电脑桌面
添加蜗牛文库到电脑桌面
安装后可以在桌面快捷访问

3ea36520-9304-11eb-b897-ab46269cace0作业答案29(382-392)(周洋鑫)考研资料(1).pdfVIP免费

3ea36520-9304-11eb-b897-ab46269cace0作业答案29(382-392)(周洋鑫)考研资料(1).pdf_第1页
3ea36520-9304-11eb-b897-ab46269cace0作业答案29(382-392)(周洋鑫)考研资料(1).pdf_第2页
3ea36520-9304-11eb-b897-ab46269cace0作业答案29(382-392)(周洋鑫)考研资料(1).pdf_第3页
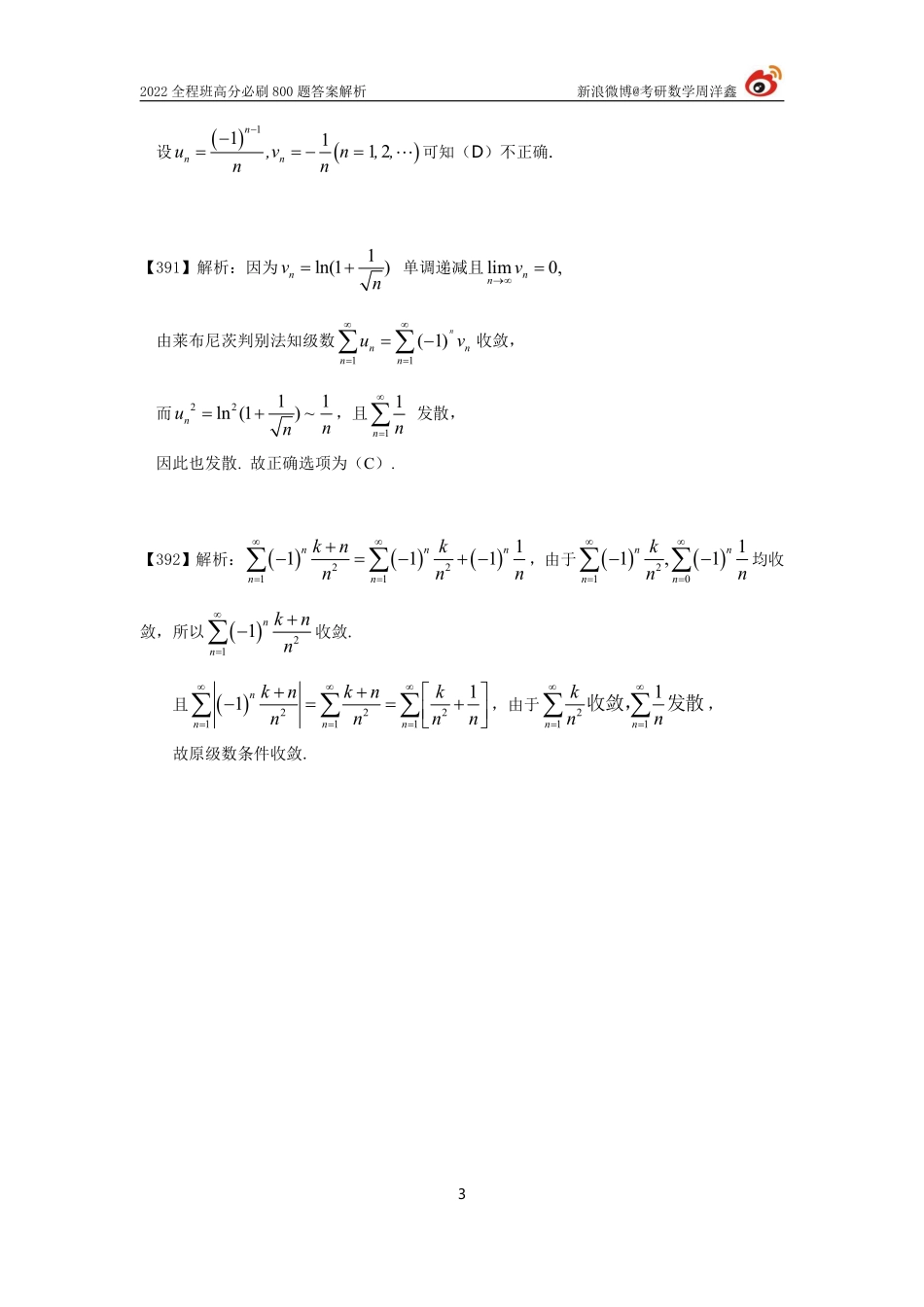
2022全程班高分必刷800题答案解析新浪微博@考研数学周洋鑫12022年督学班高分必刷800题作业答案第九章无穷级数【382】解析:由于1nna收敛,则11nna收敛,所以112nnnaa也收敛.故答案选D.注:数项级数敛散性判别通常可利用举反例排除错误选项.取(1)nnan,可排除A,B选项;取(1)nnan,排除C选项.【383】解析:此题考查正项级数的敛散性。由于1nna收敛,且0na,则21nna收敛;考虑21tannnnan,其中22tannnnaan,故原级数绝对收敛,答案选A.【384】解析:此题考查常数项级数的敛散性判别。①lnln11e1nnnnnnn,该级数发散;②2211cos2kknn,该级数绝对收敛;③2111ln1nnn,该级数收敛;④2111ln12nnn,该级数收敛。故答案为3个,选C.【385】解析:此题考查阿贝尔定理。11nnnax在2x处收敛,则在4,2区间内绝对收敛;13nnna可能条件收敛,也可能绝对收敛,12nnna绝对收敛,即112nnnna绝对收敛,故答案选B.【386】解析:此题考查幂级数的收敛区间、收敛域。幂级数在收敛域的端点处可能条件收敛,A错误;幂2022全程班高分必刷800题答案解析新浪微博@考研数学周洋鑫2级数0nnnax在点0x处收敛,在0xx时也可能收敛,B错误;幂级数0nnnax在0xx处收敛,则在0xx处可能绝对收敛;D选项由收敛半径定义可知正确,故选D.【387】解析:敛散性的判定通常举反例进行排除.取nnanln1,则nnnalim=0,但11ln1nnnnna发散,排除(A),(D);又取nnan1,则级数1nna收敛,但nnan2lim,排除(C),故答案应选(B).【388】解析:此题考查函数项级数收敛域的求法。212212lim2112nnnxnxnx,可知收敛区间为1,3;考虑1x时,级数发散,故收敛域为1,3,答案选B.【389】解析:此题考查无穷级数的性质与敛散性。①加括号后收敛,原级数不一定收敛,如1,1,1,1;②改变级数前有限项不影响级数的敛散性,正确;③若1lim1nnnuu,则limnnu,级数一定发散;④若1nnnuv收敛,则可能1nnu,1nnv都发散。故答案选B.【390】解析:由于级数21nnu和21nnv都收敛,可见级数221nnnuv收敛.由不等式222nnnnuvuv及比较判别法知级数12nnnuv收敛,从而...

1、当您付费下载文档后,您只拥有了使用权限,并不意味着购买了版权,文档只能用于自身使用,不得用于其他商业用途(如 [转卖]进行直接盈利或[编辑后售卖]进行间接盈利)。
2、本站所有内容均由合作方或网友上传,本站不对文档的完整性、权威性及其观点立场正确性做任何保证或承诺!文档内容仅供研究参考,付费前请自行鉴别。
3、如文档内容存在违规,或者侵犯商业秘密、侵犯著作权等,请点击“违规举报”。

碎片内容

蜗牛文库的最新文档

二年级数学下册其中检测卷二年级数学下册其中检测卷附答案#期中测试卷.pdf
10.00金币
0下载
二年级数学下册期末质检卷(苏教版)二年级数学下册期末质检卷(苏教版)#期末复习 #期末测试卷 #二年级数学 #二年级数学下册#关注我持续更新小学知识.pdf
10.00金币
0下载
二年级数学下册期末混合运算专项练习二年级数学下册期末混合运算专项练习#二年级#二年级数学下册#关注我持续更新小学知识 #知识分享 #家长收藏孩子受益.pdf
10.00金币
1下载
二年级数学下册年月日三类周期问题解题方法二年级数学下册年月日三类周期问题解题方法#二年级#二年级数学下册#知识分享 #关注我持续更新小学知识 #家长收藏孩子受益.pdf
10.00金币
0下载
二年级数学下册解决问题专项训练二年级数学下册解决问题专项训练#专项训练#解决问题#二年级#二年级数学下册#知识分享.pdf
10.00金币
1下载
二年级数学下册还原问题二年级数学下册还原问题#二年级#二年级数学#关注我持续更新小学知识 #知识分享 #家长收藏孩子受益.pdf
10.00金币
1下载
二年级数学下册第六单元考试卷家长打印出来给孩子测试测试争取拿到高分!#小学二年级试卷分享 #二年级第六单考试数学 #第六单考试#二年级数学下册.pdf
10.00金币
0下载
二年级数学下册必背顺口溜口诀汇总二年级数学下册必背顺口溜口诀汇总#二年级#二年级数学下册 #知识分享 #家长收藏孩子受益 #关注我持续更新小学知识.pdf
10.00金币
0下载
二年级数学下册《重点难点思维题》两大问题解决技巧和方法巧算星期几解决周期问题还原问题强化思维训练老师精心整理家长可以打印出来给孩子练习#家长收藏孩子受益 #学霸秘籍 #思维训练 #二年级 #知识点总结.pdf
10.00金币
0下载
二年级数学下册 必背公式大全寒假提前背一背开学更轻松#二年级 #二年级数学 #二年级数学下册 #寒假充电计划 #公式.pdf
10.00金币
0下载
蜗牛文库+ 关注
实名认证
内容提供者

提供各种专业文档内容

确认删除?
QQ
  • QQ点击这里给我发消息
微信客服
  • 微信客服
回到顶部