电脑桌面
添加蜗牛文库到电脑桌面
安装后可以在桌面快捷访问

08 极值点偏移的终极套路-高中数学人教A版(2019)选择性必修第二册极值点偏移专题.docxVIP免费

08 极值点偏移的终极套路-高中数学人教A版(2019)选择性必修第二册极值点偏移专题.docx_第1页
08 极值点偏移的终极套路-高中数学人教A版(2019)选择性必修第二册极值点偏移专题.docx_第2页
08 极值点偏移的终极套路-高中数学人教A版(2019)选择性必修第二册极值点偏移专题.docx_第3页
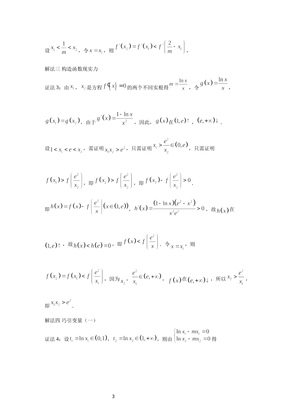
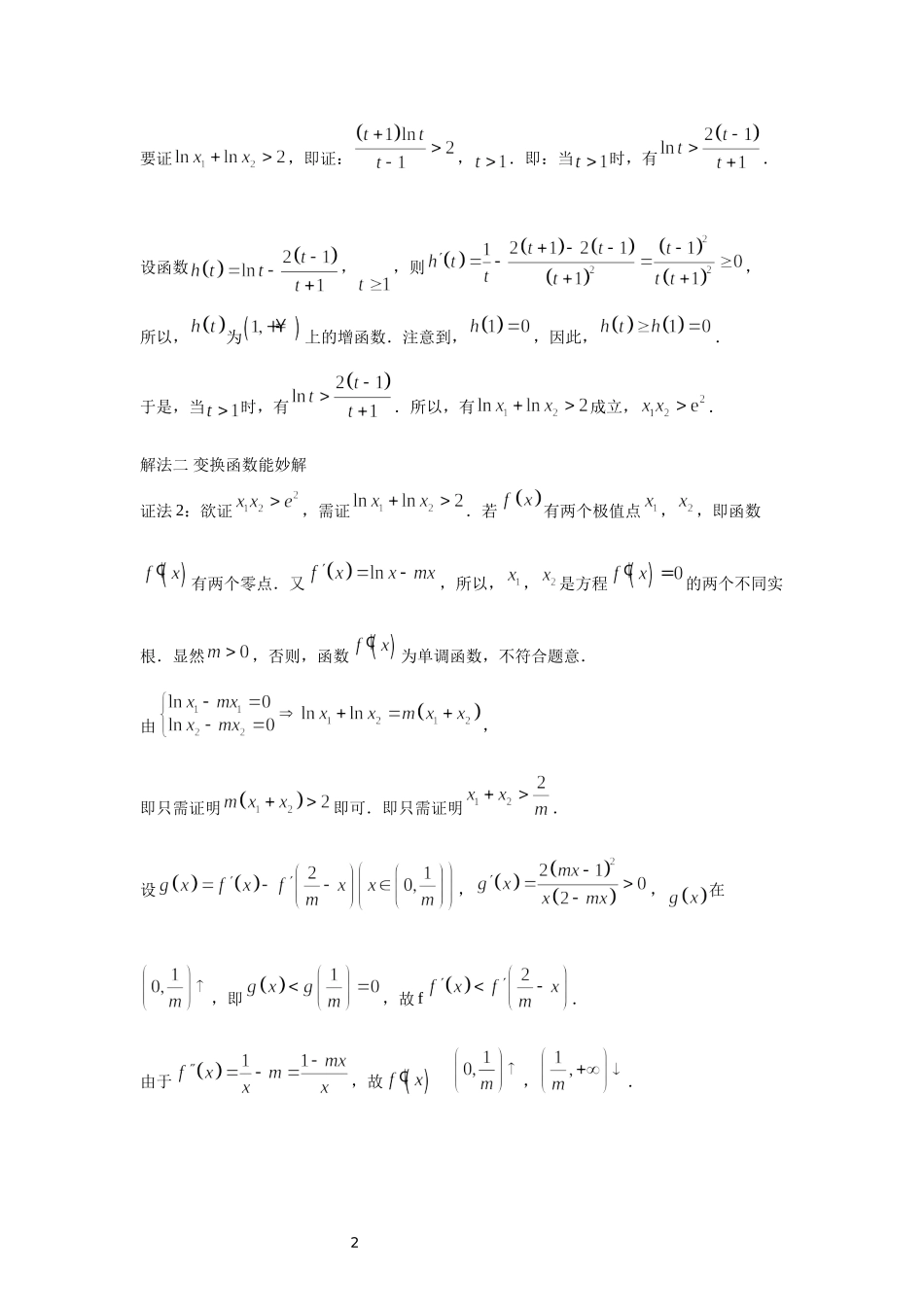
1专题08极值点偏移的终极套路值点偏移问题在高考中很常见,此类问题以导数为背景考察学生运用函数与方程、数形结合、转换的思想解决函数问题的能力,层次性强,能力要求较高.下面给出引例,通过探究,归纳总结出解决此类问题的一般性方法.★已知,.若有两个极值点,,且,求证:(e为自然对数的底数).解法一:齐次构造通解偏移套路证法1:欲证,需证.若有两个极值点,,即函数有两个零点.又,所以,,是方程的两个不同实根.于是,有,解得.另一方面,由,得,从而可得,.于是.又,设,则.因此,,.2要证,即证:,.即:当时,有.设函数,,则,所以,为上的增函数.注意到,,因此,.于是,当时,有.所以,有成立,.解法二变换函数能妙解证法2:欲证,需证.若有两个极值点,,即函数有两个零点.又,所以,,是方程的两个不同实根.显然,否则,函数为单调函数,不符合题意.由,即只需证明即可.即只需证明.设,,在,即,故f.由于,故在,.3设,令,则,解法三构造函数现实力证法3:由,是方程的两个不同实根得,令,,由于,因此,在,.设,需证明,只需证明,只需证明,即,即.即,,故在,故,即.令,则,因为,,在,所以,即.解法四巧引变量(一)证法4:设,,则由得4,设,则,.欲证,需证.即只需证明,即.设,,,故在,故,故在,因此,命题得证.解法五巧引变量(二)证法5:设,,则由得,设,则,.欲证,需证,即只需证明,即,设,,故在,因此,命题得证.★已知函数,若方程有两个不相等的实数根,,5求证:.【解析】证明:法一:由,得,故只有时,方程才有两个不相等的实数根,不妨设,则,满足,两式相减:①化简得:欲证:,结合的单调性,即证:等价于证明:令,,构造函数,,求导由单调性易得原不等式成立,略.法二:接后续解:6由得:即:②而③由②③得:④要证,令,构造函数,,求导由单调性易得在恒成立,又因为,,故成立.法三:接④后续解:7视为主元,设,则在上单调递增,故,再结合,,故成立.法四:构造函数,,则,从而在上单调递增,故,即对恒成立,从而,,则,由,,且在单调递增,故,即,从而成立.招式演练:1.已知函数.(1)若,讨论函数的单调性;8(2)若函数的两个零点为,记,证明:.【答案】(1)答案不唯一,具体见解析;(2)证明见解析.【解析】【分析】(1)求导讨论和两种情况,根据导数的正负得到单调区间;(2)根据零点定义代入化简得到,计算,...

1、当您付费下载文档后,您只拥有了使用权限,并不意味着购买了版权,文档只能用于自身使用,不得用于其他商业用途(如 [转卖]进行直接盈利或[编辑后售卖]进行间接盈利)。
2、本站所有内容均由合作方或网友上传,本站不对文档的完整性、权威性及其观点立场正确性做任何保证或承诺!文档内容仅供研究参考,付费前请自行鉴别。
3、如文档内容存在违规,或者侵犯商业秘密、侵犯著作权等,请点击“违规举报”。

碎片内容

蜗牛文库的最新文档

二年级数学下册其中检测卷二年级数学下册其中检测卷附答案#期中测试卷.pdf
10.00金币
0下载
二年级数学下册期末质检卷(苏教版)二年级数学下册期末质检卷(苏教版)#期末复习 #期末测试卷 #二年级数学 #二年级数学下册#关注我持续更新小学知识.pdf
10.00金币
0下载
二年级数学下册期末混合运算专项练习二年级数学下册期末混合运算专项练习#二年级#二年级数学下册#关注我持续更新小学知识 #知识分享 #家长收藏孩子受益.pdf
10.00金币
1下载
二年级数学下册年月日三类周期问题解题方法二年级数学下册年月日三类周期问题解题方法#二年级#二年级数学下册#知识分享 #关注我持续更新小学知识 #家长收藏孩子受益.pdf
10.00金币
0下载
二年级数学下册解决问题专项训练二年级数学下册解决问题专项训练#专项训练#解决问题#二年级#二年级数学下册#知识分享.pdf
10.00金币
1下载
二年级数学下册还原问题二年级数学下册还原问题#二年级#二年级数学#关注我持续更新小学知识 #知识分享 #家长收藏孩子受益.pdf
10.00金币
1下载
二年级数学下册第六单元考试卷家长打印出来给孩子测试测试争取拿到高分!#小学二年级试卷分享 #二年级第六单考试数学 #第六单考试#二年级数学下册.pdf
10.00金币
0下载
二年级数学下册必背顺口溜口诀汇总二年级数学下册必背顺口溜口诀汇总#二年级#二年级数学下册 #知识分享 #家长收藏孩子受益 #关注我持续更新小学知识.pdf
10.00金币
0下载
二年级数学下册《重点难点思维题》两大问题解决技巧和方法巧算星期几解决周期问题还原问题强化思维训练老师精心整理家长可以打印出来给孩子练习#家长收藏孩子受益 #学霸秘籍 #思维训练 #二年级 #知识点总结.pdf
10.00金币
0下载
二年级数学下册 必背公式大全寒假提前背一背开学更轻松#二年级 #二年级数学 #二年级数学下册 #寒假充电计划 #公式.pdf
10.00金币
0下载
蜗牛文库+ 关注
实名认证
内容提供者

提供各种专业文档内容

确认删除?
QQ
  • QQ点击这里给我发消息
微信客服
  • 微信客服
回到顶部