电脑桌面
添加蜗牛文库到电脑桌面
安装后可以在桌面快捷访问

2010考研数学二真题答案【福利年免费资源www.fulinian.com】.pdfVIP免费

2010考研数学二真题答案【福利年免费资源www.fulinian.com】.pdf_第1页
2010考研数学二真题答案【福利年免费资源www.fulinian.com】.pdf_第2页
2010考研数学二真题答案【福利年免费资源www.fulinian.com】.pdf_第3页
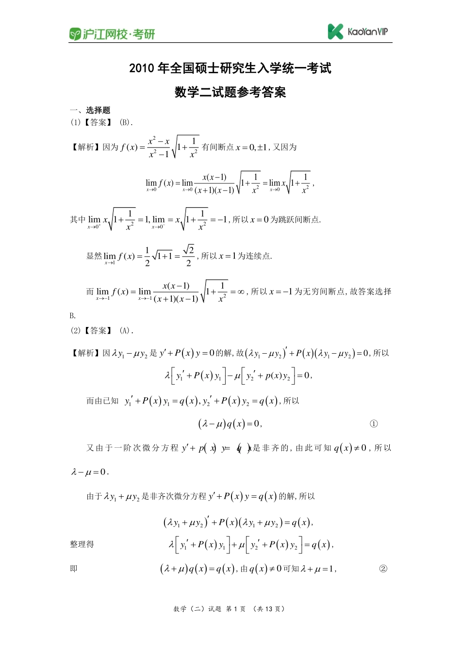
数学(二)试题第1页(共13页)2010年全国硕士研究生入学统一考试数学二试题参考答案一、选择题(1)【答案】(B).【解析】因为2221()11xxfxxx有间断点0,1x,又因为22000(1)11lim()lim1lim1(1)(1)xxxxxfxxxxxx,其中220011lim11,lim11xxxxxx,所以0x为跳跃间断点.显然112lim()1122xfx,所以1x为连续点.而211(1)1lim()lim1(1)(1)xxxxfxxxx,所以1x为无穷间断点,故答案选择B.(2)【答案】(A).【解析】因12yy是0yPxy的解,故12120yyPxyy,所以1122()0yPxyypxy,而由已知1122,yPxyqxyPxyqx,所以0qx,①又由于一阶次微分方程ypxyqx是非齐的,由此可知0qx,所以0.由于12yy是非齐次微分方程yPxyqx的解,所以1212yyPxyyqx,整理得1122yPxyyPxyqx,即qxqx,由0qx可知1,②数学(二)试题第2页(共13页)由①②求解得12,故应选(A).(3)【答案】(C).【解析】因为曲线2yx与曲线ln(0)yaxa相切,所以在切点处两个曲线的斜率相同,所以2axx,即(0)2axx.又因为两个曲线在切点的坐标是相同的,所以在2yx上,当2ax时2ay;在lnyax上,2ax时,lnln222aaaya.所以ln222aaa.从而解得2ae.故答案选择(C).(4)【答案】(D).【解析】0x与1x都是瑕点.应分成22211121002ln1ln1ln1mmmnnnxxxdxdxdxxxx,用比较判别法的极限形式,对于2120ln1mnxdxx,由于121012[ln(1)]lim11mnxnmxxx.显然,当1201nm,则该反常积分收敛.当120nm,1210[ln(1)]limmxnxx存在,此时2120ln1mnxdxx实际上不是反常积分,故收敛.故不论,mn是什么正整数,2120ln1mnxdxx总收敛.对于2112ln1mnxdxx,取01,不论,mn是什么正整数,1211211[ln(1)]limlimln(1)(1)01(1)mnmxxxxxxx,所以2112ln1mnxdxx收敛,故选(D).大型考试资源分享网站百度搜索:华宇课件网http://www.china-share.com-更多热门考试学习资源免费下载--出售:公考、考研、会计、建筑、教师等考试课程-课程咨询...

1、当您付费下载文档后,您只拥有了使用权限,并不意味着购买了版权,文档只能用于自身使用,不得用于其他商业用途(如 [转卖]进行直接盈利或[编辑后售卖]进行间接盈利)。
2、本站所有内容均由合作方或网友上传,本站不对文档的完整性、权威性及其观点立场正确性做任何保证或承诺!文档内容仅供研究参考,付费前请自行鉴别。
3、如文档内容存在违规,或者侵犯商业秘密、侵犯著作权等,请点击“违规举报”。

碎片内容

蜗牛文库的最新文档

二年级数学下册其中检测卷二年级数学下册其中检测卷附答案#期中测试卷.pdf
10.00金币
0下载
二年级数学下册期末质检卷(苏教版)二年级数学下册期末质检卷(苏教版)#期末复习 #期末测试卷 #二年级数学 #二年级数学下册#关注我持续更新小学知识.pdf
10.00金币
0下载
二年级数学下册期末混合运算专项练习二年级数学下册期末混合运算专项练习#二年级#二年级数学下册#关注我持续更新小学知识 #知识分享 #家长收藏孩子受益.pdf
10.00金币
1下载
二年级数学下册年月日三类周期问题解题方法二年级数学下册年月日三类周期问题解题方法#二年级#二年级数学下册#知识分享 #关注我持续更新小学知识 #家长收藏孩子受益.pdf
10.00金币
0下载
二年级数学下册解决问题专项训练二年级数学下册解决问题专项训练#专项训练#解决问题#二年级#二年级数学下册#知识分享.pdf
10.00金币
1下载
二年级数学下册还原问题二年级数学下册还原问题#二年级#二年级数学#关注我持续更新小学知识 #知识分享 #家长收藏孩子受益.pdf
10.00金币
1下载
二年级数学下册第六单元考试卷家长打印出来给孩子测试测试争取拿到高分!#小学二年级试卷分享 #二年级第六单考试数学 #第六单考试#二年级数学下册.pdf
10.00金币
0下载
二年级数学下册必背顺口溜口诀汇总二年级数学下册必背顺口溜口诀汇总#二年级#二年级数学下册 #知识分享 #家长收藏孩子受益 #关注我持续更新小学知识.pdf
10.00金币
0下载
二年级数学下册《重点难点思维题》两大问题解决技巧和方法巧算星期几解决周期问题还原问题强化思维训练老师精心整理家长可以打印出来给孩子练习#家长收藏孩子受益 #学霸秘籍 #思维训练 #二年级 #知识点总结.pdf
10.00金币
0下载
二年级数学下册 必背公式大全寒假提前背一背开学更轻松#二年级 #二年级数学 #二年级数学下册 #寒假充电计划 #公式.pdf
10.00金币
0下载
蜗牛文库+ 关注
实名认证
内容提供者

提供各种专业文档内容

确认删除?
QQ
  • QQ点击这里给我发消息
微信客服
  • 微信客服
回到顶部