电脑桌面
添加蜗牛文库到电脑桌面
安装后可以在桌面快捷访问

8.10圆锥曲线的综合问题-2022届高考数学一轮复习讲义.docxVIP免费

8.10圆锥曲线的综合问题-2022届高考数学一轮复习讲义.docx_第1页
8.10圆锥曲线的综合问题-2022届高考数学一轮复习讲义.docx_第2页
8.10圆锥曲线的综合问题-2022届高考数学一轮复习讲义.docx_第3页
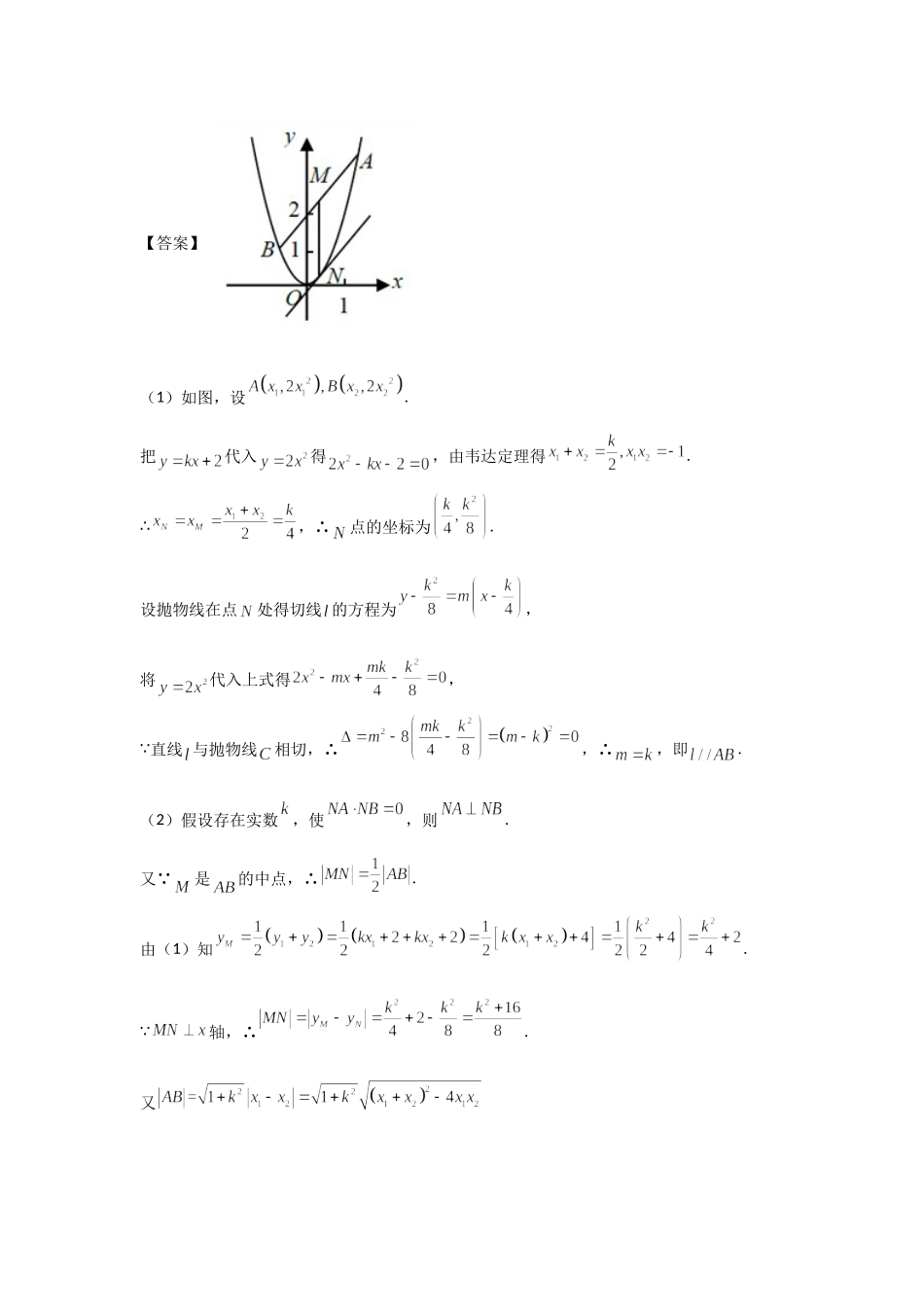
8.10圆锥曲线的综合问题例1.设椭圆的左焦点为F,离心率为,过点F且与x轴垂直的直线被椭圆截得的线段长为.(1)求椭圆的方程;(2)设A,B分别为椭圆的左、右顶点,过点F且斜率为k的直线与椭圆交于C、D两点.若,求k的值.【答案】(1)椭圆的方程为;(2),直线设联立,整理得:,,又所以,解得.例2.已知抛物线,直线交于两点,是线段的中点,过作轴的垂线交于点.(1)证明:抛物线在点处的切线与平行;(2)是否存在实数使,若存在,求的值;若不存在,说明理由.【答案】(1)如图,设.把代入得,由韦达定理得.∴,∴点的坐标为.设抛物线在点处得切线的方程为,将代入上式得, 直线与抛物线相切,∴,∴,即.(2)假设存在实数,使,则.又 是的中点,∴.由(1)知. 轴,∴.又.∴,解得,即存在,使.例3.已知椭圆过点,且.(1)求椭圆C的方程:(2)过点的直线l交椭圆C于点,直线分别交直线于点.求的值.【答案】(1)椭圆方程为:.(2)设,,直线的方程为:,与椭圆方程联立可得:,即,则.直线MA的方程为:,令可得:,同理可得:.很明显,且,注意到,而:,故.从而.例4.已知椭圆C:(a>b>0)的一个顶点为A(2,0),离心率为.直线y=k(x-1)与椭圆C交于不同的两点M,N.(1)求椭圆C的方程;(2)当△AMN的面积为时,求k的值.【答案】(1)椭圆C的方程为.(2)设M,N由得,则,.故|MN|===.由因为点A(2,0)到直线的距离,所以△AMN的面积为.由,解得,经检验,所以.例5.如图,已知抛物线,圆,过点作不过原点O的直线PA,PB分别与抛物线和圆相切,A,B为切点.(1)求点A,B的坐标;(2)求的面积.【答案】(1)由题意可知,直线的斜率存在,故可设直线的方程为.联立消去,整理得:.因为直线与抛物线相切,所以,解得.所以,即点.设圆的圆心为,点的坐标为,由题意知,点,关于直线对称,故有,解得.即点.(2)由(1)知,,直线的方程为,所以点到直线的距离为.故的面积为.【课后作业】1.已知椭圆经过点,离心率为,左右焦点分别为,.(1)求椭圆的方程;(2)若直线:与椭圆交于,两点,与以为直径的圆交于,两点,且满足,求直线的方程.【答案】(1)椭圆的方程为(2)由题意可得以为直径的圆的方程为圆心到直线的距离为,由,即,可得,设,联立整理得,可得:,,,解方程得,且满足直线的方程为或.2.已知椭圆:的离心率为,短轴长为2.(1)求椭圆的标准方程;(2)过点的直线与椭圆交于两点,若的面积为(为坐标原点),求直线...

1、当您付费下载文档后,您只拥有了使用权限,并不意味着购买了版权,文档只能用于自身使用,不得用于其他商业用途(如 [转卖]进行直接盈利或[编辑后售卖]进行间接盈利)。
2、本站所有内容均由合作方或网友上传,本站不对文档的完整性、权威性及其观点立场正确性做任何保证或承诺!文档内容仅供研究参考,付费前请自行鉴别。
3、如文档内容存在违规,或者侵犯商业秘密、侵犯著作权等,请点击“违规举报”。

碎片内容

蜗牛文库的最新文档

二年级数学下册其中检测卷二年级数学下册其中检测卷附答案#期中测试卷.pdf
10.00金币
0下载
二年级数学下册期末质检卷(苏教版)二年级数学下册期末质检卷(苏教版)#期末复习 #期末测试卷 #二年级数学 #二年级数学下册#关注我持续更新小学知识.pdf
10.00金币
0下载
二年级数学下册期末混合运算专项练习二年级数学下册期末混合运算专项练习#二年级#二年级数学下册#关注我持续更新小学知识 #知识分享 #家长收藏孩子受益.pdf
10.00金币
1下载
二年级数学下册年月日三类周期问题解题方法二年级数学下册年月日三类周期问题解题方法#二年级#二年级数学下册#知识分享 #关注我持续更新小学知识 #家长收藏孩子受益.pdf
10.00金币
0下载
二年级数学下册解决问题专项训练二年级数学下册解决问题专项训练#专项训练#解决问题#二年级#二年级数学下册#知识分享.pdf
10.00金币
1下载
二年级数学下册还原问题二年级数学下册还原问题#二年级#二年级数学#关注我持续更新小学知识 #知识分享 #家长收藏孩子受益.pdf
10.00金币
1下载
二年级数学下册第六单元考试卷家长打印出来给孩子测试测试争取拿到高分!#小学二年级试卷分享 #二年级第六单考试数学 #第六单考试#二年级数学下册.pdf
10.00金币
0下载
二年级数学下册必背顺口溜口诀汇总二年级数学下册必背顺口溜口诀汇总#二年级#二年级数学下册 #知识分享 #家长收藏孩子受益 #关注我持续更新小学知识.pdf
10.00金币
0下载
二年级数学下册《重点难点思维题》两大问题解决技巧和方法巧算星期几解决周期问题还原问题强化思维训练老师精心整理家长可以打印出来给孩子练习#家长收藏孩子受益 #学霸秘籍 #思维训练 #二年级 #知识点总结.pdf
10.00金币
0下载
二年级数学下册 必背公式大全寒假提前背一背开学更轻松#二年级 #二年级数学 #二年级数学下册 #寒假充电计划 #公式.pdf
10.00金币
0下载
蜗牛文库+ 关注
实名认证
内容提供者

提供各种专业文档内容

确认删除?
QQ
  • QQ点击这里给我发消息
微信客服
  • 微信客服
回到顶部