电脑桌面
添加蜗牛文库到电脑桌面
安装后可以在桌面快捷访问

08三角函数-北京市各区2022-2023学年高一上学期数学期末练习分类汇编.docxVIP免费

08三角函数-北京市各区2022-2023学年高一上学期数学期末练习分类汇编.docx_第1页
08三角函数-北京市各区2022-2023学年高一上学期数学期末练习分类汇编.docx_第2页
08三角函数-北京市各区2022-2023学年高一上学期数学期末练习分类汇编.docx_第3页
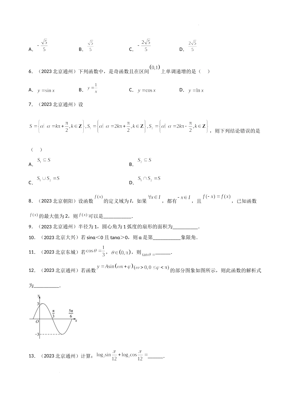
学科网(北京)股份有限公司2022-2023学年第一学期北京各区高一期末练习数学试题汇编8《三角函数》1.(2023北京朝阳)设集合,集合,则A与B的关系为()A.B.C.D.2.(2023北京顺义)若函数的图象关于直线对称,则的值可以是()A.B.C.D.3.(2023北京朝阳)已知角为第一象限角,且,则的取值范围是()A.B.C.D.4.(2023北京通州)将函数的图像向左平移个单位长度得到曲线,然后再使曲线上各点的横坐标变为原来的得到曲线,最后再把曲线上各点的纵坐标变为原来的2倍得到曲线,则曲线对应的函数是()A.B.C.D.5.(2023北京通州)已知角的顶点在原点,始边与轴的非负半轴重合,终边在第三象限且与单位圆交于点,则()学科网(北京)股份有限公司A.B.C.D.6.(2023北京通州)下列函数中,是奇函数且在区间上单调递增的是()A.B.C.D.7.(2023北京通州)设,则下列结论错误的是()A.B.C.D.8.(2023北京朝阳)设函数的定义域为I,如果,都有,且,已知函数的最大值为2,则可以是___________.9.(2023北京通州)半径为1,圆心角为1弧度的扇形的面积为__________.10.(2023北京大兴)若sinα<0且tanα>0,则α是第___________象限角.11.(2023北京东城)若,,则______.12.(2023北京通州)若函数的部分图象如图所示,则此函数的解析式为__________.13.(2023北京通州)计算:______.学科网(北京)股份有限公司14.(2023北京顺义)中国传统折扇文化有着极其深厚的底蕴,一般情况下,折扇可看作是由从一个圆面中剪下的扇形制作而成.设制作扇子的扇形面积为,圆面中剩下部分的面积为,当时,扇面看上去形状较为美观.那么,此时制作扇子的扇形圆心角约为()A.B.C.D.15.(2023北京朝阳)已知角,若,则__________;__________.16.(2023北京东城)如图,单位圆被点分为12等份,其中.角的始边与x轴的非负半轴重合,若的终边经过点,则__________;若,则角的终边与单位圆交于点__________.(从中选择,写出所有满足要求的点)17.(2023北京顺义)已知函数,满足.(1)求的值;(2)求函数的单调递增区间.学科网(北京)股份有限公司18.(2023北京顺义)在平面直角坐标系中,角的顶点与原点重合,始边与轴的非负半轴重合,终边与单位圆交于第一象限的点.(1)求的值;(2)将角的终边绕坐标原点按逆时针方向旋转角后与单位圆交于点,再从条件①条件②、、条件③这三个条件中选择一个作为已知,求的值.①...

1、当您付费下载文档后,您只拥有了使用权限,并不意味着购买了版权,文档只能用于自身使用,不得用于其他商业用途(如 [转卖]进行直接盈利或[编辑后售卖]进行间接盈利)。
2、本站所有内容均由合作方或网友上传,本站不对文档的完整性、权威性及其观点立场正确性做任何保证或承诺!文档内容仅供研究参考,付费前请自行鉴别。
3、如文档内容存在违规,或者侵犯商业秘密、侵犯著作权等,请点击“违规举报”。

碎片内容

蜗牛文库的最新文档

二年级数学下册其中检测卷二年级数学下册其中检测卷附答案#期中测试卷.pdf
10.00金币
0下载
二年级数学下册期末质检卷(苏教版)二年级数学下册期末质检卷(苏教版)#期末复习 #期末测试卷 #二年级数学 #二年级数学下册#关注我持续更新小学知识.pdf
10.00金币
0下载
二年级数学下册期末混合运算专项练习二年级数学下册期末混合运算专项练习#二年级#二年级数学下册#关注我持续更新小学知识 #知识分享 #家长收藏孩子受益.pdf
10.00金币
1下载
二年级数学下册年月日三类周期问题解题方法二年级数学下册年月日三类周期问题解题方法#二年级#二年级数学下册#知识分享 #关注我持续更新小学知识 #家长收藏孩子受益.pdf
10.00金币
0下载
二年级数学下册解决问题专项训练二年级数学下册解决问题专项训练#专项训练#解决问题#二年级#二年级数学下册#知识分享.pdf
10.00金币
1下载
二年级数学下册还原问题二年级数学下册还原问题#二年级#二年级数学#关注我持续更新小学知识 #知识分享 #家长收藏孩子受益.pdf
10.00金币
1下载
二年级数学下册第六单元考试卷家长打印出来给孩子测试测试争取拿到高分!#小学二年级试卷分享 #二年级第六单考试数学 #第六单考试#二年级数学下册.pdf
10.00金币
0下载
二年级数学下册必背顺口溜口诀汇总二年级数学下册必背顺口溜口诀汇总#二年级#二年级数学下册 #知识分享 #家长收藏孩子受益 #关注我持续更新小学知识.pdf
10.00金币
0下载
二年级数学下册《重点难点思维题》两大问题解决技巧和方法巧算星期几解决周期问题还原问题强化思维训练老师精心整理家长可以打印出来给孩子练习#家长收藏孩子受益 #学霸秘籍 #思维训练 #二年级 #知识点总结.pdf
10.00金币
0下载
二年级数学下册 必背公式大全寒假提前背一背开学更轻松#二年级 #二年级数学 #二年级数学下册 #寒假充电计划 #公式.pdf
10.00金币
0下载
蜗牛文库+ 关注
实名认证
内容提供者

提供各种专业文档内容

确认删除?
QQ
  • QQ点击这里给我发消息
微信客服
  • 微信客服
回到顶部