电脑桌面
添加蜗牛文库到电脑桌面
安装后可以在桌面快捷访问

第6题设点or设线解决阿基米德三角形问题 讲义——2024届高三数学三轮复习之一题多解.docxVIP免费

第6题设点or设线解决阿基米德三角形问题 讲义——2024届高三数学三轮复习之一题多解.docx_第1页
第6题设点or设线解决阿基米德三角形问题 讲义——2024届高三数学三轮复习之一题多解.docx_第2页
第6题设点or设线解决阿基米德三角形问题 讲义——2024届高三数学三轮复习之一题多解.docx_第3页
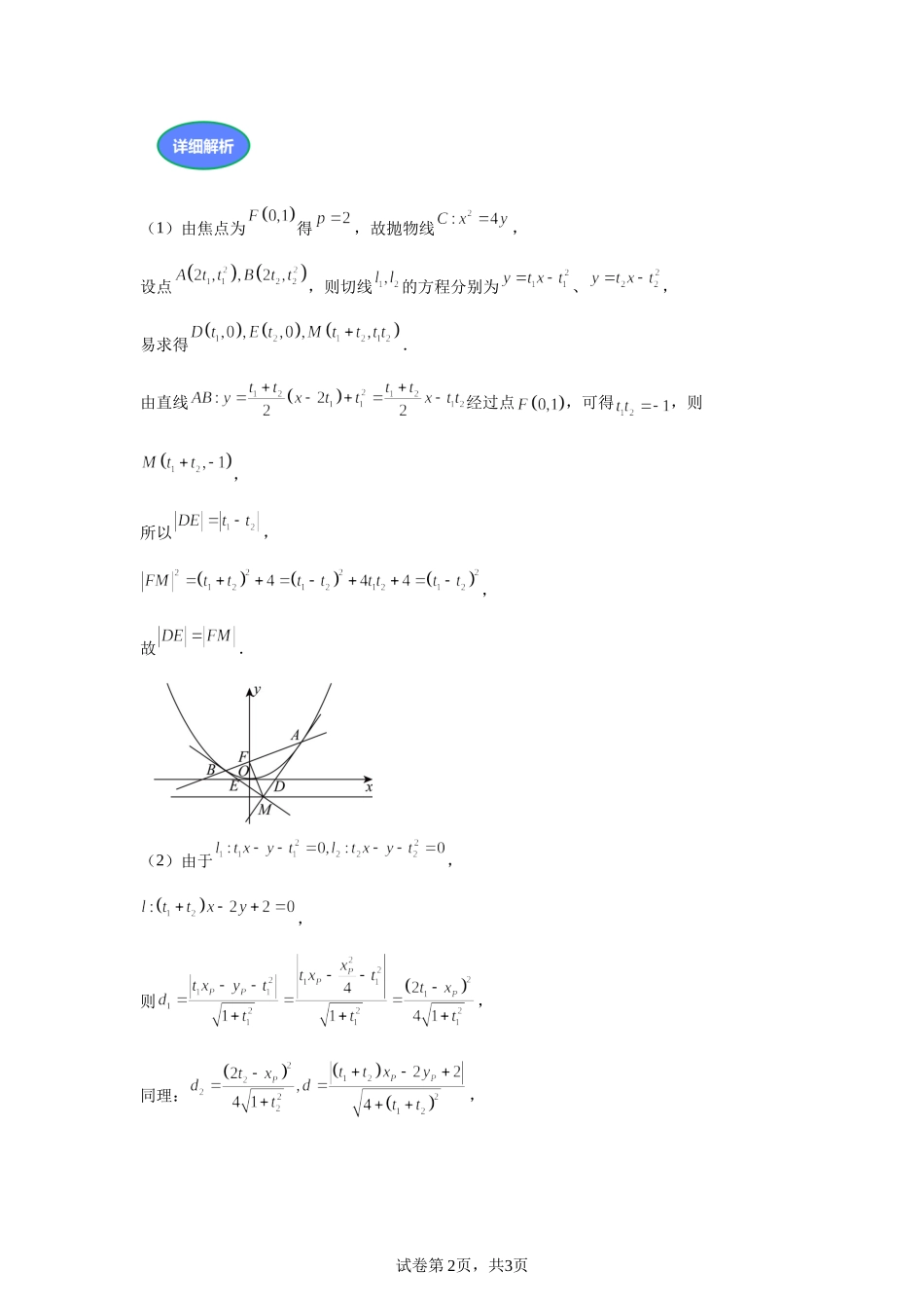
试卷第1页,共3页学科网(北京)股份有限公司第6题设点or设线解决阿基米德三角形问题已知抛物线的焦点为,过点的直线与交于两点,过作的切线,交于点,且与轴分别交于点.(1)求证:;(2)设点是上异于的一点,到直线的距离分别为,求的最小值.先求抛物线方程,设A、B两点坐标,结合抛物线切线方程点参表示切线及直线AB,利用直线AB过焦点得点参关系计算DE,FM即可解决第一问;根据第一问结论,及点到直线的距离公式计算化简,再利用基本不等式计算最值即可.试卷第2页,共3页(1)由焦点为得,故抛物线,设点,则切线的方程分别为、,易求得.由直线经过点,可得,则,所以,,故.(2)由于,,则,同理:,试卷第3页,共3页学科网(北京)股份有限公司故,,,当且仅当时取等号,故的最小值为.1.已知O为坐标原点,点W为:和的公共点,,与直线相切,记动点M的轨迹为C.(1)求C的方程;(2)若,直线与C交于点A,B,直线与C交于点,,点A,在第一象限,记直线与的交点为G,直线与的交点为H,线段AB的中点为E.①证明:G,E,H三点共线;②若,过点H作的平行线,分别交线段,于点,,求四边形面积的最大值.(2024·全国·模拟预测)试卷第4页,共3页2.已知抛物线的方程为,把该抛物线整体平移,使其顶点与坐标原点重合,平移后的抛物线记作.(1)写出平移过程,并求抛物线的标准方程;(2)已知是抛物线的内接三角形(点在直线的下方),过作抛物线的切线交于点,再过作抛物线的切线分别交于点,记,的面积分别为,证明为定值.设直线方程及A、B坐标,与抛物线方程联立计算切线方程后可得D、E、M坐标,再根据韦达定理可得;利用点到直线的距离公式及点参表示,根据二次函数性质求最值即可.设,设直线,联立方程,则.切线,故,两切线的交点坐标为.试卷第5页,共3页学科网(北京)股份有限公司从而,,故.(2)由于直线,则,,又,从而,故当时,有最小值.试卷第6页,共3页3.已知抛物线的焦点为F,斜率为的直线过点P,交C于A,B两点,且当时,.(1)求C的方程;(2)设C在A,B处的切线交于点Q,证明.(2024·全国·二模)4.如图,过点的动直线交抛物线于两点.(1)若,求的方程;(2)当直线变动时,若不过坐标原点,过点分别作(1)中的切线,且两条切线相交于点,问:是否存在唯一的直线,使得?并说明理由.(2024·云南昆明·一模)5.已知抛物线C:()的焦点为F,直线与C交于A,B两点,.(1)求C的方程;(2)过A,B作C的两条切线交于点P,设D,...

1、当您付费下载文档后,您只拥有了使用权限,并不意味着购买了版权,文档只能用于自身使用,不得用于其他商业用途(如 [转卖]进行直接盈利或[编辑后售卖]进行间接盈利)。
2、本站所有内容均由合作方或网友上传,本站不对文档的完整性、权威性及其观点立场正确性做任何保证或承诺!文档内容仅供研究参考,付费前请自行鉴别。
3、如文档内容存在违规,或者侵犯商业秘密、侵犯著作权等,请点击“违规举报”。

碎片内容

蜗牛文库的最新文档

二年级数学下册其中检测卷二年级数学下册其中检测卷附答案#期中测试卷.pdf
10.00金币
0下载
二年级数学下册期末质检卷(苏教版)二年级数学下册期末质检卷(苏教版)#期末复习 #期末测试卷 #二年级数学 #二年级数学下册#关注我持续更新小学知识.pdf
10.00金币
0下载
二年级数学下册期末混合运算专项练习二年级数学下册期末混合运算专项练习#二年级#二年级数学下册#关注我持续更新小学知识 #知识分享 #家长收藏孩子受益.pdf
10.00金币
1下载
二年级数学下册年月日三类周期问题解题方法二年级数学下册年月日三类周期问题解题方法#二年级#二年级数学下册#知识分享 #关注我持续更新小学知识 #家长收藏孩子受益.pdf
10.00金币
0下载
二年级数学下册解决问题专项训练二年级数学下册解决问题专项训练#专项训练#解决问题#二年级#二年级数学下册#知识分享.pdf
10.00金币
1下载
二年级数学下册还原问题二年级数学下册还原问题#二年级#二年级数学#关注我持续更新小学知识 #知识分享 #家长收藏孩子受益.pdf
10.00金币
1下载
二年级数学下册第六单元考试卷家长打印出来给孩子测试测试争取拿到高分!#小学二年级试卷分享 #二年级第六单考试数学 #第六单考试#二年级数学下册.pdf
10.00金币
0下载
二年级数学下册必背顺口溜口诀汇总二年级数学下册必背顺口溜口诀汇总#二年级#二年级数学下册 #知识分享 #家长收藏孩子受益 #关注我持续更新小学知识.pdf
10.00金币
0下载
二年级数学下册《重点难点思维题》两大问题解决技巧和方法巧算星期几解决周期问题还原问题强化思维训练老师精心整理家长可以打印出来给孩子练习#家长收藏孩子受益 #学霸秘籍 #思维训练 #二年级 #知识点总结.pdf
10.00金币
0下载
二年级数学下册 必背公式大全寒假提前背一背开学更轻松#二年级 #二年级数学 #二年级数学下册 #寒假充电计划 #公式.pdf
10.00金币
0下载
蜗牛文库+ 关注
实名认证
内容提供者

提供各种专业文档内容

确认删除?
QQ
  • QQ点击这里给我发消息
微信客服
  • 微信客服
回到顶部