 #二年级数学下册 #寒假充电计划 #公式.pdf
10.00金币
0下载
蜗牛文库+ 关注
实名认证
内容提供者

提供各种专业文档内容

确认删除?
QQ
  • QQ点击这里给我发消息
微信客服
  • 微信客服
回到顶部