电脑桌面
添加蜗牛文库到电脑桌面
安装后可以在桌面快捷访问

2018考研数学二答案真题解析.pdfVIP免费

2018考研数学二答案真题解析.pdf_第1页
2018考研数学二答案真题解析.pdf_第2页
2018考研数学二答案真题解析.pdf_第3页
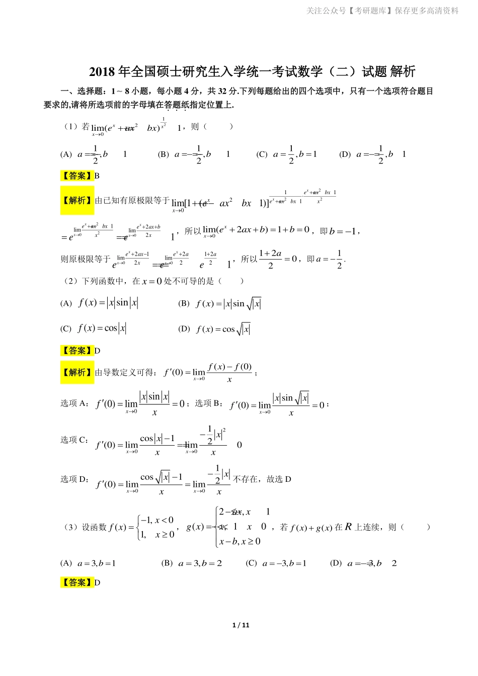
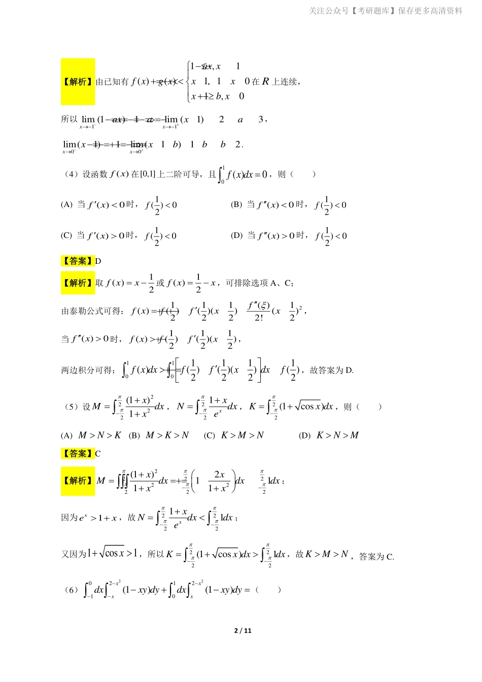
1/112018年全国硕士研究生入学统一考试数学(二)试题解析一、选择题:18小题,每小题4分,共32分.下列每题给出的四个选项中,只有一个选项符合题目要求的,请将所选项前的字母填在答题纸...指定位置上.(1)若2120lim()1xxxeaxbx,则()(A)1,12ab(B)1,12ab(C)1,12ab(D)1,12ab【答案】B【解析】由已知有原极限等于22211210lim[1(1)]xxeaxbxxeaxbxxxeaxbx220012limlim21xxxxeaxbxeaxbxxee,所以0lim(2)10xxeaxbb,即1b,则原极限等于0021212limlim2221xxxxeaxeaaxeee,所以1202a,即12a.(2)下列函数中,在0x处不可导的是()(A)()sinfxxx(B)()sinfxxx(C)()cosfxx(D)()cosfxx【答案】D【解析】由导数定义可得:0()(0)(0)limxfxffx;选项A:0sin(0)lim0xxxfx;选项B:0sin(0)lim0xxxfx;选项C:2001cos12(0)limlim0xxxxfxx选项D:001cos12(0)limlimxxxxfxx不存在,故选D(3)设函数1,0()1,0xfxx,2,1(),10,0axxgxxxxbx,若()()fxgx在R上连续,则()(A)3,1ab(B)3,2ab(C)3,1ab(D)3,2ab【答案】D关注公众号【考研题库】保存更多高清资料2/11【解析】由已知有1,1()()1,101,0axxfxgxxxxbx在R上连续,所以11lim(1)1lim(1)23xxaxaxa,00lim(1)1lim(1)12xxxxbbb.(4)设函数()fx在[0,1]上二阶可导,且10()0fxdx,则()(A)当()0fx时,1()02f(B)当()0fx时,1()02f(C)当()0fx时,1()02f(D)当()0fx时,1()02f【答案】D【解析】取1()2fxx或1()2fxx,可排除选项A、C;由泰勒公式可得:2111()1()()()()()2222!2ffxffxx,当()0fx时,111()()()()222fxffx,两边积分可得:11001111()()()()()2222fxdxffxdxf,故答案为D.(5)设2222(1)1xMdxx,221xxNdxe,22(1cos)Kxdx,则()(A)MNK(B)MKN(C)KMN(D)KNM【答案】C【解析】222222222(1)21111xxMdxdxdxxx;因为1xex,故222211xxN...

1、当您付费下载文档后,您只拥有了使用权限,并不意味着购买了版权,文档只能用于自身使用,不得用于其他商业用途(如 [转卖]进行直接盈利或[编辑后售卖]进行间接盈利)。
2、本站所有内容均由合作方或网友上传,本站不对文档的完整性、权威性及其观点立场正确性做任何保证或承诺!文档内容仅供研究参考,付费前请自行鉴别。
3、如文档内容存在违规,或者侵犯商业秘密、侵犯著作权等,请点击“违规举报”。

碎片内容

蜗牛文库的最新文档

二年级数学下册其中检测卷二年级数学下册其中检测卷附答案#期中测试卷.pdf
10.00金币
0下载
二年级数学下册期末质检卷(苏教版)二年级数学下册期末质检卷(苏教版)#期末复习 #期末测试卷 #二年级数学 #二年级数学下册#关注我持续更新小学知识.pdf
10.00金币
0下载
二年级数学下册期末混合运算专项练习二年级数学下册期末混合运算专项练习#二年级#二年级数学下册#关注我持续更新小学知识 #知识分享 #家长收藏孩子受益.pdf
10.00金币
1下载
二年级数学下册年月日三类周期问题解题方法二年级数学下册年月日三类周期问题解题方法#二年级#二年级数学下册#知识分享 #关注我持续更新小学知识 #家长收藏孩子受益.pdf
10.00金币
0下载
二年级数学下册解决问题专项训练二年级数学下册解决问题专项训练#专项训练#解决问题#二年级#二年级数学下册#知识分享.pdf
10.00金币
1下载
二年级数学下册还原问题二年级数学下册还原问题#二年级#二年级数学#关注我持续更新小学知识 #知识分享 #家长收藏孩子受益.pdf
10.00金币
1下载
二年级数学下册第六单元考试卷家长打印出来给孩子测试测试争取拿到高分!#小学二年级试卷分享 #二年级第六单考试数学 #第六单考试#二年级数学下册.pdf
10.00金币
0下载
二年级数学下册必背顺口溜口诀汇总二年级数学下册必背顺口溜口诀汇总#二年级#二年级数学下册 #知识分享 #家长收藏孩子受益 #关注我持续更新小学知识.pdf
10.00金币
0下载
二年级数学下册《重点难点思维题》两大问题解决技巧和方法巧算星期几解决周期问题还原问题强化思维训练老师精心整理家长可以打印出来给孩子练习#家长收藏孩子受益 #学霸秘籍 #思维训练 #二年级 #知识点总结.pdf
10.00金币
0下载
二年级数学下册 必背公式大全寒假提前背一背开学更轻松#二年级 #二年级数学 #二年级数学下册 #寒假充电计划 #公式.pdf
10.00金币
0下载
蜗牛文库+ 关注
实名认证
内容提供者

提供各种专业文档内容

确认删除?
QQ
  • QQ点击这里给我发消息
微信客服
  • 微信客服
回到顶部