电脑桌面
添加蜗牛文库到电脑桌面
安装后可以在桌面快捷访问

最优刀具更换周期上界_检查间隔下界的证明.pdfVIP免费

最优刀具更换周期上界_检查间隔下界的证明.pdf_第1页
最优刀具更换周期上界_检查间隔下界的证明.pdf_第2页
最优刀具更换周期上界_检查间隔下界的证明.pdf_第3页
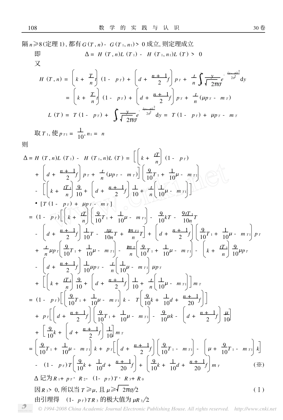
第30卷第1期2000年1月数学的实践与认识MATHEMATICSINPRACTICEANDTHEORYVol130No11Jan.2000最优刀具更换周期上界、检查间隔下界的证明闵孟斌(江苏宿迁师范专科学校,宿迁223800)摘要:本文针对99年大学生数学建模竞赛A题中问题1,利用目标函数求出了一般情况下刀具更换周期最优解T<Λ的一个充分条件及最优检查间隔的下界,并证明了问题1中刀具更换周期最优解T<551<Λ和检查间隔最优解n≥8.关键词:刀具更换周期;检查间隔;最优解收稿日期:1999211220;指导教师:朱道元通过分析题目给出的100次刀具发生故障时所生产的零件数,易得工序发生故障服从截尾正态分布,其概率分布函数为px=F(x)=∫x012ΠΡe-(y-Λ)22Ρ2dy,其中Ρ=196,Λ=600.在问题1的情况下,工序故障时生产的零件全为不合格品,正常时生产的零件均为合格品,我们要解决的问题是最好的检查间隔和最优的刀具更换周期,当刀具的寿命X

1、当您付费下载文档后,您只拥有了使用权限,并不意味着购买了版权,文档只能用于自身使用,不得用于其他商业用途(如 [转卖]进行直接盈利或[编辑后售卖]进行间接盈利)。
2、本站所有内容均由合作方或网友上传,本站不对文档的完整性、权威性及其观点立场正确性做任何保证或承诺!文档内容仅供研究参考,付费前请自行鉴别。
3、如文档内容存在违规,或者侵犯商业秘密、侵犯著作权等,请点击“违规举报”。

碎片内容

蜗牛文库的最新文档

二年级数学下册其中检测卷二年级数学下册其中检测卷附答案#期中测试卷.pdf
10.00金币
0下载
二年级数学下册期末质检卷(苏教版)二年级数学下册期末质检卷(苏教版)#期末复习 #期末测试卷 #二年级数学 #二年级数学下册#关注我持续更新小学知识.pdf
10.00金币
0下载
二年级数学下册期末混合运算专项练习二年级数学下册期末混合运算专项练习#二年级#二年级数学下册#关注我持续更新小学知识 #知识分享 #家长收藏孩子受益.pdf
10.00金币
1下载
二年级数学下册年月日三类周期问题解题方法二年级数学下册年月日三类周期问题解题方法#二年级#二年级数学下册#知识分享 #关注我持续更新小学知识 #家长收藏孩子受益.pdf
10.00金币
0下载
二年级数学下册解决问题专项训练二年级数学下册解决问题专项训练#专项训练#解决问题#二年级#二年级数学下册#知识分享.pdf
10.00金币
1下载
二年级数学下册还原问题二年级数学下册还原问题#二年级#二年级数学#关注我持续更新小学知识 #知识分享 #家长收藏孩子受益.pdf
10.00金币
1下载
二年级数学下册第六单元考试卷家长打印出来给孩子测试测试争取拿到高分!#小学二年级试卷分享 #二年级第六单考试数学 #第六单考试#二年级数学下册.pdf
10.00金币
0下载
二年级数学下册必背顺口溜口诀汇总二年级数学下册必背顺口溜口诀汇总#二年级#二年级数学下册 #知识分享 #家长收藏孩子受益 #关注我持续更新小学知识.pdf
10.00金币
0下载
二年级数学下册《重点难点思维题》两大问题解决技巧和方法巧算星期几解决周期问题还原问题强化思维训练老师精心整理家长可以打印出来给孩子练习#家长收藏孩子受益 #学霸秘籍 #思维训练 #二年级 #知识点总结.pdf
10.00金币
0下载
二年级数学下册 必背公式大全寒假提前背一背开学更轻松#二年级 #二年级数学 #二年级数学下册 #寒假充电计划 #公式.pdf
10.00金币
0下载
蜗牛文库+ 关注
实名认证
内容提供者

提供各种专业文档内容

确认删除?
QQ
  • QQ点击这里给我发消息
微信客服
  • 微信客服