电脑桌面
添加蜗牛文库到电脑桌面
安装后可以在桌面快捷访问

第一章 章末整合.pptxVIP免费

第一章 章末整合.pptx第一章 章末整合.pptx第一章 章末整合.pptx第一章 章末整合.pptx
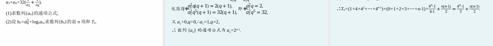
高中同步学案优化设计GAOZHONGTONGBUXUEANYOUHAUSHEJI章末整合第一章2021内容索引0102知识网络整合构建专题归纳思维深化知识网络整合构建专题归纳思维深化专题一方程思想求解数列问题例1等差数列{an}的各项为正整数,a1=3,前n项和为Sn,等比数列{bn}中,b1=1,且b2S2=64,{}是公比为64的等比数列,求数列{an},{bn}的通项公式.𝑏𝑎𝑛解设{an}的公差为d,{bn}的公比为q,则d为正整数,an=3+(n-1)d,bn=qn-1.依题意有ቐ𝑏𝑎𝑛+1𝑏𝑎𝑛=𝑞𝑎𝑛+1-1𝑞𝑎𝑛-1=𝑞𝑑=64=26,①𝑏2𝑆2=𝑞(6+𝑑)=64,②由q(6+d)=64知q为正有理数,又由q=知d为6的因子1,2,3,6之一,解①②得d=2,q=8,故an=2n+1,bn=8n-1.26𝑑归纳提升在等比数列和等差数列中,通项公式an和前n项和公式Sn共涉及五个量,即a1,an,n,q(d),Sn,其中首项a1和公比q(公差d)为基本量,“知三求二”是指将已知条件转换成关于a1,an,n,q(d),Sn的方程组,通过方程的思想解出需要的量.变式训练1记等差数列{an}的前n项和为Sn,设S3=12,且2a1,a2,a3+1成等比数列,求Sn.解设数列{an}的公差为d,依题设有൜2𝑎1(𝑎3+1)=𝑎22,𝑎1+𝑎2+𝑎3=12,即൜𝑎12+2𝑎1𝑑-𝑑2+2𝑎1=0,𝑎1+𝑑=4,解得ቄ𝑎1=1,𝑑=3或൜𝑎1=8,𝑑=-4.因此Sn=12n(3n-1)或Sn=2n(5-n),n∈N+.专题二转化与化归思想求解数列问题例2在数列{an}中,Sn为{an}的前n项和,且Sn+1=4an+2,a1=1.(1)设cn=,求证:数列{cn}是等差数列;(2)求数列{an}的通项公式及前n项和的公式.𝑎𝑛2𝑛(1)证明 Sn+1=4an+2,①∴当n≥2,n∈N+时,Sn=4an-1+2.②①-②得an+1=4an-4an-1.对an+1=4an-4an-1两边同除以2n+1,得𝑎𝑛+12𝑛+1=2×𝑎𝑛2𝑛−𝑎𝑛-12𝑛-1,即𝑎𝑛+12𝑛+1+𝑎𝑛-12𝑛-1=2×𝑎𝑛2𝑛,即cn+1+cn-1=2cn,∴数列{cn}是等差数列.由Sn+1=4an+2,得a1+a2=4a1+2,则a2=3a1+2=5,∴c1=𝑎12=12,c2=𝑎222=54,故数列{cn}的公差d=54−12=34,∴{cn}是以12为首项,34为公差的等差数列.(2)解由(1)可知数列{𝑎𝑛2𝑛}是首项为12,公差为34的等差数列,∴𝑎𝑛2𝑛=12+34(n-1)=34n-14,∴an=(3n-1)·2n-2.∴Sn+1=4an+2=2n(3n-1)+2.∴Sn=2n-1·(3n-4)+2(n≥2).当n=1时,S1=1=a1,符合.∴Sn=(3n-4)2n-1+2(n∈N+).归纳提升由递推公式求通项公式,要求掌握的方法有两种:一种求法是先找出数列的前几项,通过观察、归纳得出,然后证明;另一种是通过变形转化为等差数列或等比数列,再采用公式求出.变式训练2已知数列{an}的首项a1=a,其前n项和为Sn,且满足Sn+Sn-1=4n2(n≥2,n∈N+),若对任意n∈N+,an

1、当您付费下载文档后,您只拥有了使用权限,并不意味着购买了版权,文档只能用于自身使用,不得用于其他商业用途(如 [转卖]进行直接盈利或[编辑后售卖]进行间接盈利)。
2、本站所有内容均由合作方或网友上传,本站不对文档的完整性、权威性及其观点立场正确性做任何保证或承诺!文档内容仅供研究参考,付费前请自行鉴别。
3、如文档内容存在违规,或者侵犯商业秘密、侵犯著作权等,请点击“违规举报”。

碎片内容

蜗牛文库的最新文档

二年级数学下册其中检测卷二年级数学下册其中检测卷附答案#期中测试卷.pdf
10.00金币
0下载
二年级数学下册期末质检卷(苏教版)二年级数学下册期末质检卷(苏教版)#期末复习 #期末测试卷 #二年级数学 #二年级数学下册#关注我持续更新小学知识.pdf
10.00金币
0下载
二年级数学下册期末混合运算专项练习二年级数学下册期末混合运算专项练习#二年级#二年级数学下册#关注我持续更新小学知识 #知识分享 #家长收藏孩子受益.pdf
10.00金币
1下载
二年级数学下册年月日三类周期问题解题方法二年级数学下册年月日三类周期问题解题方法#二年级#二年级数学下册#知识分享 #关注我持续更新小学知识 #家长收藏孩子受益.pdf
10.00金币
0下载
二年级数学下册解决问题专项训练二年级数学下册解决问题专项训练#专项训练#解决问题#二年级#二年级数学下册#知识分享.pdf
10.00金币
1下载
二年级数学下册还原问题二年级数学下册还原问题#二年级#二年级数学#关注我持续更新小学知识 #知识分享 #家长收藏孩子受益.pdf
10.00金币
1下载
二年级数学下册第六单元考试卷家长打印出来给孩子测试测试争取拿到高分!#小学二年级试卷分享 #二年级第六单考试数学 #第六单考试#二年级数学下册.pdf
10.00金币
0下载
二年级数学下册必背顺口溜口诀汇总二年级数学下册必背顺口溜口诀汇总#二年级#二年级数学下册 #知识分享 #家长收藏孩子受益 #关注我持续更新小学知识.pdf
10.00金币
0下载
二年级数学下册《重点难点思维题》两大问题解决技巧和方法巧算星期几解决周期问题还原问题强化思维训练老师精心整理家长可以打印出来给孩子练习#家长收藏孩子受益 #学霸秘籍 #思维训练 #二年级 #知识点总结.pdf
10.00金币
0下载
二年级数学下册 必背公式大全寒假提前背一背开学更轻松#二年级 #二年级数学 #二年级数学下册 #寒假充电计划 #公式.pdf
10.00金币
0下载
蜗牛文库+ 关注
实名认证
内容提供者

提供各种专业文档内容

确认删除?
QQ
  • QQ点击这里给我发消息
微信客服
  • 微信客服