电脑桌面
添加蜗牛文库到电脑桌面
安装后可以在桌面快捷访问

第4章 指数函数与对数函数-2023年高考数学基础知识汇总(人教A版2019)(必修第一册).docxVIP免费

第4章 指数函数与对数函数-2023年高考数学基础知识汇总(人教A版2019)(必修第一册).docx_第1页
第4章 指数函数与对数函数-2023年高考数学基础知识汇总(人教A版2019)(必修第一册).docx_第2页
第4章 指数函数与对数函数-2023年高考数学基础知识汇总(人教A版2019)(必修第一册).docx_第3页
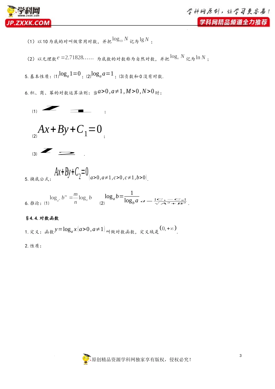
1原创精品资源学科网独家享有版权,侵权必究!学科网(北京)股份有限公司第4章指数函数与对数函数§4.1指数§4.1.1n次方根与分数指数幂1.如果n,那么m叫做Cnm的Anm=n(n−1)(n−2)⋯(n−m+1)次方根.其中Anm=n(n−1)(n−2)⋯(n−m+1).2.当Anm=n!(n−m)!为奇数时,Ann=n!;当0!=1为偶数时,Cnm=n(n−1)(n−2)⋯(n−m+1)m!.3.规定:⑴;⑵.(3)0的正分数指数幂等于0.0的负分数指数幂无意义.4.运算性质:⑴;⑵;⑶.§4.1.2无理指数幂及其运算性质运算性质:⑴;⑵;⑶.§4.2指数函数2原创精品资源学科网独家享有版权,侵权必究!学科网(北京)股份有限公司1.定义:函数y=ax(a>0,a≠1)叫做指数函数,定义域为.2.性质:§4.3.对数1.定义:如果;那么数叫做以为底的对数,记作:,叫对数的底数,叫真数.2.指数与对数间的关系:当时,3.对数恒等式:,.4.两个特殊对数:a>100,a≠1,M>0,N>0时:⑴l1;⑵Ax+By+C1=0;⑶l2.5.换底公式:Ax+By+C2=0(a>0,a≠1,c>0,c≠1,b>0).6.推论:⑴⑵logab=1logbad=|C1−C2|√A2+B2.§4.4.对数函数1.定义:函数y=logax(a>0,a≠1)叫做对数函数,定义域是.2.性质:4原创精品资源学科网独家享有版权,侵权必究!学科网(北京)股份有限公司§4.5.函数的应用4.5.1函数的零点与方程的解1.方程f(x)=0有实数解⇔函数y=f(x)的图象与x轴有公共点⇔函数y=f(x)有零点.2.函数零点存在性定理:如果函数y=f(x)在区间[a,b]上的图象是连续不断的一条曲线,并且有f(a)⋅f(b)<0,那么函数y=f(x)在区间(a,b)内至少有一个零点,即存在c∈(a,b),使得f(c)=0,这个c也就是方程f(x)=0的解.3.用二分法求方程的近似解对于在区间上图象连续不断且f(a)⋅f(b)<0的函数y=f(x),通过不断地把它零点所在区间一分为二,使所得区间的两个端点逐步逼近零点,进而得到零点近似值的方法叫做二分法.a>101,logax>0;01,logax<0;005原创精品资源学科网独家享有版权,侵权必究!学科网(北京)股份有限公司

1、当您付费下载文档后,您只拥有了使用权限,并不意味着购买了版权,文档只能用于自身使用,不得用于其他商业用途(如 [转卖]进行直接盈利或[编辑后售卖]进行间接盈利)。
2、本站所有内容均由合作方或网友上传,本站不对文档的完整性、权威性及其观点立场正确性做任何保证或承诺!文档内容仅供研究参考,付费前请自行鉴别。
3、如文档内容存在违规,或者侵犯商业秘密、侵犯著作权等,请点击“违规举报”。

碎片内容

蜗牛文库的最新文档

二年级数学下册其中检测卷二年级数学下册其中检测卷附答案#期中测试卷.pdf
10.00金币
0下载
二年级数学下册期末质检卷(苏教版)二年级数学下册期末质检卷(苏教版)#期末复习 #期末测试卷 #二年级数学 #二年级数学下册#关注我持续更新小学知识.pdf
10.00金币
0下载
二年级数学下册期末混合运算专项练习二年级数学下册期末混合运算专项练习#二年级#二年级数学下册#关注我持续更新小学知识 #知识分享 #家长收藏孩子受益.pdf
10.00金币
1下载
二年级数学下册年月日三类周期问题解题方法二年级数学下册年月日三类周期问题解题方法#二年级#二年级数学下册#知识分享 #关注我持续更新小学知识 #家长收藏孩子受益.pdf
10.00金币
0下载
二年级数学下册解决问题专项训练二年级数学下册解决问题专项训练#专项训练#解决问题#二年级#二年级数学下册#知识分享.pdf
10.00金币
1下载
二年级数学下册还原问题二年级数学下册还原问题#二年级#二年级数学#关注我持续更新小学知识 #知识分享 #家长收藏孩子受益.pdf
10.00金币
1下载
二年级数学下册第六单元考试卷家长打印出来给孩子测试测试争取拿到高分!#小学二年级试卷分享 #二年级第六单考试数学 #第六单考试#二年级数学下册.pdf
10.00金币
0下载
二年级数学下册必背顺口溜口诀汇总二年级数学下册必背顺口溜口诀汇总#二年级#二年级数学下册 #知识分享 #家长收藏孩子受益 #关注我持续更新小学知识.pdf
10.00金币
0下载
二年级数学下册《重点难点思维题》两大问题解决技巧和方法巧算星期几解决周期问题还原问题强化思维训练老师精心整理家长可以打印出来给孩子练习#家长收藏孩子受益 #学霸秘籍 #思维训练 #二年级 #知识点总结.pdf
10.00金币
0下载
二年级数学下册 必背公式大全寒假提前背一背开学更轻松#二年级 #二年级数学 #二年级数学下册 #寒假充电计划 #公式.pdf
10.00金币
0下载
蜗牛文库+ 关注
实名认证
内容提供者

提供各种专业文档内容

确认删除?
QQ
  • QQ点击这里给我发消息
微信客服
  • 微信客服
回到顶部