电脑桌面
添加蜗牛文库到电脑桌面
安装后可以在桌面快捷访问

.4.3.3空间向量求解角度与距离教案 新人教A版必修2VIP免费

.4.3.3空间向量求解角度与距离教案 新人教A版必修2_第1页
.4.3.3空间向量求解角度与距离教案 新人教A版必修2_第2页
.4.3.3空间向量求解角度与距离教案 新人教A版必修2_第3页
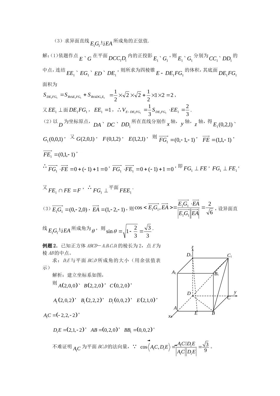
课题:2.4.3.3空间向量求角度与距离教材分析:角和距离是几何中的基本度量,几何问题和一些实际问题经常设计角和距离,空间坐标系中可以用代数方法解决角度与距离,比找证求的方法更加适用。课型:新授课教学要求:使学生熟练掌握空间角度与距离的求法.教学重点:公式的应用.教学难点:公式的应用.教学过程:一.复习提问:1.空间向量坐标,两点间的距离公式.2.(1)用法向量求异面直线间的距离如右图所示,a、b是两异面直线,n是a和b的法向量,点E∈a,F∈b,则异面直线a与b之间的距离是nnEFd;(2)用法向量求点到平面的距离如右图所示,已知AB是平面α的一条斜线,n为平面α的法向量,则A到平面α的距离为nnABd;(3)用法向量求直线到平面间的距离首先必须确定直线与平面平行,然后将直线到平面的距离问题转化成直线上一点到平面的距离问题.(4)用法向量求两平行平面间的距离首先必须确定两个平面是否平行,这时可以在一个平面上任取一点,将两平面间的距离问题转化成点到平面的距离问题。(5)用法向量求二面角二.例题讲解:例题1.如图6,已知正方体1111ABCDABCD的棱长为2,点E是正方形11BCCB的中心,点F、G分别是棱111,CDAA的中点.设点11,EG分别是点E,G在平面11DCCD内的正投影.(1)求以E为顶点,以四边形FGAE在平面11DCCD内的正投影为底面边界的棱锥的体积;(2)证明:直线1FG平面1FEE;ABCnαzyxE1G1(3)求异面直线11EGEA与所成角的正弦值.解:(1)依题作点E、G在平面11DCCD内的正投影1E、1G,则1E、1G分别为1CC、1DD的中点,连结1EE、1EG、ED、1DE,则所求为四棱锥11FGDEE的体积,其底面11FGDE面积为111111EDGRtFGERtFGDESSS221212221,又1EE面11FGDE,11EE,∴323111111EESVFGDEFGDEE.(2)以D为坐标原点,DA、DC、1DD所在直线分别作x轴,y轴,z轴,得)1,2,0(1E、)1,0,0(1G,又)1,0,2(G,)2,1,0(F,)1,2,1(E,则)1,1,0(1FG,)1,1,1(FE,)1,1,0(1FE,∴01)1(01FEFG,01)1(011FEFG,即FEFG1,11FEFG,又FFEFE1,∴1FG平面1FEE.(3))0,2,0(11GE,)1,2,1(EA,则62,cos111111EAGEEAGEEAGE,设异面直线11EGEA与所成角为,则33321sin.例题2.已知正方体ABCD-A1B1C1D1的棱长为2,点E为棱AB的中点。求:D1E与平面BC1D所成角的大小(用余弦值表示)解析:建立坐标系如图,则2,0,0A、2,2,...

1、当您付费下载文档后,您只拥有了使用权限,并不意味着购买了版权,文档只能用于自身使用,不得用于其他商业用途(如 [转卖]进行直接盈利或[编辑后售卖]进行间接盈利)。
2、本站所有内容均由合作方或网友上传,本站不对文档的完整性、权威性及其观点立场正确性做任何保证或承诺!文档内容仅供研究参考,付费前请自行鉴别。
3、如文档内容存在违规,或者侵犯商业秘密、侵犯著作权等,请点击“违规举报”。

碎片内容

蜗牛文库的最新文档

二年级数学下册其中检测卷二年级数学下册其中检测卷附答案#期中测试卷.pdf
10.00金币
0下载
二年级数学下册期末质检卷(苏教版)二年级数学下册期末质检卷(苏教版)#期末复习 #期末测试卷 #二年级数学 #二年级数学下册#关注我持续更新小学知识.pdf
10.00金币
0下载
二年级数学下册期末混合运算专项练习二年级数学下册期末混合运算专项练习#二年级#二年级数学下册#关注我持续更新小学知识 #知识分享 #家长收藏孩子受益.pdf
10.00金币
1下载
二年级数学下册年月日三类周期问题解题方法二年级数学下册年月日三类周期问题解题方法#二年级#二年级数学下册#知识分享 #关注我持续更新小学知识 #家长收藏孩子受益.pdf
10.00金币
0下载
二年级数学下册解决问题专项训练二年级数学下册解决问题专项训练#专项训练#解决问题#二年级#二年级数学下册#知识分享.pdf
10.00金币
1下载
二年级数学下册还原问题二年级数学下册还原问题#二年级#二年级数学#关注我持续更新小学知识 #知识分享 #家长收藏孩子受益.pdf
10.00金币
1下载
二年级数学下册第六单元考试卷家长打印出来给孩子测试测试争取拿到高分!#小学二年级试卷分享 #二年级第六单考试数学 #第六单考试#二年级数学下册.pdf
10.00金币
0下载
二年级数学下册必背顺口溜口诀汇总二年级数学下册必背顺口溜口诀汇总#二年级#二年级数学下册 #知识分享 #家长收藏孩子受益 #关注我持续更新小学知识.pdf
10.00金币
0下载
二年级数学下册《重点难点思维题》两大问题解决技巧和方法巧算星期几解决周期问题还原问题强化思维训练老师精心整理家长可以打印出来给孩子练习#家长收藏孩子受益 #学霸秘籍 #思维训练 #二年级 #知识点总结.pdf
10.00金币
0下载
二年级数学下册 必背公式大全寒假提前背一背开学更轻松#二年级 #二年级数学 #二年级数学下册 #寒假充电计划 #公式.pdf
10.00金币
0下载
蜗牛文库+ 关注
实名认证
内容提供者

提供各种专业文档内容

确认删除?
QQ
  • QQ点击这里给我发消息
微信客服
  • 微信客服
回到顶部