电脑桌面
添加蜗牛文库到电脑桌面
安装后可以在桌面快捷访问

第三章圆锥曲线的方程章末复习教案-2022-2023学年高二上学期数学人教A版(2019)选择性必修第一册.docxVIP免费

第三章圆锥曲线的方程章末复习教案-2022-2023学年高二上学期数学人教A版(2019)选择性必修第一册.docx_第1页
第三章圆锥曲线的方程章末复习教案-2022-2023学年高二上学期数学人教A版(2019)选择性必修第一册.docx_第2页
第三章圆锥曲线的方程章末复习教案-2022-2023学年高二上学期数学人教A版(2019)选择性必修第一册.docx_第3页
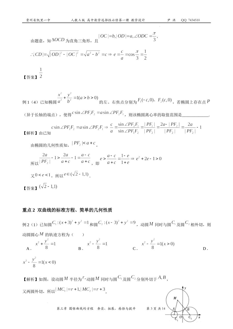
贵州省凯里一中人教A版高中数学选择性必修第一册教学设计尹洪QQ7434510第三章圆锥曲线的方程夯实、拓展、感悟与提升第1页共14页学科网(北京)股份有限公司第三章圆锥曲线的方程章节复习夯实、拓展、感悟与提升一、夯实双基,逐层认知本章知识网络重点1椭圆的标准方程、简单的几何性质例1(1)已知为椭圆:的两个焦点,为上关于坐标原点对称的两点,且,则四边形的面积为________.【解析】由已知,,因为为上关于坐标原点对称的两点,且,所以四边形为矩形,设,由椭圆定义得,又所以,解得,所以四边形面积.【答案】贵州省凯里一中人教A版高中数学选择性必修第一册教学设计尹洪QQ7434510第三章圆锥曲线的方程夯实、拓展、感悟与提升第2页共14页学科网(北京)股份有限公司例1(2)若椭圆x2a2+y2b2=1的焦点在轴上,过点(1,12)作圆的切线,切点分别为,直线恰好经过椭圆的右焦点和上顶点,则椭圆方程是.【解析】方法一:设过点(1,12)的直线方程为:当斜率存在时,,即由题意,,由,切点为,又当斜率不存在时,直线方程为,切点为,故直线,则与轴的交点即为上顶点坐标⇒b=2,与轴的交点即为焦点⇒c=1,,即椭圆方程为x25+y24=1方法二:(数形结合)设点,则有直线,作图分析可得,又切点故直线,即,则与轴的交点即为上顶点坐标⇒b=2,与轴的交点即为右焦点⇒c=1,,故椭圆方程为x25+y24=1【答案】x25+y24=1例1(3)已知椭圆,直线为圆的一条切线,记椭圆的离心率为.若直线的倾斜角为,且恰好经过椭圆的右顶点,则的大小为__________.【解析】如图,设直线与圆相切于点,椭圆的右顶点为,则贵州省凯里一中人教A版高中数学选择性必修第一册教学设计尹洪QQ7434510第三章圆锥曲线的方程夯实、拓展、感悟与提升第3页共14页学科网(北京)股份有限公司由题意,知为直角三角形,且【答案】例1(4)已知椭圆的左、右焦点分别为,若椭圆上存在点(异于长轴的端点),使得,则该椭圆离心率的取值范围是_____________.【解析】由已知由椭圆的几何性质知,,所以,即又,所以.【答案】重点2双曲线的标准方程、简单的几何性质例2(1)已知圆和圆,动圆同时与圆及圆相外切,则动圆圆心的轨迹方程为()A.B.C.D.【解析】如图,设动圆半径为动圆同时与圆及圆分别外切于,又两圆外切,所以,贵州省凯里一中人教A版高中数学选择性必修第一册教学设计尹洪QQ7434510第三章圆锥曲线的方程夯实、拓展、感悟与提升第4页共14页学科网(北京)股份有限公司所以动点的轨...

1、当您付费下载文档后,您只拥有了使用权限,并不意味着购买了版权,文档只能用于自身使用,不得用于其他商业用途(如 [转卖]进行直接盈利或[编辑后售卖]进行间接盈利)。
2、本站所有内容均由合作方或网友上传,本站不对文档的完整性、权威性及其观点立场正确性做任何保证或承诺!文档内容仅供研究参考,付费前请自行鉴别。
3、如文档内容存在违规,或者侵犯商业秘密、侵犯著作权等,请点击“违规举报”。

碎片内容

蜗牛文库的最新文档

二年级数学下册其中检测卷二年级数学下册其中检测卷附答案#期中测试卷.pdf
10.00金币
0下载
二年级数学下册期末质检卷(苏教版)二年级数学下册期末质检卷(苏教版)#期末复习 #期末测试卷 #二年级数学 #二年级数学下册#关注我持续更新小学知识.pdf
10.00金币
0下载
二年级数学下册期末混合运算专项练习二年级数学下册期末混合运算专项练习#二年级#二年级数学下册#关注我持续更新小学知识 #知识分享 #家长收藏孩子受益.pdf
10.00金币
1下载
二年级数学下册年月日三类周期问题解题方法二年级数学下册年月日三类周期问题解题方法#二年级#二年级数学下册#知识分享 #关注我持续更新小学知识 #家长收藏孩子受益.pdf
10.00金币
0下载
二年级数学下册解决问题专项训练二年级数学下册解决问题专项训练#专项训练#解决问题#二年级#二年级数学下册#知识分享.pdf
10.00金币
1下载
二年级数学下册还原问题二年级数学下册还原问题#二年级#二年级数学#关注我持续更新小学知识 #知识分享 #家长收藏孩子受益.pdf
10.00金币
1下载
二年级数学下册第六单元考试卷家长打印出来给孩子测试测试争取拿到高分!#小学二年级试卷分享 #二年级第六单考试数学 #第六单考试#二年级数学下册.pdf
10.00金币
0下载
二年级数学下册必背顺口溜口诀汇总二年级数学下册必背顺口溜口诀汇总#二年级#二年级数学下册 #知识分享 #家长收藏孩子受益 #关注我持续更新小学知识.pdf
10.00金币
0下载
二年级数学下册《重点难点思维题》两大问题解决技巧和方法巧算星期几解决周期问题还原问题强化思维训练老师精心整理家长可以打印出来给孩子练习#家长收藏孩子受益 #学霸秘籍 #思维训练 #二年级 #知识点总结.pdf
10.00金币
0下载
二年级数学下册 必背公式大全寒假提前背一背开学更轻松#二年级 #二年级数学 #二年级数学下册 #寒假充电计划 #公式.pdf
10.00金币
0下载
蜗牛文库+ 关注
实名认证
内容提供者

提供各种专业文档内容

确认删除?
QQ
  • QQ点击这里给我发消息
微信客服
  • 微信客服
回到顶部