电脑桌面
添加蜗牛文库到电脑桌面
安装后可以在桌面快捷访问

2.4 圆的方程(第1课时)(教学课件)-2023-2024学年高二数学同步精品课堂(人教A版2019选择性必修第一册).pptxVIP免费

2.4 圆的方程(第1课时)(教学课件)-2023-2024学年高二数学同步精品课堂(人教A版2019选择性必修第一册).pptx2.4 圆的方程(第1课时)(教学课件)-2023-2024学年高二数学同步精品课堂(人教A版2019选择性必修第一册).pptx2.4 圆的方程(第1课时)(教学课件)-2023-2024学年高二数学同步精品课堂(人教A版2019选择性必修第一册).pptx2.4 圆的方程(第1课时)(教学课件)-2023-2024学年高二数学同步精品课堂(人教A版2019选择性必修第一册).pptx
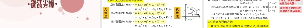
2.4圆的方程第1课时选择性必修第一册第二章《直线和圆的方程》问题1:在平面直角坐标系中,确定一个圆的要素是什么?圆心位置半径大小yxOAM问题2:如何用圆心坐标(a,b)和半径r来表示圆上任意一点(x,y)中的x,y所满足的方程?rbyax22)()(222)()(rbyax}||{rMAM圆是平面上到定点的距离等于定长的点的集合新知1:圆的标准方程:圆的标准方程为222)()(rbyaxabr222,ryx方程为②圆心在原点时.____,)3,1(222mmyxP则实数上在圆③若点.____,)3,1(222则该圆的半径为上在圆④若点myxP._______,93222半径为的圆心为①圆yx._______,16624222ryx半径的圆心坐标为②圆的方程是(-2,3)3(-2,3)2432:22yx化为标准方程析±22rbaA半径为圆心为),,(),(,0bar方程表示点时①思考与探究222)()(rbyax圆的标准方程为问题3:圆的标准方程展开后会得出怎样的形式?02222222rbabyaxyx二次项DEF022FEyDxyx一次项常数项任何一个圆的方程都是二元二次方程问题4:任何一个形如x2+y2+Dx+Ey+F=0的二元二次方程表示的曲线都是圆吗?思考与探究022FEyDxyx任何一个圆的方程都是二元二次方程:问题4:任何一个形如x2+y2+Dx+Ey+F=0的二元二次方程都表示圆吗?44)2()2(2222FEDEyDx整理得,0422时①FED,)2,2(为圆心方程表示以ED,0422时②FED).2,2(ED方程表示点.2422为半径的圆以FED,0422时③FED.,不表示任何图形方程无实数解任何一个二元二次方程不一定表示圆.二元二次方程圆的方程新知2:圆的一般方程DEF,0422时当FED.022叫做圆的一般方程方程FEyDxyx.2422FED半径为),2,2(ED圆心为P88-2.下列方程各表示什么图形?02)3(0642)2(0)1(2222222baxyxyxyxyx)0,0(点11)2()1(22yx的圆半径为圆心为11),2,1(2222)(bayax)0,0(,0,022方程表示点时①baba的圆半径为方程表示圆心为时②2222),0,(,0baaba概念运用与巩固:求圆的方程.)1,5(),3,8(]1[的圆的方程且经过点写出圆心为例MC.),8,2(),3,7(),1,5(]2[求它的外接圆的方程的三个顶点坐标分别为已知例CBAABC.,01:),2,2()1,1(]3[求该圆的标准方程上直线在且圆心和的圆经过点已知圆心为例yxlCBAC概念运用与巩固:求圆的方程——①知圆心和圆上一点.)1,5(),3,8(]1[的圆的方...

1、当您付费下载文档后,您只拥有了使用权限,并不意味着购买了版权,文档只能用于自身使用,不得用于其他商业用途(如 [转卖]进行直接盈利或[编辑后售卖]进行间接盈利)。
2、本站所有内容均由合作方或网友上传,本站不对文档的完整性、权威性及其观点立场正确性做任何保证或承诺!文档内容仅供研究参考,付费前请自行鉴别。
3、如文档内容存在违规,或者侵犯商业秘密、侵犯著作权等,请点击“违规举报”。

碎片内容

蜗牛文库的最新文档

二年级数学下册其中检测卷二年级数学下册其中检测卷附答案#期中测试卷.pdf
10.00金币
0下载
二年级数学下册期末质检卷(苏教版)二年级数学下册期末质检卷(苏教版)#期末复习 #期末测试卷 #二年级数学 #二年级数学下册#关注我持续更新小学知识.pdf
10.00金币
0下载
二年级数学下册期末混合运算专项练习二年级数学下册期末混合运算专项练习#二年级#二年级数学下册#关注我持续更新小学知识 #知识分享 #家长收藏孩子受益.pdf
10.00金币
1下载
二年级数学下册年月日三类周期问题解题方法二年级数学下册年月日三类周期问题解题方法#二年级#二年级数学下册#知识分享 #关注我持续更新小学知识 #家长收藏孩子受益.pdf
10.00金币
0下载
二年级数学下册解决问题专项训练二年级数学下册解决问题专项训练#专项训练#解决问题#二年级#二年级数学下册#知识分享.pdf
10.00金币
1下载
二年级数学下册还原问题二年级数学下册还原问题#二年级#二年级数学#关注我持续更新小学知识 #知识分享 #家长收藏孩子受益.pdf
10.00金币
1下载
二年级数学下册第六单元考试卷家长打印出来给孩子测试测试争取拿到高分!#小学二年级试卷分享 #二年级第六单考试数学 #第六单考试#二年级数学下册.pdf
10.00金币
0下载
二年级数学下册必背顺口溜口诀汇总二年级数学下册必背顺口溜口诀汇总#二年级#二年级数学下册 #知识分享 #家长收藏孩子受益 #关注我持续更新小学知识.pdf
10.00金币
0下载
二年级数学下册《重点难点思维题》两大问题解决技巧和方法巧算星期几解决周期问题还原问题强化思维训练老师精心整理家长可以打印出来给孩子练习#家长收藏孩子受益 #学霸秘籍 #思维训练 #二年级 #知识点总结.pdf
10.00金币
0下载
二年级数学下册 必背公式大全寒假提前背一背开学更轻松#二年级 #二年级数学 #二年级数学下册 #寒假充电计划 #公式.pdf
10.00金币
0下载
蜗牛文库+ 关注
实名认证
内容提供者

提供各种专业文档内容

确认删除?
QQ
  • QQ点击这里给我发消息
微信客服
  • 微信客服
回到顶部