电脑桌面
添加蜗牛文库到电脑桌面
安装后可以在桌面快捷访问

chapter4.6(1).pdfVIP免费

chapter4.6(1).pdf_第1页
chapter4.6(1).pdf_第2页
chapter4.6(1).pdf_第3页
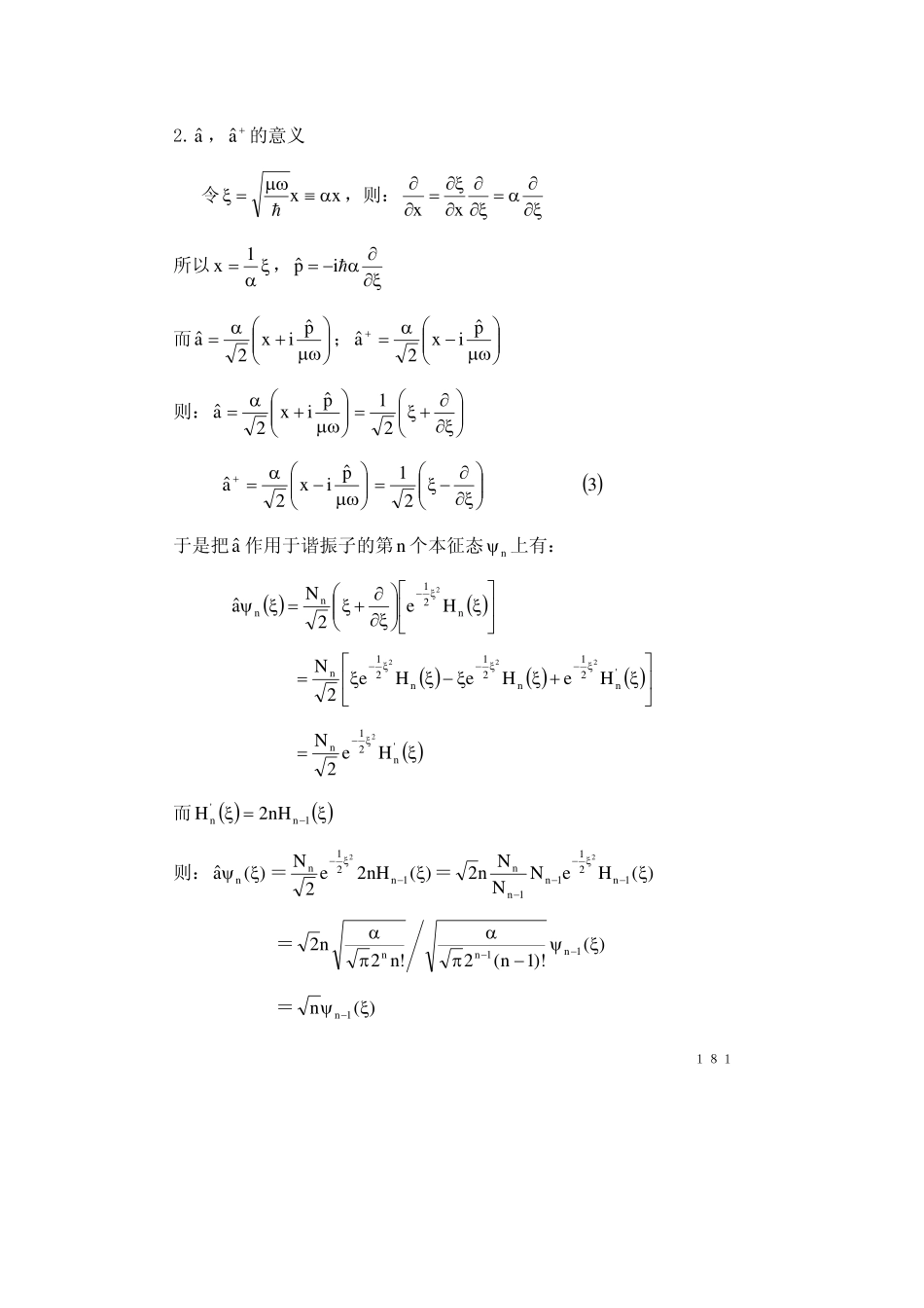
180§4.6线性谐振子与占有数表象重点:产生算符和湮灭算符,占有数表象难点:用产生算符和湮灭算符求解线性谐振子本征问题本节我们引进新算符aˆ,+aˆ,并用之于线性谐振子能量本征问题的求解,同时介绍占有数表象。一、引进新算符1.定义:⎟⎟⎠⎞⎜⎜⎝⎛∂∂μω+α=⎟⎟⎠⎞⎜⎜⎝⎛μω+α=xx2pˆix2aˆh⎟⎟⎠⎞⎜⎜⎝⎛∂∂μω−α=⎟⎟⎠⎞⎜⎜⎝⎛μω−α=+xx2pˆix2aˆh()1其中hμω=α,x,pˆ为厄米算符。说明:a.由于+≠aˆaˆ,故aˆ不是厄米算符。b.[]1aˆ,aˆ=+()2解释:[]⎥⎦⎤⎢⎣⎡⎟⎟⎠⎞⎜⎜⎝⎛μω−α⎟⎟⎠⎞⎜⎜⎝⎛μω+α=+pˆix2,pˆix2aˆ,aˆ⎭⎬⎫⎩⎨⎧⎥⎦⎤⎢⎣⎡μω+⎥⎦⎤⎢⎣⎡μω−α=x,pˆipˆi,x22[][]{}x,pˆpˆ,xi22+−μωα=而[]hipˆ,x=所以[]+aˆ,aˆ()1i2i22=μωμω=−μωα=hhh1812.aˆ,+aˆ的意义令xxα≡μω=ξh,则:ξ∂∂α=ξ∂∂∂ξ∂=∂∂xx所以ξα=1x,ξ∂∂α−=hipˆ而⎟⎟⎠⎞⎜⎜⎝⎛μω+α=pˆix2aˆ;⎟⎟⎠⎞⎜⎜⎝⎛μω−α=+pˆix2aˆ则:⎟⎟⎠⎞⎜⎜⎝⎛μω+α=pˆix2aˆ⎟⎟⎠⎞⎜⎜⎝⎛ξ∂∂+ξ=21⎟⎟⎠⎞⎜⎜⎝⎛μω−α=+pˆix2aˆ⎟⎟⎠⎞⎜⎜⎝⎛ξ∂∂−ξ=21()3于是把aˆ作用于谐振子的第n个本征态nψ上有:()()⎥⎦⎤⎢⎣⎡ξ⎟⎟⎠⎞⎜⎜⎝⎛ξ∂∂+ξ=ξψξ−n21nnHe2Naˆ2()()()⎥⎦⎤⎢⎣⎡ξ+ξξ−ξξ=ξ−ξ−ξ−'n21n21n21nHeHeHe2N222()ξ=ξ−'n21nHe2N2而()()ξ=ξ−1n'nnH2H则:)(aˆnξψ=)(nH2e2N1n21n2ξ−ξ−=)(HeNNNn21n211n1nn2ξ−ξ−−−=)()!1n(2!n2n21n1nnξψ−παπα−−=)(n1nξψ−182即:)x(aˆnψ=)x(n1n−ψ(4)同理得:)x(aˆnψ+=)x(1n1n+ψ+(学生自己证)。以上讨论都是在x表象中进行的,下用Dirac符号表示上式。由于)x(nψ=nx(x表象)则:)x(aˆnψ=)x(n1n−ψ⎯⎯⎯⎯⎯→⎯符号表象的Diracxnxdxxaˆx'''∫=1nxn−)x(aˆnψ+=)x(1n1n+ψ+⎯→⎯nxdxxaˆx'''+∫=1nx1n++利用x的本征矢的封闭性可进一步简化为:1nxnnaˆx−=;1nx1nnaˆx++=+若不用具体表象可写为:⎪⎩⎪⎨⎧++=−=+1n1nnaˆ1nnnaˆ(5)下面讨论(5)的物理意义:(此处借用§2.7的解)n、1n−和1n+为Hˆ的本征刃,对应于Hˆ的本征值分别为nE、1nE−和1nE+。由nE=ω+h)21n(=ω+ωhh21n可知,谐振子的能量nE等于ωh的n倍加零点能ωh21。谐振子的能量只能以ωh为单位改变,可把这个能量单位ωh看作一个粒子,则本...

1、当您付费下载文档后,您只拥有了使用权限,并不意味着购买了版权,文档只能用于自身使用,不得用于其他商业用途(如 [转卖]进行直接盈利或[编辑后售卖]进行间接盈利)。
2、本站所有内容均由合作方或网友上传,本站不对文档的完整性、权威性及其观点立场正确性做任何保证或承诺!文档内容仅供研究参考,付费前请自行鉴别。
3、如文档内容存在违规,或者侵犯商业秘密、侵犯著作权等,请点击“违规举报”。

碎片内容

蜗牛文库的最新文档

二年级数学下册其中检测卷二年级数学下册其中检测卷附答案#期中测试卷.pdf
10.00金币
0下载
二年级数学下册期末质检卷(苏教版)二年级数学下册期末质检卷(苏教版)#期末复习 #期末测试卷 #二年级数学 #二年级数学下册#关注我持续更新小学知识.pdf
10.00金币
0下载
二年级数学下册期末混合运算专项练习二年级数学下册期末混合运算专项练习#二年级#二年级数学下册#关注我持续更新小学知识 #知识分享 #家长收藏孩子受益.pdf
10.00金币
1下载
二年级数学下册年月日三类周期问题解题方法二年级数学下册年月日三类周期问题解题方法#二年级#二年级数学下册#知识分享 #关注我持续更新小学知识 #家长收藏孩子受益.pdf
10.00金币
0下载
二年级数学下册解决问题专项训练二年级数学下册解决问题专项训练#专项训练#解决问题#二年级#二年级数学下册#知识分享.pdf
10.00金币
1下载
二年级数学下册还原问题二年级数学下册还原问题#二年级#二年级数学#关注我持续更新小学知识 #知识分享 #家长收藏孩子受益.pdf
10.00金币
1下载
二年级数学下册第六单元考试卷家长打印出来给孩子测试测试争取拿到高分!#小学二年级试卷分享 #二年级第六单考试数学 #第六单考试#二年级数学下册.pdf
10.00金币
0下载
二年级数学下册必背顺口溜口诀汇总二年级数学下册必背顺口溜口诀汇总#二年级#二年级数学下册 #知识分享 #家长收藏孩子受益 #关注我持续更新小学知识.pdf
10.00金币
0下载
二年级数学下册《重点难点思维题》两大问题解决技巧和方法巧算星期几解决周期问题还原问题强化思维训练老师精心整理家长可以打印出来给孩子练习#家长收藏孩子受益 #学霸秘籍 #思维训练 #二年级 #知识点总结.pdf
10.00金币
0下载
二年级数学下册 必背公式大全寒假提前背一背开学更轻松#二年级 #二年级数学 #二年级数学下册 #寒假充电计划 #公式.pdf
10.00金币
0下载
蜗牛文库+ 关注
实名认证
内容提供者

提供各种专业文档内容

确认删除?
QQ
  • QQ点击这里给我发消息
微信客服
  • 微信客服
回到顶部