电脑桌面
添加蜗牛文库到电脑桌面
安装后可以在桌面快捷访问

第14讲 垂径定理-2023届新高考数学大一轮复习真题源解析几何专题讲义.docxVIP免费

第14讲 垂径定理-2023届新高考数学大一轮复习真题源解析几何专题讲义.docx_第1页
第14讲 垂径定理-2023届新高考数学大一轮复习真题源解析几何专题讲义.docx_第2页
第14讲 垂径定理-2023届新高考数学大一轮复习真题源解析几何专题讲义.docx_第3页
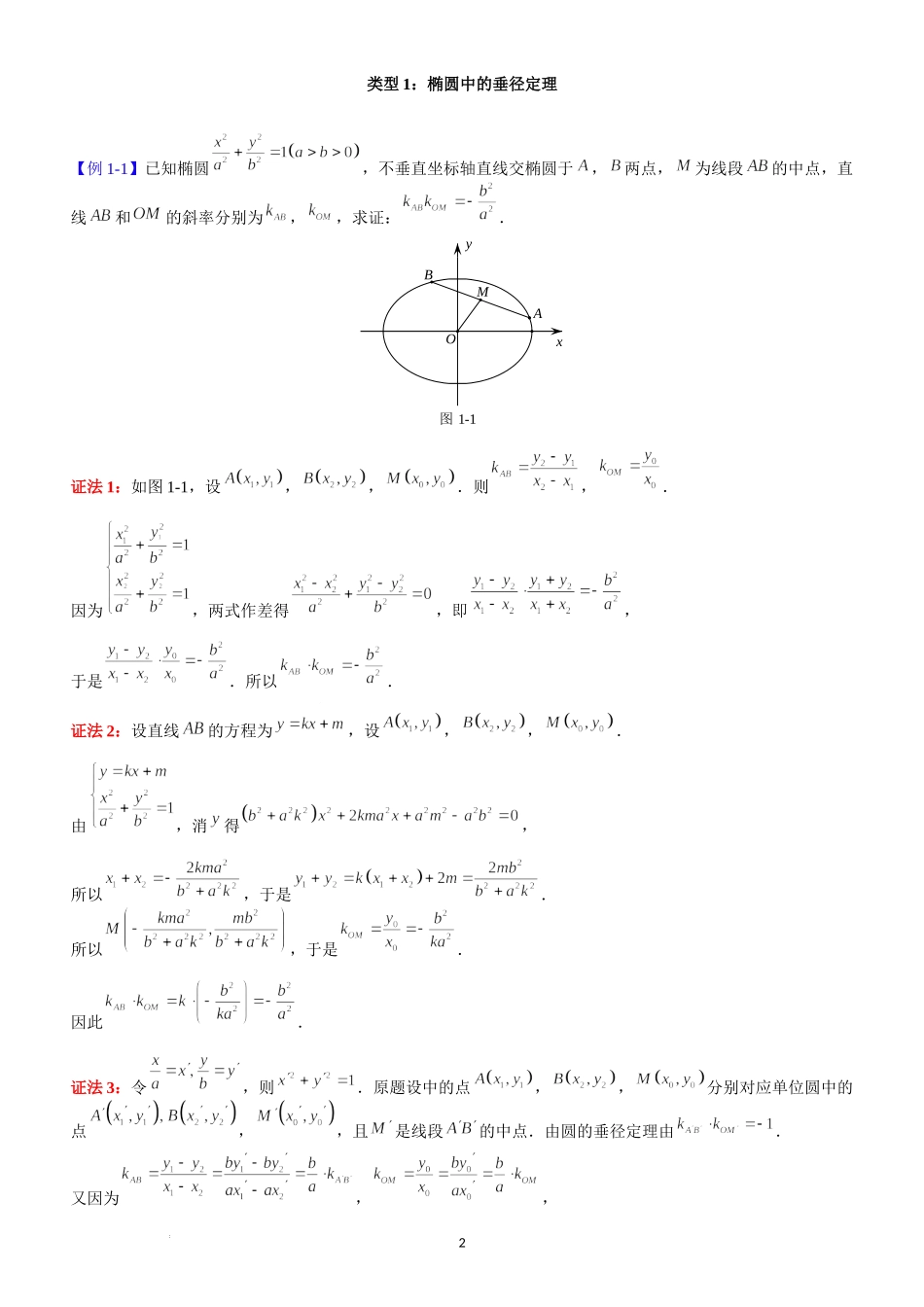
1学科网(北京)股份有限公司学科网(北京)股份有限公司第14讲圆锥曲线垂径定理一.问题综述1.圆中的垂径定理:垂直于弦的直径平分这条弦,并且平分弦所对的两条弧.(在这里我仅研究垂直平分弦)如图0-1,在圆中,已知点是弦的中点,则.2.椭圆与圆的联系xy图0-1MOBAxy图0-2MDOPxy图0-3MDOP(教材《选修2-1》第41页例2)如图0-2,在圆上任取一点,过点作轴的垂线段,为垂足.当点在圆上运动时,线段的中点的轨迹是什么?为什么?(所求得的轨迹方程是.)(教材《选修2-1》第50页B组第1题)如图0-3,轴,点在的延长线上,且.当点在圆上运动时,求点的轨迹方程,并说明它时什么曲线.(所求得的轨迹方程是.)由上述两道习题推广到一般情形:在圆上任取一点,过点作轴的垂线段,点在上,若,且,则当点在圆上运动时,点的轨迹方程是.(,且.当时,表示焦点在轴上的椭圆;当时,表示焦点在轴上的椭圆.)特别地,当时,椭圆即为圆.由此,我们可以将椭圆看成是由圆升缩而成的,圆中某些性质也可以类比拓展到椭圆,本专题就圆的垂径定理在椭圆.双曲线中的拓展.应用加以总结.二.典例分析2学科网(北京)股份有限公司学科网(北京)股份有限公司类型1:椭圆中的垂径定理【例1-1】已知椭圆,不垂直坐标轴直线交椭圆于,两点,为线段的中点,直线和的斜率分别为,,求证:.xy图1-1MOAB证法1:如图1-1,设,,.则,.因为,两式作差得,即,于是.所以.证法2:设直线的方程为,设,,.由,消得,所以,于是.所以,于是.因此.证法3:令,则.原题设中的点,,分别对应单位圆中的点,,且是线段的中点.由圆的垂径定理由.又因为,,3学科网(北京)股份有限公司学科网(北京)股份有限公司所以.【方法小结】三种解法分别从三个不同角度给出解析,解法2是解决直线与椭圆问题的通法,解法3利用的是仿射变换转化为直线与圆的问题求解.该问题是与弦中点有关的问题,故解法1利用点差法大大简化了运算.★椭圆中垂径定理的拓展拓展一:割线转切线【例1-2】已知椭圆,设直线与椭圆相切于点,求证:.证明:如图1-2,设,则切线的方程为,所以切线的斜率为,于是.【方法小结】该问题也可以看成是例1-1中割线的极限位置为切线.拓展二:平移中线(中线转变中位线)【例1-3】已知椭圆,点是椭圆上关于原点对称的两点,点是椭圆上异于的任意一点,求证:.证法1:设点,则,又,两式作差,得,于是.证法2:如图1-3,取的中点,连接,则.所以.【...

1、当您付费下载文档后,您只拥有了使用权限,并不意味着购买了版权,文档只能用于自身使用,不得用于其他商业用途(如 [转卖]进行直接盈利或[编辑后售卖]进行间接盈利)。
2、本站所有内容均由合作方或网友上传,本站不对文档的完整性、权威性及其观点立场正确性做任何保证或承诺!文档内容仅供研究参考,付费前请自行鉴别。
3、如文档内容存在违规,或者侵犯商业秘密、侵犯著作权等,请点击“违规举报”。

碎片内容

蜗牛文库的最新文档

二年级数学下册其中检测卷二年级数学下册其中检测卷附答案#期中测试卷.pdf
10.00金币
0下载
二年级数学下册期末质检卷(苏教版)二年级数学下册期末质检卷(苏教版)#期末复习 #期末测试卷 #二年级数学 #二年级数学下册#关注我持续更新小学知识.pdf
10.00金币
0下载
二年级数学下册期末混合运算专项练习二年级数学下册期末混合运算专项练习#二年级#二年级数学下册#关注我持续更新小学知识 #知识分享 #家长收藏孩子受益.pdf
10.00金币
1下载
二年级数学下册年月日三类周期问题解题方法二年级数学下册年月日三类周期问题解题方法#二年级#二年级数学下册#知识分享 #关注我持续更新小学知识 #家长收藏孩子受益.pdf
10.00金币
0下载
二年级数学下册解决问题专项训练二年级数学下册解决问题专项训练#专项训练#解决问题#二年级#二年级数学下册#知识分享.pdf
10.00金币
1下载
二年级数学下册还原问题二年级数学下册还原问题#二年级#二年级数学#关注我持续更新小学知识 #知识分享 #家长收藏孩子受益.pdf
10.00金币
1下载
二年级数学下册第六单元考试卷家长打印出来给孩子测试测试争取拿到高分!#小学二年级试卷分享 #二年级第六单考试数学 #第六单考试#二年级数学下册.pdf
10.00金币
0下载
二年级数学下册必背顺口溜口诀汇总二年级数学下册必背顺口溜口诀汇总#二年级#二年级数学下册 #知识分享 #家长收藏孩子受益 #关注我持续更新小学知识.pdf
10.00金币
0下载
二年级数学下册《重点难点思维题》两大问题解决技巧和方法巧算星期几解决周期问题还原问题强化思维训练老师精心整理家长可以打印出来给孩子练习#家长收藏孩子受益 #学霸秘籍 #思维训练 #二年级 #知识点总结.pdf
10.00金币
0下载
二年级数学下册 必背公式大全寒假提前背一背开学更轻松#二年级 #二年级数学 #二年级数学下册 #寒假充电计划 #公式.pdf
10.00金币
0下载
蜗牛文库+ 关注
实名认证
内容提供者

提供各种专业文档内容

确认删除?
QQ
  • QQ点击这里给我发消息
微信客服
  • 微信客服
回到顶部