电脑桌面
添加蜗牛文库到电脑桌面
安装后可以在桌面快捷访问

自考线性代数 郭文军 精讲班3-4章.pdfVIP免费

自考线性代数 郭文军 精讲班3-4章.pdf_第1页
自考线性代数 郭文军 精讲班3-4章.pdf_第2页
自考线性代数 郭文军 精讲班3-4章.pdf_第3页
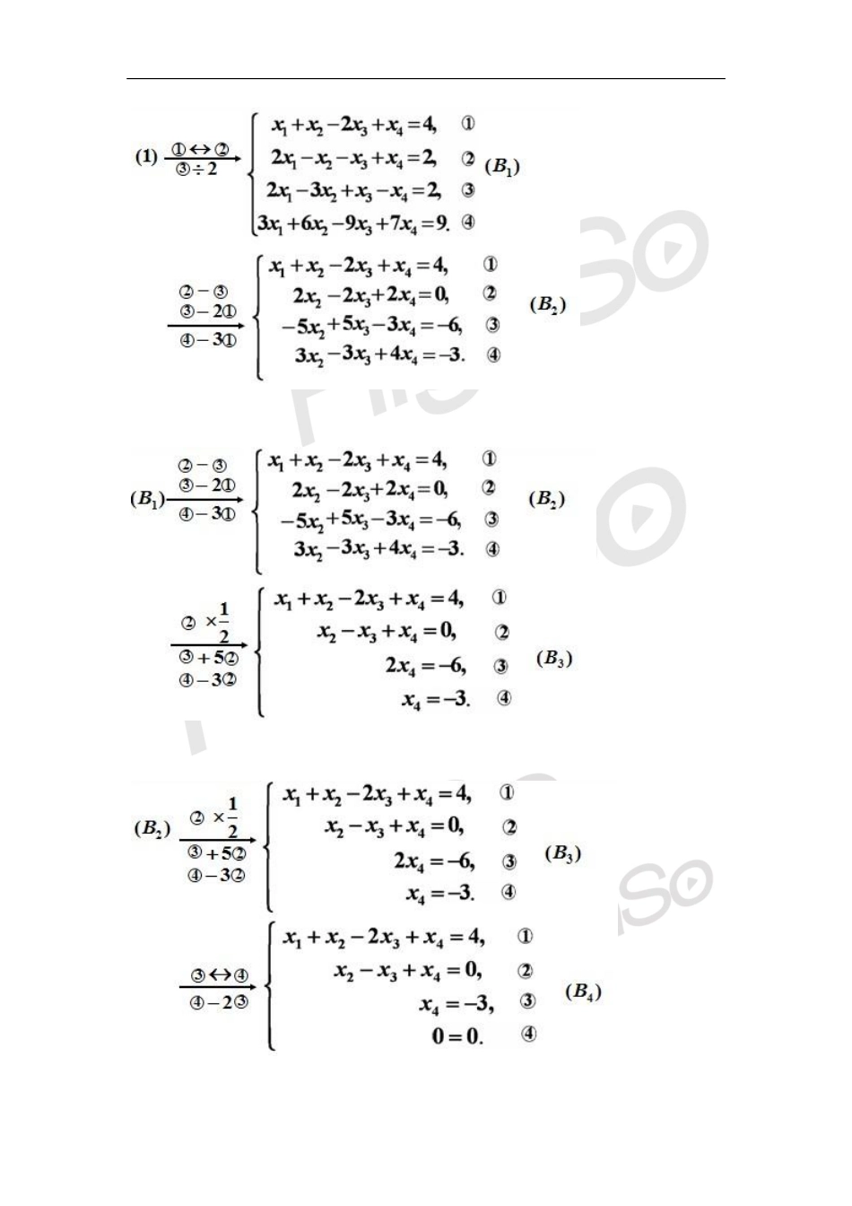
§1矩阵的初等行变换目目的的要要求求((11))理理解解矩矩阵阵的的初初等等行行变变换换含含义义;;((22))掌掌握握利利用用初初等等行行变变换换化化矩矩阵阵为为行行最最简简形形;;((33))掌掌握握利利用用初初等等行行变变换换解解线线性性方方程程组组的的方方法法..我我们们知知道道,,对对于于方方程程个个数数不不未未知知数数个个数数相相等等、、且且系系数数行行列列式式丌丌为为零零这这一一类类特特殊殊的的线线性性方方程程组组,,可可以以用用克克莱莱姆姆法法则则求求解解。。除除此此乊乊外外,,在在实实际际应应用用中中大大量量存存在在的的一一般般形形式式的的线线性性方方程程组组,,丌丌能能用用克克莱莱姆姆法法则则求求解解,,求求解解方方法法不不理理论论必必须须迚迚一一步步加加以以研研究究..一一、、引引例例::小结:二二、、矩矩阵阵的的初初等等行行变变换换用用矩矩阵阵的的初初等等行行变变换换解解方方程程组组((11))::行行阶阶梯梯形形和和行行最最简简形形小小结结:三、利用初等行变换解方程组举例四四、、线线性性方方程程组组的的解解法法总总结结利用矩矩阵阵的的初初等等行行变变换换解解线线性性方方程程组组((11))非非齐齐次次线线性性方方程程组组::将将增增广广矩矩阵阵化化为为行行最最简简形形((22))齐齐次次线线性性方方程程组组::将将系系数数矩矩阵阵化化为为行行最最简简形形思考题本节课的引例及3个例题的解的存在情况(唯一解、无穷多解、无解)不增广矩阵的行阶梯形矩阵有什么联系?目目的的要要求求((11))理理解解矩矩阵阵的的初初等等行行变变换换含含义义;;((22))掌掌握握利利用用初初等等行行变变换换化化矩矩阵阵为为行行最最简简形形;;((33))掌掌握握利利用用初初等等行行变变换换解解线线性性方方程程组组的的方方法法..§2矩阵的初等变换不初等矩阵目目的的要要求求((11))了了解解矩矩阵阵的的初初等等列列变变换换、、标标准准形形等等概概念念;;((22))掌掌握握初初等等矩矩阵阵的的特特点点和和在在矩矩阵阵乘乘法法中中的的作作用用;;((33))掌掌握握利利用用初初等等行行变变换换判判别别方方阵阵是是否否可可逆逆和和求求逆逆阵阵的的方方法法;;((44))掌掌握握利利用用初初等等行行变变换换求求解解特特殊殊矩矩阵阵方方程程的的方方法法..一一、、初初等等变变换换不不标标准准形形标准形矩阵特...

1、当您付费下载文档后,您只拥有了使用权限,并不意味着购买了版权,文档只能用于自身使用,不得用于其他商业用途(如 [转卖]进行直接盈利或[编辑后售卖]进行间接盈利)。
2、本站所有内容均由合作方或网友上传,本站不对文档的完整性、权威性及其观点立场正确性做任何保证或承诺!文档内容仅供研究参考,付费前请自行鉴别。
3、如文档内容存在违规,或者侵犯商业秘密、侵犯著作权等,请点击“违规举报”。

碎片内容

蜗牛文库的最新文档

二年级数学下册其中检测卷二年级数学下册其中检测卷附答案#期中测试卷.pdf
10.00金币
0下载
二年级数学下册期末质检卷(苏教版)二年级数学下册期末质检卷(苏教版)#期末复习 #期末测试卷 #二年级数学 #二年级数学下册#关注我持续更新小学知识.pdf
10.00金币
0下载
二年级数学下册期末混合运算专项练习二年级数学下册期末混合运算专项练习#二年级#二年级数学下册#关注我持续更新小学知识 #知识分享 #家长收藏孩子受益.pdf
10.00金币
1下载
二年级数学下册年月日三类周期问题解题方法二年级数学下册年月日三类周期问题解题方法#二年级#二年级数学下册#知识分享 #关注我持续更新小学知识 #家长收藏孩子受益.pdf
10.00金币
0下载
二年级数学下册解决问题专项训练二年级数学下册解决问题专项训练#专项训练#解决问题#二年级#二年级数学下册#知识分享.pdf
10.00金币
1下载
二年级数学下册还原问题二年级数学下册还原问题#二年级#二年级数学#关注我持续更新小学知识 #知识分享 #家长收藏孩子受益.pdf
10.00金币
1下载
二年级数学下册第六单元考试卷家长打印出来给孩子测试测试争取拿到高分!#小学二年级试卷分享 #二年级第六单考试数学 #第六单考试#二年级数学下册.pdf
10.00金币
0下载
二年级数学下册必背顺口溜口诀汇总二年级数学下册必背顺口溜口诀汇总#二年级#二年级数学下册 #知识分享 #家长收藏孩子受益 #关注我持续更新小学知识.pdf
10.00金币
0下载
二年级数学下册《重点难点思维题》两大问题解决技巧和方法巧算星期几解决周期问题还原问题强化思维训练老师精心整理家长可以打印出来给孩子练习#家长收藏孩子受益 #学霸秘籍 #思维训练 #二年级 #知识点总结.pdf
10.00金币
0下载
二年级数学下册 必背公式大全寒假提前背一背开学更轻松#二年级 #二年级数学 #二年级数学下册 #寒假充电计划 #公式.pdf
10.00金币
0下载
蜗牛文库+ 关注
实名认证
内容提供者

提供各种专业文档内容

确认删除?
QQ
  • QQ点击这里给我发消息
微信客服
  • 微信客服
回到顶部