电脑桌面
添加蜗牛文库到电脑桌面
安装后可以在桌面快捷访问

第4讲圆锥曲线 硬解定理-2023届新高考数学大一轮复习真题源解析几何专题讲义.docxVIP免费

第4讲圆锥曲线 硬解定理-2023届新高考数学大一轮复习真题源解析几何专题讲义.docx_第1页
第4讲圆锥曲线 硬解定理-2023届新高考数学大一轮复习真题源解析几何专题讲义.docx_第2页
第4讲圆锥曲线 硬解定理-2023届新高考数学大一轮复习真题源解析几何专题讲义.docx_第3页
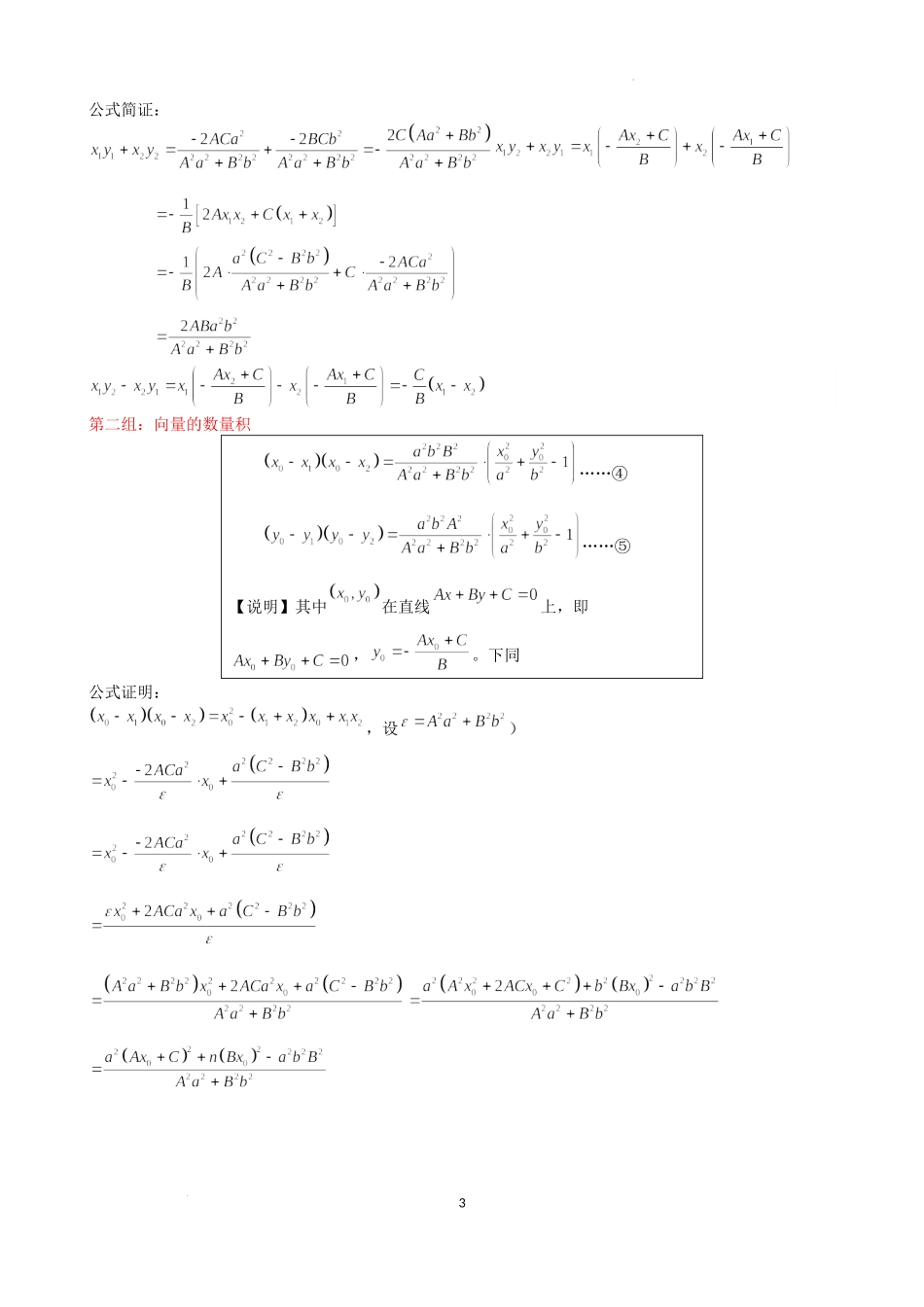
1学科网(北京)股份有限公司第4讲圆锥曲线硬解定理一、题型综述直曲联立求韦达,利用韦达求弦长,面积、、、等是圆锥曲线考察频率比较高,经常出现的知识点,若果能快速记住一些必要的结论,可以有效提升做题的速度及准确度,但圆锥曲线结论的记忆有一点难度,需要想一些办法进行理解,公式口诀话,以便记忆,笔者在这为大家提供一些网络上听到觉得比较好记的口诀。二、硬解定理第一部分:硬解定理在椭圆中的运用设椭圆方程用①表示,与直线②相交于、两点,联立①②式可得最终的二次方程:消去得:消去得:可得:(1)判别式在椭圆中,所以判断判别式的正负可以利用来进行判断若有两实根,即直线与椭圆有两个交点若有两相同实根,即直线与椭圆相切若无实根,即直线与椭圆没有交点记忆:成对去见单身(2)韦达定理:把直线设为2学科网(北京)股份有限公司口算韦达公式:记忆口诀:分母都为两两配对分子为乘以消去系数()剩余直线系数的倍分子为乘以消去系数()剩余直线系数的倍分子为乘以减去消去系数的平方分子为乘以减去消去系数的平方例:,得:代入y,得:(1)中点组:(2)弦长组:口诀:2倍根号下,小方积,大方和,成对去见单C方,减完C方去下方。(3)向量组:第一组:……①…………②………③3学科网(北京)股份有限公司公式简证:第二组:向量的数量积……④……⑤【说明】其中在直线上,即,。下同公式证明:,设)4学科网(北京)股份有限公司(4)斜率组:斜率和已知点,,,直线的方程为。则直线、的斜率和……⑥(记忆要点1:分母中,即在直线上。记忆要点2:分子的记忆曲线直线公式证明:代入韦达定理和公式②、④得(设)5学科网(北京)股份有限公司即第二部分:圆锥曲线的硬解定理二次曲线方程用①表示,与直线②相交于、两点,联立①②式可得最终的二次方程:消去得:消去得:可得:(根据,写,的方法:、互换;、互换;不变。)(1)判别式(2)韦达定理;(3)中点组:(4)弦长组:6学科网(北京)股份有限公司(设,下同)(5)向量组:第一组:……①…………②………③公式简证:第二组:向量的数量积……④……⑤【说明】其中在直线上,即,。下同公式证明:7学科网(北京)股份有限公司(6)斜率组:斜率和已知点,,,直线的方程为。则直线、的斜率和……⑥(记忆要点1:分母中,即在直线上。记忆要点2:分子的记忆曲线直线公式证明:8学科网(北京)股份有限公司代入韦达定理和公式②、④得(设)即第三部分...

1、当您付费下载文档后,您只拥有了使用权限,并不意味着购买了版权,文档只能用于自身使用,不得用于其他商业用途(如 [转卖]进行直接盈利或[编辑后售卖]进行间接盈利)。
2、本站所有内容均由合作方或网友上传,本站不对文档的完整性、权威性及其观点立场正确性做任何保证或承诺!文档内容仅供研究参考,付费前请自行鉴别。
3、如文档内容存在违规,或者侵犯商业秘密、侵犯著作权等,请点击“违规举报”。

碎片内容

蜗牛文库的最新文档

二年级数学下册其中检测卷二年级数学下册其中检测卷附答案#期中测试卷.pdf
10.00金币
0下载
二年级数学下册期末质检卷(苏教版)二年级数学下册期末质检卷(苏教版)#期末复习 #期末测试卷 #二年级数学 #二年级数学下册#关注我持续更新小学知识.pdf
10.00金币
0下载
二年级数学下册期末混合运算专项练习二年级数学下册期末混合运算专项练习#二年级#二年级数学下册#关注我持续更新小学知识 #知识分享 #家长收藏孩子受益.pdf
10.00金币
1下载
二年级数学下册年月日三类周期问题解题方法二年级数学下册年月日三类周期问题解题方法#二年级#二年级数学下册#知识分享 #关注我持续更新小学知识 #家长收藏孩子受益.pdf
10.00金币
0下载
二年级数学下册解决问题专项训练二年级数学下册解决问题专项训练#专项训练#解决问题#二年级#二年级数学下册#知识分享.pdf
10.00金币
1下载
二年级数学下册还原问题二年级数学下册还原问题#二年级#二年级数学#关注我持续更新小学知识 #知识分享 #家长收藏孩子受益.pdf
10.00金币
1下载
二年级数学下册第六单元考试卷家长打印出来给孩子测试测试争取拿到高分!#小学二年级试卷分享 #二年级第六单考试数学 #第六单考试#二年级数学下册.pdf
10.00金币
0下载
二年级数学下册必背顺口溜口诀汇总二年级数学下册必背顺口溜口诀汇总#二年级#二年级数学下册 #知识分享 #家长收藏孩子受益 #关注我持续更新小学知识.pdf
10.00金币
0下载
二年级数学下册《重点难点思维题》两大问题解决技巧和方法巧算星期几解决周期问题还原问题强化思维训练老师精心整理家长可以打印出来给孩子练习#家长收藏孩子受益 #学霸秘籍 #思维训练 #二年级 #知识点总结.pdf
10.00金币
0下载
二年级数学下册 必背公式大全寒假提前背一背开学更轻松#二年级 #二年级数学 #二年级数学下册 #寒假充电计划 #公式.pdf
10.00金币
0下载
蜗牛文库+ 关注
实名认证
内容提供者

提供各种专业文档内容

确认删除?
QQ
  • QQ点击这里给我发消息
微信客服
  • 微信客服
回到顶部