电脑桌面
添加蜗牛文库到电脑桌面
安装后可以在桌面快捷访问

05第五章平均指标和变异指标.pptVIP免费

05第五章平均指标和变异指标.ppt05第五章平均指标和变异指标.ppt05第五章平均指标和变异指标.ppt05第五章平均指标和变异指标.ppt05第五章平均指标和变异指标.ppt
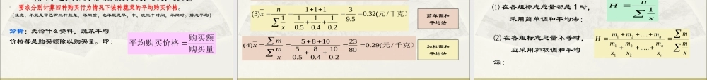
第五章第五章统计基本分析指标统计基本分析指标((22))————平均指标和变异指标平均指标和变异指标《统计学》课件教学目的与要求通过本项目学习,了解平均指标和变异指标的意义和种类,掌握各种计算方法及其应用条件,能够应用平均指标和变异指标进行基本的统计分析。教学重点与难点重点:各种加权平均数的计算方法和应用条件;理解计算和应用平均指标的原则;标准差的计算;难点:正确理解加权平均计算方法中的权数;权数的正确选择;变异系数计算的必要性。本章的主要内容11平均指标的种类及其计算方法22计算和应用平均指标应注意的问题33变异指标的种类及其计算方法第一节第一节平均指标平均指标一、平均指标的概念及作用平均指标静态平均指标动态平均指标反映总体各单位在某一数量标志下标志值的一般水平反映研究对象在不同时间水平的一般水平平均指标:简单地说就是若干变量值的平均。平均指标与总量指标和相对指标的特点比较平均指标还是:④抽象化数值⑤代表性数值⑥集中趋势(总体各单位根据变量值的大小形成分布)比较项目总量指标相对指标平均指标①表现形式绝对数相对数平均数②是否带计量单位必须带一般为%必须带③数值大小与总体范围的关系有无无平均指标的作用------对现象进行对比分析(1)个别不能代表一般。利用平均指标可以对同类现象在不同空间、不同时间上进行比较,以反映其水平的高低等。如:在分析现象之间的依存关系时,也不能用个别代表一般。现以某企业为例,如研究学历和工资依存关系,不能用四个学历的单个人的工资来说明问题,也不能用不同学历工资总额来说明问题,而要用平均工资才能反映其内在真实的依存关系。平均指标的作用------分析现象之间的依存关系(2)20172017年某地区职工受教育程度与月工资关系表年某地区职工受教育程度与月工资关系表受教育程度受教育程度平均数(元)平均数(元)研究生研究生本科本科专科专科中专、高中中专、高中初中及以下初中及以下6515651547994799301530152597259718271827我国2017年GDP为827122亿元,若经济平均增长速度不低于6.5%,则2021年建党100周年时,我国GDP就会达到1064064亿元,(超100万亿元)若人口2021年为14.2亿人,则人均GDP为74934元。(2018年我国人均GDP9509美元,达到中高收入国家行列)。平均指标的作用------利用平均指标进行推算(3)平均指标计算方法算术平均法简单调和平均法中位数和众数几何平均法调和平均法加权算术平均法简单算术平均法简单几...

1、当您付费下载文档后,您只拥有了使用权限,并不意味着购买了版权,文档只能用于自身使用,不得用于其他商业用途(如 [转卖]进行直接盈利或[编辑后售卖]进行间接盈利)。
2、本站所有内容均由合作方或网友上传,本站不对文档的完整性、权威性及其观点立场正确性做任何保证或承诺!文档内容仅供研究参考,付费前请自行鉴别。
3、如文档内容存在违规,或者侵犯商业秘密、侵犯著作权等,请点击“违规举报”。

碎片内容

蜗牛文库的最新文档

二年级数学下册其中检测卷二年级数学下册其中检测卷附答案#期中测试卷.pdf
10.00金币
0下载
二年级数学下册期末质检卷(苏教版)二年级数学下册期末质检卷(苏教版)#期末复习 #期末测试卷 #二年级数学 #二年级数学下册#关注我持续更新小学知识.pdf
10.00金币
0下载
二年级数学下册期末混合运算专项练习二年级数学下册期末混合运算专项练习#二年级#二年级数学下册#关注我持续更新小学知识 #知识分享 #家长收藏孩子受益.pdf
10.00金币
1下载
二年级数学下册年月日三类周期问题解题方法二年级数学下册年月日三类周期问题解题方法#二年级#二年级数学下册#知识分享 #关注我持续更新小学知识 #家长收藏孩子受益.pdf
10.00金币
0下载
二年级数学下册解决问题专项训练二年级数学下册解决问题专项训练#专项训练#解决问题#二年级#二年级数学下册#知识分享.pdf
10.00金币
1下载
二年级数学下册还原问题二年级数学下册还原问题#二年级#二年级数学#关注我持续更新小学知识 #知识分享 #家长收藏孩子受益.pdf
10.00金币
1下载
二年级数学下册第六单元考试卷家长打印出来给孩子测试测试争取拿到高分!#小学二年级试卷分享 #二年级第六单考试数学 #第六单考试#二年级数学下册.pdf
10.00金币
0下载
二年级数学下册必背顺口溜口诀汇总二年级数学下册必背顺口溜口诀汇总#二年级#二年级数学下册 #知识分享 #家长收藏孩子受益 #关注我持续更新小学知识.pdf
10.00金币
0下载
二年级数学下册《重点难点思维题》两大问题解决技巧和方法巧算星期几解决周期问题还原问题强化思维训练老师精心整理家长可以打印出来给孩子练习#家长收藏孩子受益 #学霸秘籍 #思维训练 #二年级 #知识点总结.pdf
10.00金币
0下载
二年级数学下册 必背公式大全寒假提前背一背开学更轻松#二年级 #二年级数学 #二年级数学下册 #寒假充电计划 #公式.pdf
10.00金币
0下载
蜗牛文库+ 关注
实名认证
内容提供者

提供各种专业文档内容

确认删除?
QQ
  • QQ点击这里给我发消息
微信客服
  • 微信客服
回到顶部