电脑桌面
添加蜗牛文库到电脑桌面
安装后可以在桌面快捷访问

第一章 1.3 第3课时 直线方程的一般式、点法式.pptxVIP免费

第一章 1.3 第3课时 直线方程的一般式、点法式.pptx第一章 1.3 第3课时 直线方程的一般式、点法式.pptx第一章 1.3 第3课时 直线方程的一般式、点法式.pptx第一章 1.3 第3课时 直线方程的一般式、点法式.pptx
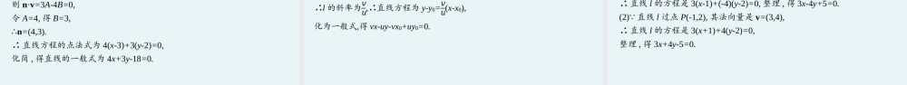
高中同步学案优化设计GAOZHONGTONGBUXUEANYOUHAUSHEJI第3课时直线方程的一般式、点法式第一章2021内容索引0102课前篇自主预习课堂篇探究学习核心素养思维脉络1.了解直线方程的一般式的形式特征,理解直线方程的一般式与二元一次方程的关系.(数学抽象)2.能正确地进行直线方程的一般式与特殊形式的方程的转化.(逻辑推理)3.能运用直线方程的一般式解决有关问题.(数学运算)4.了解直线方程的点法式,会利用方向向量推导出直线的一般方程.(数学抽象)课前篇自主预习激趣诱思由下列各条件,写出直线的方程,并画出图形.(1)斜率是1,经过点A(1,8);(2)在x轴和y轴上的截距分别是-7,7;(3)经过两点P1(-1,6),P2(2,9);(4)在y轴上的截距是7,倾斜角是45°.同学们,根据前面我们学习的直线方程形式,分别利用点斜式、截距式、两点式和斜截式,可得到四种情况下的直线方程分别为:(1)y-8=x-1;(2)𝑥-7+𝑦7=1;(3)𝑦-69-6=𝑥+12+1;(4)y=x+7.如果我们画出这4条直线的图象,你会惊奇地发现:这4条直线是重合的.事实上,它们的方程都可以化简为x-y+7=0.这样这几种直线方程就有了统一的形式,这就是本节我们要学习的直线方程的一般式.知识点拨一、直线方程的一般式1.定义在平面直角坐标系中,对于任何一条直线,都有一个表示这条直线的关于x,y的二元一次方程;任何关于x,y的二元一次方程都表示一条直线.方程Ax+By+C=0(其中A,B不全为0)称为直线方程的一般式.2.直线方程的一般式与其他形式的互化微判断(1)任何直线方程都能表示为一般式.()(2)任何直线方程的一般式都能与种形式互化.()(3)对于二元一次方程Ax+By+C=0,当A=0,B≠0时,方程表示斜率不存在的直线.()(4)当A,B同时为零时,方程Ax+By+C=0也可以表示一条直线.()√×××微练习直线方程2x+3y+1=0化为斜截式为;化为截距式为.答案y=-23x-13x-12+y-13=1解析方程化为3y=-2x-1,则y=-23x-13;方程化为2x+3y=-1,得-2x-3y=1,即x-12+y-13=1.二、直线方程的点法式1.法向量与直线的方向向量垂直的向量称为直线的法向量,直线的法向量和方向向量都反映了直线的方向.若直线l经过点P,且一个法向量为n,则直线l上不同于点P的任意一点M都满足n·=0.反之,满足n·=0的任意一点M一定在直线l上.𝑃𝑀ሬሬሬሬሬሬԦ𝑃𝑀ሬሬሬሬሬሬԦ2.直线方程的点法式在平面直角坐标系中,已知直线l经过点P(x0,y0),且它的一个法向量为n=(A,B),直线l上的任意一点M的坐标为(x,y),则方程A(x-x0)+B(y-y0)=0称为直线方程的点法式.名师点析确定直线方程的点法式需要知道直线的法向量和直线...

1、当您付费下载文档后,您只拥有了使用权限,并不意味着购买了版权,文档只能用于自身使用,不得用于其他商业用途(如 [转卖]进行直接盈利或[编辑后售卖]进行间接盈利)。
2、本站所有内容均由合作方或网友上传,本站不对文档的完整性、权威性及其观点立场正确性做任何保证或承诺!文档内容仅供研究参考,付费前请自行鉴别。
3、如文档内容存在违规,或者侵犯商业秘密、侵犯著作权等,请点击“违规举报”。

碎片内容

蜗牛文库的最新文档

二年级数学下册其中检测卷二年级数学下册其中检测卷附答案#期中测试卷.pdf
10.00金币
0下载
二年级数学下册期末质检卷(苏教版)二年级数学下册期末质检卷(苏教版)#期末复习 #期末测试卷 #二年级数学 #二年级数学下册#关注我持续更新小学知识.pdf
10.00金币
0下载
二年级数学下册期末混合运算专项练习二年级数学下册期末混合运算专项练习#二年级#二年级数学下册#关注我持续更新小学知识 #知识分享 #家长收藏孩子受益.pdf
10.00金币
1下载
二年级数学下册年月日三类周期问题解题方法二年级数学下册年月日三类周期问题解题方法#二年级#二年级数学下册#知识分享 #关注我持续更新小学知识 #家长收藏孩子受益.pdf
10.00金币
0下载
二年级数学下册解决问题专项训练二年级数学下册解决问题专项训练#专项训练#解决问题#二年级#二年级数学下册#知识分享.pdf
10.00金币
1下载
二年级数学下册还原问题二年级数学下册还原问题#二年级#二年级数学#关注我持续更新小学知识 #知识分享 #家长收藏孩子受益.pdf
10.00金币
1下载
二年级数学下册第六单元考试卷家长打印出来给孩子测试测试争取拿到高分!#小学二年级试卷分享 #二年级第六单考试数学 #第六单考试#二年级数学下册.pdf
10.00金币
0下载
二年级数学下册必背顺口溜口诀汇总二年级数学下册必背顺口溜口诀汇总#二年级#二年级数学下册 #知识分享 #家长收藏孩子受益 #关注我持续更新小学知识.pdf
10.00金币
0下载
二年级数学下册《重点难点思维题》两大问题解决技巧和方法巧算星期几解决周期问题还原问题强化思维训练老师精心整理家长可以打印出来给孩子练习#家长收藏孩子受益 #学霸秘籍 #思维训练 #二年级 #知识点总结.pdf
10.00金币
0下载
二年级数学下册 必背公式大全寒假提前背一背开学更轻松#二年级 #二年级数学 #二年级数学下册 #寒假充电计划 #公式.pdf
10.00金币
0下载
蜗牛文库+ 关注
实名认证
内容提供者

提供各种专业文档内容

确认删除?
QQ
  • QQ点击这里给我发消息
微信客服
  • 微信客服
回到顶部