电脑桌面
添加蜗牛文库到电脑桌面
安装后可以在桌面快捷访问

2.4指数、对数运算-2022届高考数学一轮复习讲义.docxVIP免费

2.4指数、对数运算-2022届高考数学一轮复习讲义.docx_第1页
2.4指数、对数运算-2022届高考数学一轮复习讲义.docx_第2页
2.4指数、对数运算-2022届高考数学一轮复习讲义.docx_第3页
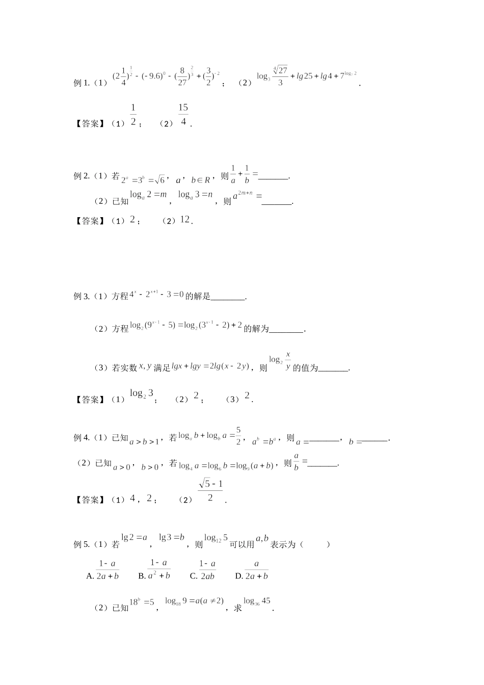
2.4指数、对数运算一、学习目标1.掌握指数式和对数式中的相关概念;2.掌握指数运算、对数运算的法则;3.会比较指数式与对数式的大小.二、知识要点1.根式:概念若,则叫做的次方根,其中①是奇数时,的次方根为.②是偶数时,正数的次方根为,负数的偶次方根没有意义;0的任何次方根都是0.的性质2.分数指数幂与根式的互化:①;②.(其中,且)3.指数幂的运算性质:①;②;③(其中)4.对数的运算公式:对数概念,其中且基本结论①;②;③.基本性质①;②;③换底公式(且)推广①;②;③三、课前热身:1.计算:_______,______,______,_______.【答案】,,,.2.计算:_________,_______.【答案】,.3.计算:已知,,则_______,_______.【答案】;.4.计算:_______,______,______.【答案】,,.5.计算:_______.【答案】四、典例分析例1.(1);(2).【答案】(1);(2).例2.(1)若,,,则_______.(2)已知,,则_______.【答案】(1);(2).例3.(1)方程的解是________.(2)方程的解为________.(3)若实数满足,则的值为_______.【答案】(1);(2);(3).例4.(1)已知,若,,则_______,______.(2)已知,,若,则_______.【答案】(1),;(2).例5.(1)若,,则可以用表示为()A.B.C.D.(2)已知,,求.【答案】(1)A;(2).五、课外作业1.下列各式中,正确的是()A.B.C.D.【答案】D2.计算:A.B.C.D.【答案】A3.设,,均为不等于1的正实数,则下列等式中恒成立的是()A.B.C.D.【答案】B4.已知,为正实数,则()A.B.C.D.【答案】D5.已知,,则()A.B.C.D.【答案】C6.根据有关资料,围棋状态空间复杂度的上限约为,而可观测宇宙中普通物质的原子总数约为,则下列各数中与最接近的是()(参考数据:A.B.C.D.【答案】D7.方程的解是_______.【答案】8.若,则_______.【答案】9.设,且,则_______.【答案】10.里氏震级的计算公式为:,其中是测震仪记录的地震曲线的最大振幅,是相应的标准地震的振幅,假设在一次地震中,测震仪记录的最大振幅是1000,此时标准地震的振幅为0.001,则此次地震的震级为级;9级地震的最大的振幅是5级地震最大振幅的倍.【答案】6,10000.11.已知实数、满足以,则________.【答案】212.已知正数满足,,则______.【答案】4或5提高题:1.设,,则()A.B.C.D.【答案】B2.设,,均为正数,且,则()A.B.C.D.【答案】D3.若正数满足,则的值为_______.【答案】108

1、当您付费下载文档后,您只拥有了使用权限,并不意味着购买了版权,文档只能用于自身使用,不得用于其他商业用途(如 [转卖]进行直接盈利或[编辑后售卖]进行间接盈利)。
2、本站所有内容均由合作方或网友上传,本站不对文档的完整性、权威性及其观点立场正确性做任何保证或承诺!文档内容仅供研究参考,付费前请自行鉴别。
3、如文档内容存在违规,或者侵犯商业秘密、侵犯著作权等,请点击“违规举报”。

碎片内容

蜗牛文库的最新文档

二年级数学下册其中检测卷二年级数学下册其中检测卷附答案#期中测试卷.pdf
10.00金币
0下载
二年级数学下册期末质检卷(苏教版)二年级数学下册期末质检卷(苏教版)#期末复习 #期末测试卷 #二年级数学 #二年级数学下册#关注我持续更新小学知识.pdf
10.00金币
0下载
二年级数学下册期末混合运算专项练习二年级数学下册期末混合运算专项练习#二年级#二年级数学下册#关注我持续更新小学知识 #知识分享 #家长收藏孩子受益.pdf
10.00金币
1下载
二年级数学下册年月日三类周期问题解题方法二年级数学下册年月日三类周期问题解题方法#二年级#二年级数学下册#知识分享 #关注我持续更新小学知识 #家长收藏孩子受益.pdf
10.00金币
0下载
二年级数学下册解决问题专项训练二年级数学下册解决问题专项训练#专项训练#解决问题#二年级#二年级数学下册#知识分享.pdf
10.00金币
1下载
二年级数学下册还原问题二年级数学下册还原问题#二年级#二年级数学#关注我持续更新小学知识 #知识分享 #家长收藏孩子受益.pdf
10.00金币
1下载
二年级数学下册第六单元考试卷家长打印出来给孩子测试测试争取拿到高分!#小学二年级试卷分享 #二年级第六单考试数学 #第六单考试#二年级数学下册.pdf
10.00金币
0下载
二年级数学下册必背顺口溜口诀汇总二年级数学下册必背顺口溜口诀汇总#二年级#二年级数学下册 #知识分享 #家长收藏孩子受益 #关注我持续更新小学知识.pdf
10.00金币
0下载
二年级数学下册《重点难点思维题》两大问题解决技巧和方法巧算星期几解决周期问题还原问题强化思维训练老师精心整理家长可以打印出来给孩子练习#家长收藏孩子受益 #学霸秘籍 #思维训练 #二年级 #知识点总结.pdf
10.00金币
0下载
二年级数学下册 必背公式大全寒假提前背一背开学更轻松#二年级 #二年级数学 #二年级数学下册 #寒假充电计划 #公式.pdf
10.00金币
0下载
蜗牛文库+ 关注
实名认证
内容提供者

提供各种专业文档内容

确认删除?
QQ
  • QQ点击这里给我发消息
微信客服
  • 微信客服
回到顶部