电脑桌面
添加蜗牛文库到电脑桌面
安装后可以在桌面快捷访问

第四章指数函数与对数函数 检测题(综合卷)【新教材】2021-2022学年高一上学期数学人教A版(2019)必修第一册.docVIP免费

第四章指数函数与对数函数 检测题(综合卷)【新教材】2021-2022学年高一上学期数学人教A版(2019)必修第一册.doc_第1页
第四章指数函数与对数函数 检测题(综合卷)【新教材】2021-2022学年高一上学期数学人教A版(2019)必修第一册.doc_第2页
第四章指数函数与对数函数 检测题(综合卷)【新教材】2021-2022学年高一上学期数学人教A版(2019)必修第一册.doc_第3页
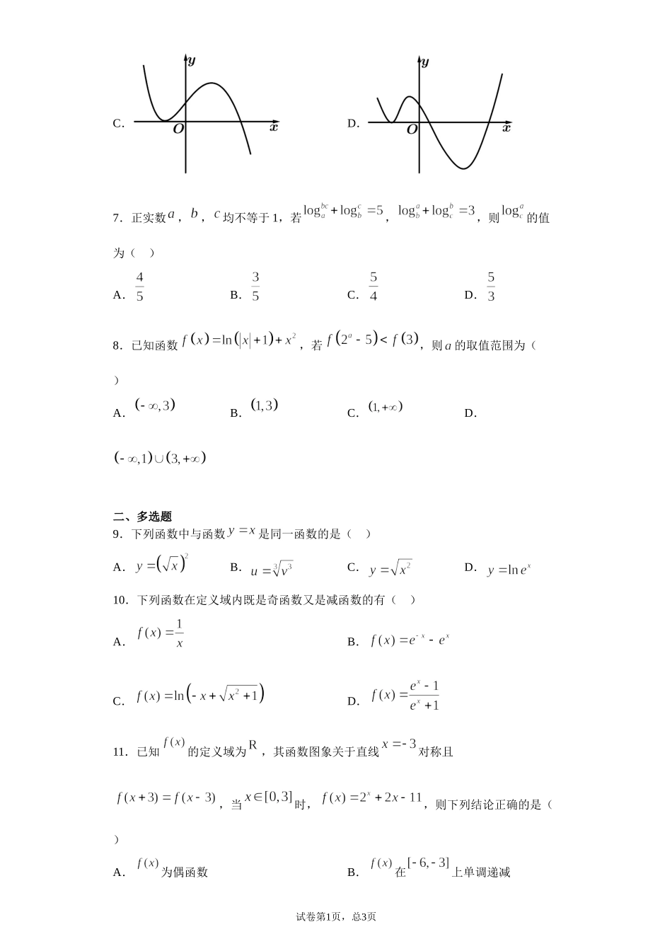
第四章指数函数与对数函数单元检测题(综合版)一、单选题1.若,则()A.B.C.D.2.函数的定义域为()A.B.C.D.3.科学家以里氏震级来度量地震的强度,若设为地震时所散发出来的相对能量程度,则里氏震级可定义为.2021年6月22日下午宁夏A市发生里氏3.1级地震,2020年9月2日宁夏市发生里氏4.3级地震,则市地震所散发出来的能量是市地震所散发出来的能量的()倍.A.2B.10C.100D.10004.函数的单调递减区间是()A.B.C.D.5.“”是“函数在上为增函数”的()A.充分不必要条件B.必要不充分条件C.充要条件D.既不充分也不必要条件6.函数的图像大致是()A.B.试卷第1页,总3页C.D.7.正实数,,均不等于1,若,,则的值为()A.B.C.D.8.已知函数,若,则的取值范围为()A.B.C.D.二、多选题9.下列函数中与函数是同一函数的是()A.B.C.D.10.下列函数在定义域内既是奇函数又是减函数的有()A.B.C.D.11.已知的定义域为,其函数图象关于直线对称且,当时,,则下列结论正确的是()A.为偶函数B.在上单调递减试卷第1页,总3页C.关于对称D.12.将一条均匀柔软的链条两端固定,在重力的作用下它所呈现的形状叫悬链线,例如悬索桥等.建立适当的直角坐标系,可以写出悬链线的函数解析式为,其中a为悬链线系数,称为双曲余弦函数,其函数表达式为,相应地双曲正弦函数的函数表达式为.下列判断正确的有()A.B.C.D.三、填空题13.求值:__________.14.已知函数的定义域为,对任意,,当时,,则______.15.已知函数.若存在,使得,则实数的取值范围是_____________.16.若函数,对任意,总存在,使,则实数的取值范围___________试卷第1页,总3页四、解答题17.已知函数.(1)求函数的定义域;(2)判断函数的奇偶性,并用定义证明你的结论.18.已知函数(且),.(1)若,求的取值范围;(2)求不等式的解集.19.已知函数(且).(1)若的图象如图①所示,求、的取值范围;(2)若的图象如图②所示,有且仅有一个实数解,求的取值范围.20.某种生物身体的长度(单位:米)与其生长年限(单位:年)大致关系如下:(其中为自然对数的底,该生物出生时).(1)求需要经过多少年,该生物身长才能超过8米(精确到0.1);(2)该生物出生年后的一年里身长生长量可以表示为,求的最大值(精确到0.01).试卷第1页,总3页21.已知函数是奇函数.(1)若关于的方程在上有解,求实数的取值范围:(2)若不等式的...

1、当您付费下载文档后,您只拥有了使用权限,并不意味着购买了版权,文档只能用于自身使用,不得用于其他商业用途(如 [转卖]进行直接盈利或[编辑后售卖]进行间接盈利)。
2、本站所有内容均由合作方或网友上传,本站不对文档的完整性、权威性及其观点立场正确性做任何保证或承诺!文档内容仅供研究参考,付费前请自行鉴别。
3、如文档内容存在违规,或者侵犯商业秘密、侵犯著作权等,请点击“违规举报”。

碎片内容

蜗牛文库的最新文档

二年级数学下册其中检测卷二年级数学下册其中检测卷附答案#期中测试卷.pdf
10.00金币
0下载
二年级数学下册期末质检卷(苏教版)二年级数学下册期末质检卷(苏教版)#期末复习 #期末测试卷 #二年级数学 #二年级数学下册#关注我持续更新小学知识.pdf
10.00金币
0下载
二年级数学下册期末混合运算专项练习二年级数学下册期末混合运算专项练习#二年级#二年级数学下册#关注我持续更新小学知识 #知识分享 #家长收藏孩子受益.pdf
10.00金币
1下载
二年级数学下册年月日三类周期问题解题方法二年级数学下册年月日三类周期问题解题方法#二年级#二年级数学下册#知识分享 #关注我持续更新小学知识 #家长收藏孩子受益.pdf
10.00金币
0下载
二年级数学下册解决问题专项训练二年级数学下册解决问题专项训练#专项训练#解决问题#二年级#二年级数学下册#知识分享.pdf
10.00金币
1下载
二年级数学下册还原问题二年级数学下册还原问题#二年级#二年级数学#关注我持续更新小学知识 #知识分享 #家长收藏孩子受益.pdf
10.00金币
1下载
二年级数学下册第六单元考试卷家长打印出来给孩子测试测试争取拿到高分!#小学二年级试卷分享 #二年级第六单考试数学 #第六单考试#二年级数学下册.pdf
10.00金币
0下载
二年级数学下册必背顺口溜口诀汇总二年级数学下册必背顺口溜口诀汇总#二年级#二年级数学下册 #知识分享 #家长收藏孩子受益 #关注我持续更新小学知识.pdf
10.00金币
0下载
二年级数学下册《重点难点思维题》两大问题解决技巧和方法巧算星期几解决周期问题还原问题强化思维训练老师精心整理家长可以打印出来给孩子练习#家长收藏孩子受益 #学霸秘籍 #思维训练 #二年级 #知识点总结.pdf
10.00金币
0下载
二年级数学下册 必背公式大全寒假提前背一背开学更轻松#二年级 #二年级数学 #二年级数学下册 #寒假充电计划 #公式.pdf
10.00金币
0下载
蜗牛文库+ 关注
实名认证
内容提供者

提供各种专业文档内容

确认删除?
QQ
  • QQ点击这里给我发消息
微信客服
  • 微信客服
回到顶部