电脑桌面
添加蜗牛文库到电脑桌面
安装后可以在桌面快捷访问

知识讲解_《数系的扩充与复数》全章复习与巩固.docVIP免费

知识讲解_《数系的扩充与复数》全章复习与巩固.doc_第1页
知识讲解_《数系的扩充与复数》全章复习与巩固.doc_第2页
知识讲解_《数系的扩充与复数》全章复习与巩固.doc_第3页
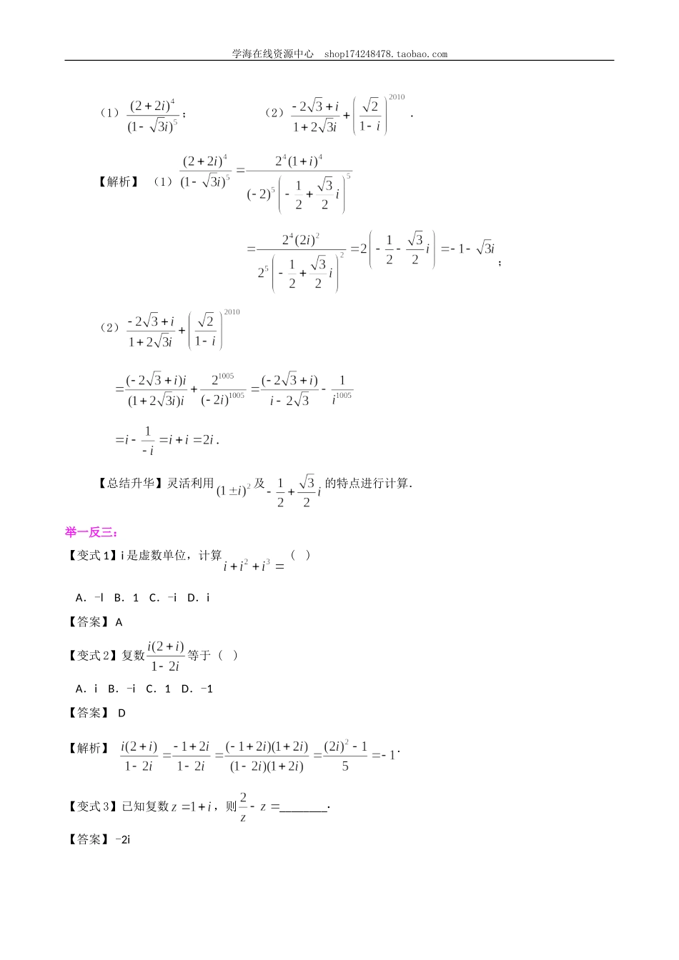
学海在线资源中心shop174248478.taobao.com《数系的扩充与复数》全章复习与巩固编稿:李霞审稿:张林娟【学习目标】1.了解引进复数的必要性,了解数集的扩充过程;2.理解在数系的扩充中由实数集扩展到复数集出现的一些基本概念;理解复数相等的充要条件;3.了解复数的代数表示法及其几何意义;4.掌握进行复数代数形式的四则运算法则,了解复数代数形式的加法、减法运算的几何意义.注意在不同数集中运算法则的联系和区别.【知识网络】【要点梳理】要点一:复数的基本知识1、虚数单位,规定它的平方等于,即.可与实数进行四则运算,进行四则运算时,原有加、乘运算律仍然成立.2、形如()的数叫做复数,记作:();当b=0时,是实数;当b≠0时,叫做虚数;当a=0且b≠0时,叫做纯虚数.3、两个复数相等的充要条件:若,则.4、复数的几何意义:复数复平面内的点平面向量学海在线资源中心shop174248478.taobao.com5、复数的模:设(),则向量的长度叫做复数的模,记作.即.要点诠释:(1)的周期性:如果n∈N,则有:,,,;(2)复数的共轭复数,记为;(3).要点二:复数的运算设,(),则:要点诠释:(1)设ω=,则,,,,,(n∈N+)等;(2)复数求解计算时,要灵活利用i、ω的性质,或适当变形,创造条件,从而转化为关于i、ω的计算问题.比如;;;(3)作复数除法运算时,有如下技巧:.【典型例题】类型一:复数的概念及运算例1.化简下列式子:学海在线资源中心shop174248478.taobao.com(1);(2).【解析】(1);(2).【总结升华】灵活利用及的特点进行计算.举一反三:【变式1】i是虚数单位,计算()A.-lB.1C.-iD.i【答案】A【变式2】复数等于()A.iB.-iC.1D.-1【答案】D【解析】.【变式3】已知复数,则________·【答案】-2i学海在线资源中心shop174248478.taobao.com例2.已知,(a∈R)分别对应向量,(O为原点),若向量所对应的复数为纯虚数,求a的值.【解析】设向量对应的复数为z, ,∴. z为纯虚数,∴即∴.【总结升华】讨论复数z为实数、虚数、纯虚数、非纯虚数应从定义入手.举一反三:【变式1】设(其中表示z1的共轭复数),已知z2的实部是-1,则z2的虚部为________.【答案】1【解析】,,,由复数相等得.【变式2】设a,b为实数,若复数,则()A.,B.a=3,b=lC.=,D.a=1,b=3【答案】A【解析】学海在线资源中心shop174248478.taobao.com故选A.类型二:复数的几何意义例3.已知复数,,,它们在复平面上...

1、当您付费下载文档后,您只拥有了使用权限,并不意味着购买了版权,文档只能用于自身使用,不得用于其他商业用途(如 [转卖]进行直接盈利或[编辑后售卖]进行间接盈利)。
2、本站所有内容均由合作方或网友上传,本站不对文档的完整性、权威性及其观点立场正确性做任何保证或承诺!文档内容仅供研究参考,付费前请自行鉴别。
3、如文档内容存在违规,或者侵犯商业秘密、侵犯著作权等,请点击“违规举报”。

碎片内容

蜗牛文库的最新文档

二年级数学下册其中检测卷二年级数学下册其中检测卷附答案#期中测试卷.pdf
10.00金币
0下载
二年级数学下册期末质检卷(苏教版)二年级数学下册期末质检卷(苏教版)#期末复习 #期末测试卷 #二年级数学 #二年级数学下册#关注我持续更新小学知识.pdf
10.00金币
0下载
二年级数学下册期末混合运算专项练习二年级数学下册期末混合运算专项练习#二年级#二年级数学下册#关注我持续更新小学知识 #知识分享 #家长收藏孩子受益.pdf
10.00金币
1下载
二年级数学下册年月日三类周期问题解题方法二年级数学下册年月日三类周期问题解题方法#二年级#二年级数学下册#知识分享 #关注我持续更新小学知识 #家长收藏孩子受益.pdf
10.00金币
0下载
二年级数学下册解决问题专项训练二年级数学下册解决问题专项训练#专项训练#解决问题#二年级#二年级数学下册#知识分享.pdf
10.00金币
1下载
二年级数学下册还原问题二年级数学下册还原问题#二年级#二年级数学#关注我持续更新小学知识 #知识分享 #家长收藏孩子受益.pdf
10.00金币
1下载
二年级数学下册第六单元考试卷家长打印出来给孩子测试测试争取拿到高分!#小学二年级试卷分享 #二年级第六单考试数学 #第六单考试#二年级数学下册.pdf
10.00金币
0下载
二年级数学下册必背顺口溜口诀汇总二年级数学下册必背顺口溜口诀汇总#二年级#二年级数学下册 #知识分享 #家长收藏孩子受益 #关注我持续更新小学知识.pdf
10.00金币
0下载
二年级数学下册《重点难点思维题》两大问题解决技巧和方法巧算星期几解决周期问题还原问题强化思维训练老师精心整理家长可以打印出来给孩子练习#家长收藏孩子受益 #学霸秘籍 #思维训练 #二年级 #知识点总结.pdf
10.00金币
0下载
二年级数学下册 必背公式大全寒假提前背一背开学更轻松#二年级 #二年级数学 #二年级数学下册 #寒假充电计划 #公式.pdf
10.00金币
0下载
蜗牛文库+ 关注
实名认证
内容提供者

提供各种专业文档内容

确认删除?
QQ
  • QQ点击这里给我发消息
微信客服
  • 微信客服
回到顶部