电脑桌面
添加蜗牛文库到电脑桌面
安装后可以在桌面快捷访问

1.1.1 空间向量及其线性运算(教学课件)-【上好课】2022-2023学年高二数学同步备课系列(人教A版2019选择性必修第一册).pptxVIP免费

1.1.1 空间向量及其线性运算(教学课件)-【上好课】2022-2023学年高二数学同步备课系列(人教A版2019选择性必修第一册).pptx1.1.1 空间向量及其线性运算(教学课件)-【上好课】2022-2023学年高二数学同步备课系列(人教A版2019选择性必修第一册).pptx1.1.1 空间向量及其线性运算(教学课件)-【上好课】2022-2023学年高二数学同步备课系列(人教A版2019选择性必修第一册).pptx1.1.1 空间向量及其线性运算(教学课件)-【上好课】2022-2023学年高二数学同步备课系列(人教A版2019选择性必修第一册).pptx
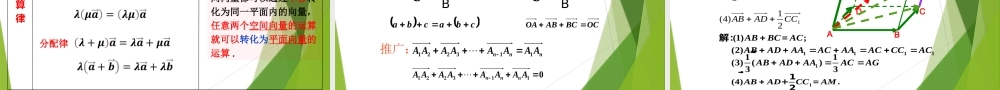
1.1.1空间向量及其线性运算第1章空间向量与立体几何人教A版2019选修第一册01空间向量的有关概念02空间向量的线性运算03共线向量04共面向量目录学习目标1.经历向量及其运算由平面空间推广的过程,了解空间向量的概念,发展数学抽象素养;2.掌握空间向量的加法、减法、数乘运算及其表示;3.掌握空间向量加法、减法、数乘的运算律;4.借助向量的线性运算的学习,提升数学运算素养.通过“平面向量及其运用”的学习,我们知道,平面内的点、直线可以通过平面向量及其运算来表示,它们之间的平行、垂直、夹角、距离等关系可以通过平面向量运算而得到,从而有关平面图形的问题可以利用平面向量的方法解决.在“立体几何初步”中,我们用综合几何方法研究了空间几何体的结构特征以及空间点、直线、平面的位置关系.一个自然的想法是,能否把平面向量推广到空间向量,从而利用空间向量表示空间中点、直线、平面等基本元素,通过空间向量运算解决立体几何问题.在本章,我们就来研究这些问题.1、定义:平面内既有大小又有方向的量。几何表示法:用有向线段表示字母表示法:用小写字母表示,或者用表示向量的有向线段的起点和终点字母表示。相等向量:长度相等且方向相同的向量ABCD2、表示法:知识回顾向量加法的三角形法则ab向量加法的平行四边形法则ba向量减法的三角形法则aba-ba+ba(k>0)ka(k<0)k向量的数乘a首尾相接,首尾连共起点,对角线共起点,连终点,指向被减向量||||||akak知识回顾abba加法交换律:加法结合律:数乘分配律:()()abcabc()kabkakb+()abcabc()kmakama+()()kmakmakma知识回顾(1)首尾相接的若干向量之和,等于由起始向量的起点指向末尾向量的终点的向量;nnnAAAAAAAAAA11433221(2)首尾相接的若干向量若构成一个封闭图形,则它们的和为零向量。01433221AAAAAAAAn知识回顾这是一个做滑翔伞运动的场景.你能想象,在滑翔过程中,飞行员会受到来自哪些不同方向、大小各异的力吗?引例1这是一个做滑翔伞运动的场景.可以想象,在滑翔过程中,飞行员会受到来自不同方向、大小各异的力.情景引入已知F1=10N,F2=15N,F3=15N,这三个力两两之间的夹角都为90度,它们的合力的大小为多少N?F3F1F2这需要进一步来认识空间中的向量1.空间向量的有关概念AB起点终点定义:既有大小又有方向的量。表示几何表示法:有向线段符号...

1、当您付费下载文档后,您只拥有了使用权限,并不意味着购买了版权,文档只能用于自身使用,不得用于其他商业用途(如 [转卖]进行直接盈利或[编辑后售卖]进行间接盈利)。
2、本站所有内容均由合作方或网友上传,本站不对文档的完整性、权威性及其观点立场正确性做任何保证或承诺!文档内容仅供研究参考,付费前请自行鉴别。
3、如文档内容存在违规,或者侵犯商业秘密、侵犯著作权等,请点击“违规举报”。

碎片内容

蜗牛文库的最新文档

二年级数学下册其中检测卷二年级数学下册其中检测卷附答案#期中测试卷.pdf
10.00金币
0下载
二年级数学下册期末质检卷(苏教版)二年级数学下册期末质检卷(苏教版)#期末复习 #期末测试卷 #二年级数学 #二年级数学下册#关注我持续更新小学知识.pdf
10.00金币
0下载
二年级数学下册期末混合运算专项练习二年级数学下册期末混合运算专项练习#二年级#二年级数学下册#关注我持续更新小学知识 #知识分享 #家长收藏孩子受益.pdf
10.00金币
1下载
二年级数学下册年月日三类周期问题解题方法二年级数学下册年月日三类周期问题解题方法#二年级#二年级数学下册#知识分享 #关注我持续更新小学知识 #家长收藏孩子受益.pdf
10.00金币
0下载
二年级数学下册解决问题专项训练二年级数学下册解决问题专项训练#专项训练#解决问题#二年级#二年级数学下册#知识分享.pdf
10.00金币
1下载
二年级数学下册还原问题二年级数学下册还原问题#二年级#二年级数学#关注我持续更新小学知识 #知识分享 #家长收藏孩子受益.pdf
10.00金币
1下载
二年级数学下册第六单元考试卷家长打印出来给孩子测试测试争取拿到高分!#小学二年级试卷分享 #二年级第六单考试数学 #第六单考试#二年级数学下册.pdf
10.00金币
0下载
二年级数学下册必背顺口溜口诀汇总二年级数学下册必背顺口溜口诀汇总#二年级#二年级数学下册 #知识分享 #家长收藏孩子受益 #关注我持续更新小学知识.pdf
10.00金币
0下载
二年级数学下册《重点难点思维题》两大问题解决技巧和方法巧算星期几解决周期问题还原问题强化思维训练老师精心整理家长可以打印出来给孩子练习#家长收藏孩子受益 #学霸秘籍 #思维训练 #二年级 #知识点总结.pdf
10.00金币
0下载
二年级数学下册 必背公式大全寒假提前背一背开学更轻松#二年级 #二年级数学 #二年级数学下册 #寒假充电计划 #公式.pdf
10.00金币
0下载
蜗牛文库+ 关注
实名认证
内容提供者

提供各种专业文档内容

确认删除?
QQ
  • QQ点击这里给我发消息
微信客服
  • 微信客服
回到顶部